找回密码
注册会员
发新帖
52_avatar_middle

236

积分

0

好友

16

主题
online_member 发表于 2022-12-29 16:56:09 | 查看: 318| 回复: 0
23. 对SDSS DR7点源类星体是怎样的计算模型(概述)
    一个巨型带壳天体(壳的形成不仅与温度的关,还与压力有关,巨型天体内压力大),中心爆炸时,扰动会使球壳某点先突出,那么对球壳对称点的引力减少,对称对点也会突出。球壳的其它点相对引力大些就不容易突出。最后的反馈结果球壳膨胀崎变橄榄形化,使最突出的二点开裂为喷口,喷出喷流。
    如果这是对类星体模型,那么就是天文学界一直回避的模型。为什么天文学界一直回避类星体的球壳模型呢?
    原因就是本文的前篇《类星体是一种什么样的天体》中
   4. 早期引力红移模型验证的失败  与  5. 微积开引力红移公式的发现
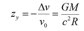
指出的相对论引力红移公式不适用于强引力天体——类星体。对类星体的引力红移要用微积开引力红移公式计算,即

类星体是一种什么样的天体(2)——类星体方程组的解释解276 / 作者:果仙奇缘称 / 帖子ID:99422

(23.1)式

该式对 \frac{GM}{Rc^{2}} 的展开式,当\frac{GM}{Rc^{2}}很小时,忽略高次项,保留一次项,即为相对论引力红移公式:

类星体是一种什么样的天体(2)——类星体方程组的解释解853 / 作者:果仙奇缘称 / 帖子ID:99422

(23.2)式

对太阳的引力红移计算(23.1)式得值为2.12377754249538 \times10^{-6} ,
而(23.2)式得值为2.12377979775904\times10^{-6} ,二者偏差非常小。但对类星体的引力红移的计算就相差很大了。这也是为什么会有一个建立的模型会成功的原因。
    对本文的前篇《类星体是一种什么样的天体》取得的统计结果感兴趣的读者,想进一步了解类星体模型可续看下文。

24. 类星体的基本量
由于类星体存在很大的红移,其很多观测量都要作红移影响的修正,说明如下:
  24.1.  观测色温度
观测到的类星体光谱色指数B-V是已受到红移影响的,由B-V 得出的温度为观测色温度 T_{Z} ,由下式计算 ^{[1]}

类星体是一种什么样的天体(2)——类星体方程组的解释解703 / 作者:果仙奇缘称 / 帖子ID:99422

(24.1)式

上式中的K为绝对温度单位,该式与下(24.2)式对类星体会有偏差,下一步再作修正 ;
  24.2. 表面温度
类星体的表面温度 T 考虑要作红移影响的修正,由下式近似计算,即

类星体是一种什么样的天体(2)——类星体方程组的解释解155 / 作者:果仙奇缘称 / 帖子ID:99422

(24.2)式


因为设T 对应峰值波长分别为 λ_{0},红移后的 T_{Z} 对应峰值波长分别为 λ,而峰值波长与温度成反比关系,有

类星体是一种什么样的天体(2)——类星体方程组的解释解939 / 作者:果仙奇缘称 / 帖子ID:99422

(24.3)式

类星体是一种什么样的天体(2)——类星体方程组的解释解999 / 作者:果仙奇缘称 / 帖子ID:99422

(24.4)式

类星体是一种什么样的天体(2)——类星体方程组的解释解928 / 作者:果仙奇缘称 / 帖子ID:99422

(24.5)式

上三式中k为峰值波长与温度成反比的比例系数,从 (24.1) ( 24.3) ( 24.4) ( 24.5) 式可解得 (24.2) 式;
  24.3. 红移热星等改正
红移热星等改正 (总是负值) 为 ^{[2]}

类星体是一种什么样的天体(2)——类星体方程组的解释解61 / 作者:果仙奇缘称 / 帖子ID:99422

(24.6)式

这是未作红移影响修正的;
  24.4. 热星等改正
热星等改正 (总是负值) 为 ^{[2]}

类星体是一种什么样的天体(2)——类星体方程组的解释解261 / 作者:果仙奇缘称 / 帖子ID:99422

(24.7)式

这是已作红移影响修正的;
  24.5. 改正绝对热星等
类星体改正绝对热星等定义为不仅距离移到了10秒差距,并消除了引力红移影响后,整个热幅射所达到的星等,绝对热星等其值应为

类星体是一种什么样的天体(2)——类星体方程组的解释解24 / 作者:果仙奇缘称 / 帖子ID:99422

(24.8)式

上式中 r_{0} 为类星体的以秒差距为单位的距离数,是一个无量纲的值。这是由于绝对星等定义中是以10秒差距为标准距离与实际距离 r 比得到上计算式的,为了使用有量纲的距离 r,引入一个常数

