找回密码
注册会员
发新帖
97_avatar_middle

39万

积分

0

好友

4万

主题
online_member 发表于 2022-5-17 14:10:28 | 查看: 196| 回复: 0
减肥真是徒劳?看看这些有关代谢的真相是怎么回事,是真的吗?2016年06月03日是本文发布时间是这个时间。下面一起来看看到底怎么回事吧。
                                减肥真是徒劳?看看这些有关代谢的真相
                               
                                研究者还没有弄明白什么决定了人体的代谢率。
                               
                               

减肥真是徒劳?看看这些有关代谢的真相824 / 作者:UFO爱好者 / 帖子ID:87881

当我们谈起代谢,总像在谈论一种吞个药片、喝杯绿茶,或者跑得更快就能操纵的过程。你一定见过些以“增加你的代谢”和“试试高代谢减肥食谱”为题的文章。

但这掩盖了许多关于代谢的真相:这一生理过程虽然基础,却依旧是个谜。

以下九个事实帮你了解代谢,理解它在体重变化中的作用。

代谢发生在人体的每个细胞

减肥真是徒劳?看看这些有关代谢的真相967 / 作者:UFO爱好者 / 帖子ID:87881
图片来源:ECOG
左图  人体器官与组织占体重百分比:肌肉 40%;脂肪 21%;其他 31%;消化系统 1.7%;肝脏 2.6%;肾脏 0.4%;心脏 0.5%;大脑 2.0%
右图  人体器官与组织基础代谢率百分比:心脏 8%;大脑 17%;肌肉 20%;脂肪 3%;其他 16%;消化系统 10%;肝脏 19%;肾脏 7%

许多人谈论代谢就像在说肌肉或是器官,好像它们能被弯曲或是控制。     

“但事实上,代谢是细胞中一系列的化学反应,它将人体摄入的卡路里(calory)转化为能量来维持生命。” 来自梅奥诊所(Mayo Clinic)的研究员 Michael Jensen 说道,他的研究方向为肥胖症与代谢。“ 静止(resting)代谢率,或称基础(basal)代谢率衡量人什么都不做时消耗的卡路里。” Michael Jensen 补充道。“这是不同的组织各自的需求和运作时消耗的卡路里共同作用的结果。”他说道。

静止状态时,身体的主要器官——大脑、肝、肾和心脏——消耗占总能量的一半,另一半则是由脂肪组织、消化系统,特别是肌肉所消耗。

你的大部分能量消耗源于基础代谢

人体有三条消耗能量的主要途径:(1)静止代谢或称为基础代谢,其消耗的能量用于维持身体的基本功能;(2)分解食物消耗的能量,也称作食物生热效应(thermic effect of food);(3)身体活动时消耗能量。

最近有报道指出,人们远远低估了静止代谢率:静止代谢率占到人体每天能量总消耗的极大部分。另一方面,身体活动消耗则只是其中很小部分——10%到30% 左右(除非你是专业运动员,或者从事强度极高的体力劳动)。消化食物大约占10%。

减肥真是徒劳?看看这些有关代谢的真相863 / 作者:UFO爱好者 / 帖子ID:87881
青年女性与男性每日平均能量支出构成。

“人们普遍认为,大多数人的基础代谢率占总能量消耗的 60% 到 80%。”Alexxai Kravitz 说道,他是国立卫生研究院(National Institutes of Health)的神经科学家和肥胖症研究者。

“基础代谢率虽然量不少,但远不能等同于食物摄取量,食物摄取量是人体的能量摄取总量,”Kravitz 补充道,“这也是为何运动对体重会有‘统计上’显著但很小的影响。”

个体代谢差异极大,研究者还不知其原理

两个人体型与身体组成相同,代谢却可能大不相同。有些人能随心所欲大吃大喝而不长胖,另一个人却需要小心翼翼计算摄入的卡路里才能避免变肥。

“原因仍然是个‘黑匣子’,”Will Wong,一位来自约翰霍普金斯代谢和肥胖症研究中心(the JohnsHopkins Center for Metabolism and Obesity Research)的研究者说道,“我们还不了解控制人体代谢的机理。”

