找回密码
注册会员
发新帖
97_avatar_middle

39万

积分

0

好友

4万

主题
online_member 发表于 2022-3-13 12:54:18 | 查看: 185| 回复: 0
100年前 他把爱因斯坦送上神坛是怎么回事,是真的吗?2019年05月30日是本文发布时间是这个时间。下面一起来看看到底怎么回事吧。
                                100年前 他把爱因斯坦送上神坛
                               
                                当年爱丁顿力挺爱因斯坦,让广义相对论“一战成名”,也使爱因斯坦获得了世界性的影响力。
                               
                               

100年前 他把爱因斯坦送上神坛238 / 作者:UFO爱好者 / 帖子ID:85193
1919年5月29日拍下的日全食(图片来源:F.W. DYSON, A.S. EDDINGTON, C. DAVIDSON)

今天,是广义相对论首次被实验验证的100周年纪念日。1919年5月29日,英国科学家爱丁顿领导的日全食实验支持了爱因斯坦提出的广义相对论。

现在看来,当年爱丁顿力挺爱因斯坦,让广义相对论“一战成名”,也使爱因斯坦获得了世界性的影响力。但是,有舆论认为,这个实验是为了缓和一战后英国与德国的关系,但当时的实验精度不足以证明广义相对论是正确的。这种看法合理吗?当时是实验又是如何开展的?

“只有3个人懂广义相对论”


事情还要从爱因斯坦写出爱因斯坦广义相对论的引力场方程那时说起。

1915年,爱因斯坦写出了广义相对论引力场方程,这个方程里用到了当时很高深的数学——黎曼几何。在这个过程中,爱因斯坦得到了数学家格罗斯曼与希尔伯特的帮助,基本上把这里面的数学问题都搞清楚了——剩下没解决的问题,就是需要用物理实验来验证这个理论的正确性了。

爱因斯坦开始宣传自己的广义相对论。这时的爱因斯坦在德国科学界已经有一定的知名度(因为1905年后德国科学宗师普朗克的大力推荐,爱因斯坦的学术地位飙升,这时已经从专利局职员变为大学教授),但当时的爱因斯坦在英、美等地还没有学术影响力。

当时是第一次世界大战期间,大战从1914年一直打到1918年,整个欧洲元气大伤。爱因斯坦提出的广义相对论不但在数学上太难,而且世界观看起来很奇葩,大家还没功夫搭理。1916年,爱因斯坦把自己写的德文版《广义相对论基础》单行本给了交给了他的朋友,荷兰莱顿大学的德西特教授。因为荷兰在战争期间是中立国,而德西特教授是英国皇家天文学会的秘书,所以德西特转身把论文寄给了英国剑桥大学的爱丁顿教授。

100年前 他把爱因斯坦送上神坛50 / 作者:UFO爱好者 / 帖子ID:85193
阿瑟·爱丁顿

爱丁顿教授当时是英国皇家天文台的台长。尽管还不认识爱因斯坦,但他一眼就看出,这篇论文如果是正确的话,那么它具有划时代的意义。但当时英国反德情绪严重,无法发表一篇德文报告,于是爱丁顿就让德西特写了一系列文章来介绍爱因斯坦的理论,并发表在皇家天文学会的会刊上。

爱丁顿看了英文版的爱因斯坦的论文,终于懂了爱因斯坦的思路。

有一天记者去采访他,问道:“听说世界上只有3个人懂爱因斯坦的广义相对论,请问是谁?”

爱丁顿反问道:“除了我,还有谁?”

爱丁顿确实看懂了爱因斯坦的论文。其实在1916年,德国有一个叫史瓦西的天文学家也看懂了爱因斯坦的广义相对论,并且解出了爱因斯坦的引力场方程的静态球对称解,这个解可以精确描述太阳附近的引力场。

光线本来是沿着直线传播的,但是,在弯曲时空中,光线也会偏折——类似于光线在水面附近的折射,远方的星光在路过太阳的时候会被太阳的引力场所弯曲,而这是可以做实验检验的。


计算光线偏折

爱因斯坦其实早就觉得引力场会弯曲光线了,他从1911年开始就做了很多计算,后来不断完善,终于在1916年广义相对论成形的时候得到了完整的光线被引力场偏折的理论。

简单地说,爱因斯坦的广义相对论把时间与空间放在一起,组成了一个弯曲的四维时空,而引力等价于时空的曲率。光线是在这个弯曲时空中的一条类光测地线。

因此,这背后的数学是很清晰的,主要就是黎曼几何学中的测地线方程。

当时,对于一般的弯曲时空,这个测地线方程是很难求解的。但是,如果是在史瓦西时空中,那么光线的偏转角是很容易求出来的。与太阳很靠近的光线,其偏转角可以用广义相对论算出来:

100年前 他把爱因斯坦送上神坛742 / 作者:UFO爱好者 / 帖子ID:85193

在这里,G是牛顿引力常数,M是星体(太阳)的质量,C是光速, R是星体的半径。

对于太阳来说,我们可以把数值代入进去,得到的偏转角结果是6.42×10-6。这是一个很小的数,这也说明太阳对靠近它的光线的偏折角度是极其微小的。

偏转角Δθ是一个无量纲量,它其实是表示弧度。我们知道一个圆周的弧度是2π,所以,太阳对光线的偏转角度大约是一个圆周的百万分之一。那么,如此小的数据,在当时可以测量出来吗?