类星体是一种什么样的天体(2)——类星体方程组的解释解783 / 作者:果仙奇缘称 / 帖子ID:99422

(24.9)式

将 (24.8) 式改写为

类星体是一种什么样的天体(2)——类星体方程组的解释解747 / 作者:果仙奇缘称 / 帖子ID:99422

(24.10)式

  24.6. 改正热视星等
上式中的 m_{bol g} 为改正热视星等,即

类星体是一种什么样的天体(2)——类星体方程组的解释解365 / 作者:果仙奇缘称 / 帖子ID:99422

(24.11)式

  24.7. 热视星等
上式中的 m_{bol} 为热视星等,即

类星体是一种什么样的天体(2)——类星体方程组的解释解45 / 作者:果仙奇缘称 / 帖子ID:99422

(24.12)式

25. 类星体方程组
   有许多人认为类星体的辐射为非热辐射频谱。作者认为虽然类星体辐射频谱形似为非热辐射频谱,但这种频谱是由低密度高厚度类星体光球层热辐射频谱,因光球层各深度层光的引力红移差异叠加形成的。
    有许多人认为类星体的红移全是由距离效应产生的,类星体是遥远的天体。作者认为类星体的红移主要是由距离效应与引力红移共同作用产生的,分离开二种红移后,距离红移分量是很小的。因此类星体距离要比原先许多人认定的小,类星体就分布在星系、星系团的附近。通过求解类星体方程组,可得出最早发现的一些类星体就分布在本星系群中。
    若我们已知一个类星体的红移量 Z UBV 测光的视星等V (可见光) 与蓝区视星等B。如果假设类星体的光辐射主要是热辐射,则
用 (24.2) 式可求得类星体的表面温度T
用 (24.11) 式可求得类星体的改正热星等 m_{bol g} 。
设类星体的6个未知量:
距离r (单位:秒差距,用符号 pc 表示);
质量M (单位:太阳质量,用符号 M_{⊙} 表示);
半径R (单位:太阳半径,用符号 R_{⊙} 表示);
(请注意在“微积开概念”一文中的MR不是以太阳质量M_{⊙}、太阳半径R_{⊙}为单位的,距离 r 也不是以秒差距pc 为单位的。)
改正绝对热星等为 M_{bol g} ;
距离红移量为 Z_{r} ,即红移量 Z 中所含距离红移分量;
引力红移量为 Z_{y} ,即红移量 Z 中所含引力红移分量。
再定义:质光比,即类星体的质量 M 与光度 L 之比为

类星体是一种什么样的天体(2)——类星体方程组的解释解299 / 作者:果仙奇缘称 / 帖子ID:99422

(25.1)式

类星体的距离红移分量因子

类星体是一种什么样的天体(2)——类星体方程组的解释解191 / 作者:果仙奇缘称 / 帖子ID:99422

(25.2)式

引入作者在“微积开概念”一文[3]中推出的距离与距离红移关系公式及星体质量尺度与引力红移关系公式,可得到类星体方程组的如下6条方程式:
距离与距离红移的关系为^{[3]}

