找回密码
注册会员
发新帖
97_avatar_middle

39万

积分

0

好友

4万

主题
online_member 发表于 2022-2-5 12:54:03 | 查看: 158| 回复: 0
提出广义相对论30多年后,爱因斯坦仍在担忧这件事……是怎么回事,是真的吗?2019年12月11日是本文发布时间是这个时间。下面一起来看看到底怎么回事吧。
                                提出广义相对论30多年后,爱因斯坦仍在担忧这件事……
                               
                                1915年,爱因斯坦提出了广义相对论,经过时间的检验,已经成为现代物理学的重要基石。
                               
                               

提出广义相对论30多年后,爱因斯坦仍在担忧这件事……920 / 作者:UFO爱好者 / 帖子ID:83330

1915年,爱因斯坦提出了广义相对论。作为20世纪最伟大的科学理论之一,广义相对论经过时间的检验,已经成为现代物理学的重要基石。但鲜为人知的是,即使到了20世纪50年代,由于缺乏实验证据,对广义相对论感兴趣的人也并不多。因此,爱因斯坦试图将广义相对论推广为新的理论。

正是在这样的背景下,爱因斯坦为《科学美国人》写下了这篇文章。爱因斯坦在文中回顾了物理学的发展历史、解释了广义相对论的基本思想,并介绍了如何通过非对称的度量场来推广广义相对论的思想。


撰文 | 阿尔伯特·爱因斯坦
翻译 | 刘润球

我近期发表了一些有关场论的数学研究的文章,于是《科学美国人》的编辑找我写一篇相关的文章。一些读者可能会感到疑惑:我们尚在学校之时不就已经把物理的基础知识学完了吗?这个问题的答案可以是肯定的也可以是否定的,因为它取决于我们如何理解这个问题。确实,我们已经熟知许多概念和定理,这些定理足够使我们理解大多数事情,并将它们转化成可以用数学方法处理的问题。但在某种意义上,这些概念和定理甚至已经发展到头了,比如光的反射定律、经典热力学定理(建立在压强、体积、温度、热、功的概念以及永动机不存在的假设的基础之上)。


古典原子论和牛顿力学

是什么促使我们在现有理论的基础上再去发展新的理论呢?为什么我们一开始就要去创造理论呢?答案很简单:因为我们享受“理解”的过程,即通过逻辑的过程把未知现象变成一些我们早已知道或显而易见的东西。当我们发现有无法解释的新现象时,自然就需要新的理论。但是,这种建立新理论的动机是外界强加的。

其实在我看来还有另外一种更难以言表却同等重要的动机,就是尽力去统一和简化各种物理理论中最本质的东西,使其成为一个统一整体。

对很多人来说,理解未知事物和对音乐的热爱一样是与生俱来的天赋。这种对未知事物的好奇在孩童时期普遍存在,但随着年龄的增长有可能慢慢丢失。但是,如果没有这种热爱,就不会有数学和自然科学。这种试图去理解未知事物的痴迷会使人产生一种幻觉:我们可以通过绝对理性的思考,不依靠任何经验就可以认识客观世界。我认为,每一个真正的理论家都是某种被驯化了的形而上学的哲学家,不论他幻想自己是一个多么纯粹的实证主义者。这些被驯化了的哲学家会认为逻辑上简单即预示着结果是正确的。他们认为不是所有逻辑上简单的东西都能够在现实世界中找到对应物,但是一切知识都可以建立在一个十分简单的抽象理论体系上。

古代原子论的兴起是一个非常好的例子。古希腊哲学家留基(Leucippus)是如何得出这样一个大胆的想法的呢?冰和水显然是不同的东西,那么水结成冰后再融化成水,现在的水和原来的水是相同的东西吗?留基伯对此感到疑惑并试图寻找一种解释。他最后得出结论:物质世界应该是由相同的微小粒子构成的,在这种变化发生时,事物的本质并没有变化,只是这些粒子的空间排列发生了变化。