把握良机

1919年爱丁顿抓住日全食的机会,领导天文学家利用日全食的星光照片宣称:他们精确测量了光经过太阳附近的偏折角,从而证明了广义相对论是正确的,这一下子把爱因斯坦送上了神坛。当时的媒体报道是“英国科学家帮助德国科学家验证广义相对论是正确的”,文章突出强调了战后两国关系的修复。

那么,为什么要在日全食时观测呢?因为这时的月亮挡住了太阳,在地球上的人才能看到太阳背后的璀璨星空,拍下有太阳存在时恒星在天空中的位置。然后呢?当地球公转到另一个地方(一般时间相差半年左右),太阳会从刚才的星空区移开(这一星空会在夜间出现),还可以再拍下没有太阳存在时(也就是没有光线偏折时)恒星在天空中的位置。对两种情况下恒星的位置进行比较,就可以得到光线偏折值。

100年前 他把爱因斯坦送上神坛41 / 作者:UFO爱好者 / 帖子ID:85193

当然,天文学家已经预测出,1919年的5月29日会发生日全食。所以爱丁顿组织了两个观测队,分别前往两个观测地点。爱丁顿带领的队伍到了非洲的普林西比,另一个队伍由他的助手戴森率领,前往巴西观测。两支观测队各自携带了一台格林尼治皇家天文台33厘米口径的天体照像仪(其实就是稍微大一点的照相机),巴西观测队还多带了一台10厘米口径的光学望远镜。

爱丁顿观测队在1919年4月下旬就到达了普林西比岛,在闷热、暴雨和蚊虫叮咬的艰苦条件下做了十来天的准备工作。在日食那天早上,普林西比岛风雨交加,但到日食时分却风住雨停,天气变好。爱丁顿观测队拍了多张照片,但仅有2张显示出恒星的图像。巴西观测队那边艳阳高照,大家很高兴,也拍了不少照片。

但最后冲洗胶片时大失所望,因为阳光太强,底片盒子晒的太烫了,胶片发生了形变。他们只好做了一定的加工处理。最后,爱丁顿这一组测出的偏转角是1.61弧秒,巴西那一组测的是1.98弧秒,两个结果的偏转角Δθ都在10-6数量级。而广义相对论的预言值是1.74弧秒。观测值接近广义相对论预言值,因此爱丁顿宣布,观测支持了广义相对论的预言。


实验靠谱吗

那么,最关键的问题来了,爱丁顿当时的实验真的靠谱吗?

能否测出偏转角,取决于望远镜的角分辨率。我们可以看看哈勃天文望远镜的角分辨率。哈勃天文望远镜的口径是2.4米,对于480纳米附近的可见光,可以达到的角分辨率是很高的——只要把这两个数值相除,就可以得到最小的角分辨率:

100年前 他把爱因斯坦送上神坛288 / 作者:UFO爱好者 / 帖子ID:85193

这说明如果用哈勃望远镜去分辨太阳对星光的偏折,那是可以分辨出来的。

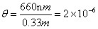
当时,爱丁顿等人使用的是口径33厘米的照相机。

从光学口径上来看,格林尼治皇家天文台33厘米口径的照相机比哈勃2.4米的望远镜差了大约一个数量级,所以在可见光波长上,格林尼治33厘米口径的照相机(在660纳米)的角分辨率是:

100年前 他把爱因斯坦送上神坛890 / 作者:UFO爱好者 / 帖子ID:85193

这个角分辨率与爱因斯坦计算出来的光线偏折的数量级是一样的。所以,利用这个照相机,如果不考虑实验误差,那么理论上是可以测出太阳对光线的偏折的。

爱丁顿他们当时发表的论文,可以看到,他们画的示意图是这样的——叠加两张照片来比星星的位置:

100年前 他把爱因斯坦送上神坛683 / 作者:UFO爱好者 / 帖子ID:85193

通过以上的理论分析,目前看来,爱丁顿当年对爱因斯坦广义相对论的支持实验还是比较可靠的。广义相对论后来得到了越来越多的实验验证,比如2015年LIGO发现的引力波等实验也说明广义相对论是正确的。

爱丁顿当年发表的论文是题目是“A determination of the deflection of light by the Sun’s gravitational field, from observations made at the total eclipse of May 29, 1919”。如果有人要质疑这个实验的精度,那么就去看看这篇46页的论文吧。毕竟,爱丁顿这个实验,精度确实很勉强,值得好好研究一番。
00_avatar_middle
您需要登录后才可以回帖 登录 | 注册会员

手机版|UFO中文网

GMT+8, 2026-4-7 12:46

Powered by Discuz! X3.5

© 2001-2026 Discuz! Team.

快速回复 返回顶部 返回列表