类星体是一种什么样的天体(2)——类星体方程组的解释解988 / 作者:果仙奇缘称 / 帖子ID:99422

(25.3)式

其中

类星体是一种什么样的天体(2)——类星体方程组的解释解659 / 作者:果仙奇缘称 / 帖子ID:99422

(25.4)式

把《微积开概念——由类星体研究引发的概念》一书中的微积开引力红移公式改写为以太阳质量与太阳尺度为单位的式子,引力红移与天体质量及尺度的关系为 ^{[3]}

类星体是一种什么样的天体(2)——类星体方程组的解释解781 / 作者:果仙奇缘称 / 帖子ID:99422

(25.5)式

上 (25.5) 式中 c 为光速,G 为万有引力系数;
红移的总量为

类星体是一种什么样的天体(2)——类星体方程组的解释解400 / 作者:果仙奇缘称 / 帖子ID:99422

(25.6)式

改正绝对热星等为 (24.10) 式^{[2]} ,再列于下面

类星体是一种什么样的天体(2)——类星体方程组的解释解819 / 作者:果仙奇缘称 / 帖子ID:99422

(25.7)式

改正绝对热星等还可表为^{[1]}

类星体是一种什么样的天体(2)——类星体方程组的解释解728 / 作者:果仙奇缘称 / 帖子ID:99422

(25.8)式

光度为^{[2]}

类星体是一种什么样的天体(2)——类星体方程组的解释解774 / 作者:果仙奇缘称 / 帖子ID:99422

(25.9)式

上 (F2.2.9) 式中 M_{bol⊙} 为太阳的绝对热星等。

26. 类星体方程组的解释解
对25. 章节的类星体方程组求解,得到解释解:
    类星体的质量为

类星体是一种什么样的天体(2)——类星体方程组的解释解850 / 作者:果仙奇缘称 / 帖子ID:99422

(26.1)式

    类星体的尺度半径为

类星体是一种什么样的天体(2)——类星体方程组的解释解908 / 作者:果仙奇缘称 / 帖子ID:99422

(26.2)式

    类星体的改正绝对热星等为

类星体是一种什么样的天体(2)——类星体方程组的解释解419 / 作者:果仙奇缘称 / 帖子ID:99422

(26.3)式

    类星体的距离红移分量因子为

类星体是一种什么样的天体(2)——类星体方程组的解释解234 / 作者:果仙奇缘称 / 帖子ID:99422

(26.4)式

    类星体的距离为

类星体是一种什么样的天体(2)——类星体方程组的解释解970 / 作者:果仙奇缘称 / 帖子ID:99422

(26.5)式

    类星体的引力红移为

类星体是一种什么样的天体(2)——类星体方程组的解释解376 / 作者:果仙奇缘称 / 帖子ID:99422

(26.5)式

至此类星体的6个未知量的解析解表达式都已求出。
    该方程组是作者1976年建立并求出解释解,并用哈勃当初定哈勃常数的24个星系数据初定出了常数b1,用1个与星系成协的类星体初定出了类星体的质光比μ。1977年用38个类星体数据作了验证后,作者对该模型的进一步验证充满了信心。2012年作者用SDSS DR7的10多万个类星体作进一步的验证,发现类星体的表面温度计算需要修正,因此引用了胡宜宁与巩岩的《星模拟器星光颜色模拟的初步研究》中的公式 ^{[4]} 作了修正。详见下章节。

27. 类星体方程组的修正
   作者在计算SDSS DR7类星体的表面温度,求解数据作出类星体的赫罗图,发现类星体在赫罗图上存在依引力红移分族特性。在分析引力红移分族特性与引力红移关系时,发现10多万的数据中有3个数据离群在外,查是因色指数为负求出表面温度可能偏差大。但另有6个色指数更偏负的在图上找不到数据点,查是因色指数为负求出表面温度也为负值,无法求对数值。分析表明类星体表面温度引用恒星表面温度公式存在问题。因此找到了胡宜宁与巩岩的《星模拟器星光颜色模拟的初步研究》中的公式^{[4]},并采用该文献中的公式作为类星体表面温度的计算公式。改变说明如下:
    观测色温度 观测到的类星体光谱色指数B-V 是已受到红移影响的,由B-V 得出的温度为观测色温度 T_{Z},在24.中由下式计算

类星体是一种什么样的天体(2)——类星体方程组的解释解855 / 作者:果仙奇缘称 / 帖子ID:99422

(24.1)式

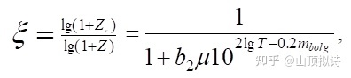
上式中的K为绝对温度单位;修正改为采用^{[4]}

类星体是一种什么样的天体(2)——类星体方程组的解释解2 / 作者:果仙奇缘称 / 帖子ID:99422

(27.1)式

式中

类星体是一种什么样的天体(2)——类星体方程组的解释解193 / 作者:果仙奇缘称 / 帖子ID:99422

(27.2)式

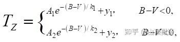
表面温度 类星体的表面温度考虑要作红移影响的修正,在附录B中由下式近似计算,即

类星体是一种什么样的天体(2)——类星体方程组的解释解576 / 作者:果仙奇缘称 / 帖子ID:99422

(24.2)式

修正改为采用^{[4]}

类星体是一种什么样的天体(2)——类星体方程组的解释解456 / 作者:果仙奇缘称 / 帖子ID:99422

(27.3)式

并用哈勃当初定哈勃常数的24个星系数据初定出了常数

类星体是一种什么样的天体(2)——类星体方程组的解释解552 / 作者:果仙奇缘称 / 帖子ID:99422

(27.4)式

用1个与星系成协的类星体初定出了类星体的质光比

类星体是一种什么样的天体(2)——类星体方程组的解释解69 / 作者:果仙奇缘称 / 帖子ID:99422

(27.5)式

作了上述修正后,作者SDSS DR7的10多万个类星体作进一步的验证,验证的结果可见本文的前篇《类星体是一种什么样的天体》,或见作者的《微积开概念——由类星体研究引发的概念》一书。
    若读者对本文的类星体方程组有疑问,可以用观测到的类星体数据作出验证。
    都已经是解释解了,验证很方便,有条件读者可以从
美国航天局/IPAC红外线的科学档案馆DR14    下载数据进行验证。
美国航天局/IPAC红外线的科学档案馆数据分布DR14 IRSA - ZTF 这个版本包含了大约4380万张图像,7010亿个从这些图像中提取的源检测,以及45亿条光曲线。 这个数据的发布,对天文天体物理理论验证......
____________________________________
参考文献:
[1] [英]C.W.艾伦编,杨建译,物理量与天体物理量,上海人民出版社,1976年版,P14、P19、P243、P349等。
[2] 戴文赛主编,天文学教程 (上册) ,上海科学出版社,1961年12月版,第157、297、355、372、408、478-481 页。
[3] 包学行,《微积开概念——由类星体研究引发的概念》一书电子版
请扫描以下二维码下载(PDF48.5Mb)

类星体是一种什么样的天体(2)——类星体方程组的解释解153 / 作者:果仙奇缘称 / 帖子ID:99422
[4] 胡宜宁与巩岩,星模拟器星光颜色模拟的初步研究,光电工程,2010年2月第37卷第2期,第65页。
00_avatar_middle
您需要登录后才可以回帖 登录 | 注册会员

手机版|UFO中文网

GMT+8, 2026-4-6 18:57

Powered by Discuz! X3.5

© 2001-2026 Discuz! Team.

快速回复 返回顶部 返回列表