研究者找到了一些能够预测人体代谢速度的因素。包括:人体瘦肌肉和脂肪组织的含量、年龄和遗传信息(尽管研究者还不清楚为何有些家族有更高或者更低的代谢率)。

性别也是一大因素:比起相似身体成分和年龄的男性,女性消耗的卡路里更少。对于女性,Jensen 说道:“月经周期会有影响,一些女性的代谢率会在月经周期后半段(即黄体期)升高,有些人静止代谢率甚至会升高 10% 以上。”

准确测量静止代谢率不是件容易的事。虽然有商业性的测量,但最好的测量值还是来自科学研究,如使用昂贵的“能量代谢室”(metabolic chamber)。不过,通过将基本变量填入在线的计算器,你能得到对自己静止代谢率的粗略估计。它能告诉你理论上你身体每天会消耗多少卡路里。如果你摄入同样量的卡路里而体重没有变化,那这个结果很有可能是对的。

变老会减缓代谢速率

这个作用非常缓慢,即使你保持同样量的脂肪和肌肉组织。六十岁的你,在静息状态下仍然比二十岁时消耗更少的卡路里。

Jensen 说代谢速率从18岁起就开始持续减缓,这也是研究者没能回答上的另一个代谢问题。“即使你保持身体一切基本不变,随年龄增长能量需求还是会下降——真是一大谜题。”

不能靠加速代谢来减肥

减肥真是徒劳?看看这些有关代谢的真相549 / 作者:UFO爱好者 / 帖子ID:87881

“促进代谢”能减肥?这未必科学。

很多炒作都是关于如何靠“加速代谢”来减肥,如通过锻炼增加肌肉、吃种类多样的食物,或服用补充剂。但其实都难以成功。

“虽然有些食物的确可能稍微加速基础代谢率,比如咖啡、辣椒和其他香料,但效应微不足道并且时间极短,根本不会影响你的腰围。” Jensen 说道。

增加肌肉也许稍微有点帮助。原因如下:人体瘦肌肉含量是影响静止代谢率的因素之一。在一定的体重下,人体肌肉含量越高,脂肪就越少,代谢率就越高。那是因为休息状态时肌肉组织会比脂肪组织消耗更多的能量(详见第一部分图)

所以如果增加肌肉,减少脂肪,那么静止代谢率就会升高,身体能量消耗就会越快。

“但这儿潜藏危机,”Michael Rosenbaum 说道,他是来自哥伦比亚大学(ColumbiaUniversity)的教授,主要研究方向为减肥与代谢,“肌肉越多,能量消耗就越快。但这只是问题的一部分。”如果你真的增加了肌肉并有效地加速了代谢,“由于代谢加速,你不得不和‘想要’吃更多做斗争。”

许多人大量锻炼后饥饿难耐大吃特吃,最后只是伴随着肌肉增加了更多的脂肪。

Jensen 强调普通人很难确保足够的锻炼维持他们增加的肌肉。“对于大多数人,这不现实。”他补充道。

总而言之,他说:“不管是针对静止代谢率哪一方面,人的控制力都不强。控制力不过中等,不幸的是,还常易下降。

节食能够减缓代谢

虽然加速代谢极度困难,研究者发现人们可以做一些事减缓代谢,比如严格的减肥计划。

“我们能对静止代谢最大影响可能是‘疯狂节食’,”Jensen 说道,“不幸的是,得到却并非是我们想要的效果。”

多年来,研究者记录到一种叫做“代谢适应”(metabolic daptation)或是“适应性产热”(adaptive thermogenesis)的现象。当人们减肥后,基础代谢率的降低程度会比预期更大。

更明确地说,减肥后代谢速率稍微降低讲得通,因为瘦身通常会伴随肌肉减少,身体变小意味着人体不再需要时时刻刻努力工作维持其功能。但研究者发现,减肥后的代谢减缓速率往往比新的体重应该减缓的速率要大得多。