在西方漫长的思想史中,留基伯的想法一直没有被忘记。两千年后,丹尼尔·伯努利(Daniel Bernoulli)想知道为什么气体对容器壁施加有压力。从牛顿力学的角度来说,这应该用气体各部分的相互排斥来解释。但这个解释看起来十分荒谬,因为在其他条件都一样的情况下,气体压强仅取决于气体自身的温度。这个解释表明相互作用力也取决于温度,这与牛顿力学体系的思想格格不入。

由于伯努利已经理解了原子的概念,那么他必然会得出原子(或分子)与容器壁碰撞,从而产生压力的结论。我们必须假设原子在运动,这样才能解释气体温度的变化与压强的关系。

从力学上简单考虑,气体压力只取决于粒子的动能和它们在空间中的密度。这本应该能让那个时代的物理学家得出结论:热能是原子的无规则随机运动的体现。如果他们能认真对待这一结果,那么就可以极大促进热力学理论的发展,特别是发现热能和机械能相互转化的规律。

这个例子意在说明,理论思想(这里说的是原子论)既不是脱离于经验产生的,也不是通过纯粹的逻辑程序从经验中得出的,而是产生于创造性行为。一旦捕获了一个理论观点,你最好坚持下去直到得出一个站得住脚的结论。

我觉得在对科学感兴趣的读者们面前详细描述我最新的理论工作是不太合适的。因为只有通过实验充分证实的理论才适于在读者面前呈现,而我的理论没有太多的实验检验。我目前提出的新理论主要是将简单的前提与支持该理论的其他理论(纯引力场的定律)的密切联系呈现出来。

在牛顿力学体系中,物质的理论描述所依据的基本理论模型是质点或粒子,因此物质被认为是不连续的有必要将质点间的相互作用视为“超距作用”。但由于超距作用概念似乎与日常经验完全相反,与牛顿的同时代人——实际上包括牛顿本人——都认为质点理论难以接受,这是很自然的。然而,由于牛顿力学系统近乎奇迹般的成功,后来几代的物理学家开始接受“超距作用”的想法。所有关于“超距作用”的疑问被忽视了很长时间。


场与电磁理论

19世纪下半叶,当电动力学定律为人所知时,人们发现这些定律不能融入到牛顿力学体系中去。这里我有一个有趣的想法:如果法拉第接受了正规的大学教育,他会发现电磁感应定律吗?由于没有受到传统思维方式的束缚,他觉得引入“场”作为现实的独立元素有助于协调各种电磁实验中发现的现象。麦克斯韦完全理解了法拉第关于场的概念,并且有了一个根本性的发现:电动力学定律可用电场和磁场的微分方程表达。这些方程表明了电磁波的存在,而且电磁波的性质与光的性质相一致。

在努力完成物理学大一统的过程中,把光学纳入电磁学理论是最是代表性的伟大胜利之一。早在赫兹的实验工作之前,麦克斯韦就通过理论论证了这种统一。至少在电磁学领域中,这一新的见解使人们有可能摒弃超距作用这一假设;相互作用的场(intermediary field)成为了物体间电磁相互作用的唯一载体,而场的行为完全取决于由微分方程表征的连续过程。

这样就产生了一个问题:既然场可以存在于真空中,那么我们应该把它想象成是一种“载体”的波动,还是应该认为它是一种独立的不可简化的存在?换言之,是否有一种携带场的“以太”(Ether);当以太携带光波时,它被认为处于波动状态?

上述问题有个很显然的答案:既然人们接受了场的概念,那么最好不要再引入一个具有假设性质的载体。然而,那些最先认识到场的概念不可或缺的探路者们,仍然被机械论的思想传统束缚着,无法接受这个简单的观点。但在接下来的几十年里,这种观点不知不觉地占据了上风。

“场”作为一个基本概念的引入,导致了理论整体上的不一致性。麦克斯韦理论虽然充分描述了带电粒子相互作用时的行为,但它不是描述粒子本身性质的理论。因此必须根据旧理论将带电粒子视为质点。而连续场的概念与空间中不连续的质点的概念结合起来会显得不自洽。微分方程要求所有要素在时间上和空间的所有点上都具有连续性。因此在场论中物质粒子并不是作为基本概念存在的。也正是这个原因,即使不考虑万有引力,麦克斯韦的电动力学也不能被看作是一个完整的理论。