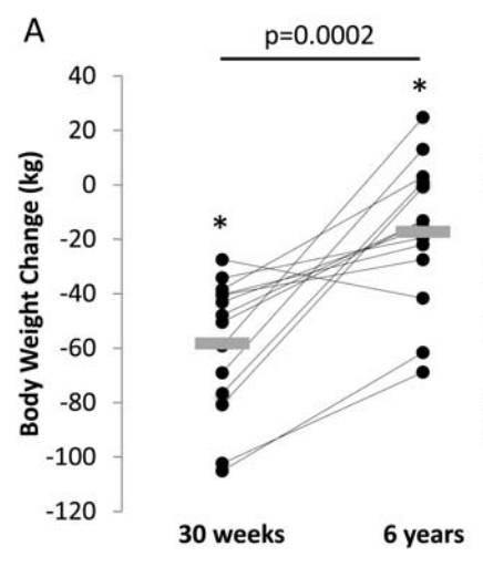
最近一篇发表于《肥胖症》(Obesity)的论文记录了这种现象:美国国立卫生研究院的研究者跟踪了电视真人秀“超级减肥王”(The Biggest Loser)第八季的参赛选手,所有参赛者均减掉了数十磅赘肉,他们是研究短时间内高强度减肥的完美对象。

研究者测量了许多指标,包括体重、脂肪、代谢和激素。2009年 30周 的比赛中测量了第一次,六年后的2015年测量了第二次。

减肥真是徒劳?看看这些有关代谢的真相829 / 作者:UFO爱好者 / 帖子ID:87881
“超级减肥王” 30周赛期与其后6年间的体重变化:黑点代表个体,灰色矩形代表均值。
  
尽管所有参赛者通过节食和锻炼在节目中都减掉了数十磅,六年后,他们的腰围大幅度反弹。14 位参赛者中有 13 位体重有显著的反弹,4 位参赛者的体重甚至比参加真人秀节目之前还要重。

研究周期内,参赛者的代谢却极大地降低。相对于体重,他们的身体每天平均少消耗500卡路里(相当于一顿饭的热量)。这个效应持续到六年后,尽管大多数参赛者已慢慢恢复体重。

Sandra Aamodt 是一名神经系统科学家,她的新书 Why Diets Make Us Fat(《为什么节食让我们更胖》)即将出版,书中解释了这种效应可能是身体在极力捍卫一定的体重范围,这个范围称为设定点(set point weight)

一旦人体重增加,并维持一段时间,身体就会习惯新的、更重的体型。如果体重下降,激素水平和大脑会产生很多微妙的变化,这会减缓静止代谢,增加饥饿感减少饱腹感,像为了将体重拉回设定点的阴谋。

比如在 “超级减肥王” 的研究中,研究者发现所有参赛者都经历血液瘦素(hormone leptin)的显著下降。瘦素是调节人体饥饿感的关键激素。节目结束后,参赛者几乎耗尽了瘦素,使得他们时时刻刻都处在饥饿感中。六年后,他们的瘦素水平有所上升,但只达到参加节目前的60%。

“我觉得人们体重大幅度下降时并会意识到自己的代谢会改变多少,” Aarmodt 说道,“但增重和减重时身体行为是不对称的,比起增重,身体更会奋起反抗避免体重下降。

但并非每个人的每种减肥法都会造成破坏性的代谢减缓。比如,在“超级减肥王”中,手术减肥没有引起瘦素效应。

的确如此,所有与我交流过的研究者都认为 “超级减肥王” 中效应太过极端,可能并不适用于大多数人的经历。这很有道理,这个案例中只有14个通过疯狂节食和大量运动减肥的研究对象。

梅奥诊所的 Jensen 在他的四个月左右减掉 20 磅体重的研究对象中没有发现代谢率剧烈下降。

“不像‘超级减肥王’,我们没有发现静止代谢的大幅度下降。随着缓慢地、逐步地减肥,代谢率保持得很好。”

研究者还不清楚代谢率降低的原因

有些关于这一现象的有趣假说。其中最为人知的是以进化解释。“几千年来,人在不得不时常面对营养不足的环境中进化,”哥伦比亚大学的 Rosenbaum 说,“所以你可以预测人类 DNA 中充满了倾向于将额外的卡路里储存为脂肪的基因。这种能力在一定程度帮助人们度过营养不良的时期,提高繁殖力,基因也得以保存。”

如今,基于这样的假说,那么减肥的困难来自于身体为抵御营养不良期所做的准备,尽管现在已经非常少见了。

但不是所有研究者都同意所谓的“节俭基因”(thrifty gene)假说。表观遗传学家John Speakman 在2013年的分析道,这个假说有个问题:现代社会中不是人人是胖子。

“如果节俭等位基因在饥荒时有较强的选择优势,人类历史长期伴随饥荒,那节俭等位基因早该充满整个种群。人人都该有这种等位基因,人人都是大胖子。但并非如此。即使在美国,肥胖人群最多的社会,也有相当一部分人群——约占人口的20%——总是很瘦。如果饥荒真的对节俭等位基因传播有强力的选择效应,那么这个疑问十分关键:为何这么多人没有遗传到该等位基因?

Rosenbaum 补充道:“人体储存脂肪的遗传倾向的进化是非常复杂的。它涉及到了变化多端的环境、特定基因与环境的相互作用,甚至是基因之间的相互作用。” 精确的运作过程仍然是个谜。

研究者还在努力了解代谢综合征(metabolic syndrome),指的是一系列包括高血压、高血糖、腰围过大、胆固醇或甘油三酯代谢异常等身体状况。当人们出现了其中一些状况,就增加了某些罹患慢性病的风险,如心脏病、中风和糖尿病。其中的原理以及为何一些人群更敏感也仍然是个谜。

代谢变缓并不意味减肥徒劳

“平均有15%的人能成功减掉10%,甚至更多的体重,并能保持不反弹。” Rosenbaum 说道。所以减肥是可能的。

对于想要减肥的人,Rosenbaum 主张关键是找到一种能长时间坚持的新的生活方式,将其视为控制肥胖症而必须做出的改变。

Rosenbaum 指出国家体重控制注册中心(NationalWeight Control Registry),有一项研究针对成功减肥 30 磅并且保持至少一年的成人,分析了他们的特征、习惯和行为,作为成功减肥的案例。注册中心目前有超过10,000人登记在此研究中,他们每年都会接受怎样成功保持体重不反弹的问卷调查。

成功减肥的人有几个共同点:每周至少称重一次;进行强度不同的规律锻炼,最常见的是走路;严格控制卡路里摄入,远离高脂肪食物,注意进食量;倾向于吃早餐。

他们的食物组成多种多样。所以并没有利用什么最好的节食食谱或“时尚节食”。他们会计算卡路里摄入量。

“成功减肥者对食谱和运动计划做了很多改变来让体重不反弹。这很困难,” Rosenbaum说道。“但我更希望有人来告诉我减不了肥控制不了反弹是因为我有生理疾病……而不是我又懒又贪吃。”

另一个有趣的事实:动物界中蜂鸟代谢最快。

减肥真是徒劳?看看这些有关代谢的真相756 / 作者:UFO爱好者 / 帖子ID:87881
图片来源:PhilipPilosian/Shutterstock
代谢率异常高的蜂鸟。

研究者观察许多动物的代谢模式,希望能解答人类代谢之谜。

其中最有趣的是蜂鸟。“在整个动物界,蜂鸟有着脊椎动物中最快的代谢速率。”约翰霍普金斯研究中心的 Wong 说道,“蜂鸟翅膀每秒能扇动 60 到 80下。”

有趣的是,蜂鸟的食谱多以糖分为主,比如花蜜。人类如果有它们那么高的血糖水平,就会被认为患有糖尿病。但高速扇动翅膀使它们能快速消耗血糖。

作者  Julia Belluz
翻译  廖梦雨
审校  谭坤

原文链接:http://www.vox.com/2016/5/18/11685254/metabolism-definition-booster-weight-loss
00_avatar_middle
您需要登录后才可以回帖 登录 | 注册会员

手机版|UFO中文网

GMT+8, 2026-4-6 23:19

Powered by Discuz! X3.5

© 2001-2026 Discuz! Team.

快速回复 返回顶部 返回列表