相对论

如果空间坐标和时间经历过一种特殊线性变换——洛伦兹变换,那么在洛伦兹变换下,真空麦克斯韦方程组保持不变,这被称为洛伦兹变换的“群”性质。

麦克斯韦方程组隐含着“洛伦兹群”,但洛伦兹群并不只适用于麦克斯韦方程组。洛伦兹群是独立于麦克斯韦方程定义的一组线性变换,该变换保持光速不变。这些变换刻画的是一个惯性系到另一个惯性系的变换,后者相对于前者做匀速直线运动。该变换群最突出的新特点是,它消除了空间中两个事件的绝对同时性。在这种情况下,所有的物理方程都应该是关于洛伦兹变换(狭义相对论)协变的。因此,麦克斯韦方程组导出了一个具有启示性的原理,该原理的有效性远远超出了方程组本身适用的范围。

狭义相对论与牛顿力学的相同之处在于这两种理论下的定律都只适用于某些特定的参考系,即惯性系。惯性系是一种处于运动状态的系统,其内部处于“不受力”状态的质点相对于这个参考系不会加速。然而如果没有独立的方法来辨别这个质点是不是真的处于不受力状态,这个惯性系的定义就是无效的。

如果把引力看作一个“场”,便可以更加深入地讨论这个问题。

设A是一个相对于“惯性系”Ⅰ做匀加速运动的参考系。一些质点相对于Ⅰ没有加速度,而相对于A有加速度,且所有质点的加速度大小和方向都相等。这些质点的加速度好像是由一个引力场引起的,因为引力场引起的加速度与物体自身的特性无关。我们没有理由拒绝把这解释为“真实”引力场的影响(等效原理)。这个解释意味着即使A参考系相对于另一个惯性系统被加速,它仍是一个惯性系。(尽管没有定义产生引力场的有质量物体,但引入独立引力场被认为是合理的,而且这对于这里的讨论是至关重要的。但对牛顿来说,这样的论点似乎没有说服力)。

这就是等效原理:为了在理论中解释惯性质量和引力质量的相等,我们有必要引进四个坐标的非线性变换。也就是说,洛伦兹变换群和因此而产生的一系列“可允许”的坐标变换必须得到扩展(从线性变换走向非线性变换)。

那么洛伦兹变换可以被拓展成哪些非线性坐标变换呢?我们从数学上给出了一个基于高斯和黎曼研究的答案:合适的变换是所有坐标的连续(解析)变换的集合。在这些变换中,唯一不变的是相邻点的坐标几乎完全协同变换;坐标系只表示空间中点的拓扑顺序(包括它的四维特征)。表示自然规律的方程必须对所有坐标的解析变换都是协变的。这就是广义相对论原理。

刚才描述的过程克服了一个基础力学的缺陷,这个缺陷其实早已经被牛顿注意到,并且也被莱布尼茨批判过。这个缺陷在牛顿之后的两个世纪后又被马赫批判了,这个缺陷在于:惯性是抵抗加速度的,但抵抗的加速度是相对于什么参考系而言的呢?在经典力学的框架内,这个问题的唯一的答案是:惯性抵抗的是相对于空间的加速度。这是空间的物理性质:空间是物体的载体,但物体不作用于空间。这可能就是牛顿主张“空间是绝对的”的深层含义。但是这种想法使一些人感到不安,特别是莱布尼茨,他不认为空间是独立于物体而存在的,相反他认为空间是“物体”的一种属性(物理对象的接触)。如果他的想法在当时被证明是正确的,这对物理学来说不会是一件好事,因为在17世纪缺乏必要的实验和理论基础来支持他的观点。

在广义相对论中,独立于物体的空间概念是不存在的。空间的物理实在是由一个场所代表,这个场由四个自变量(空间和时间的坐标)的连续函数组成。

广义相对论通过一个连续场来表示物理现实,所以粒子和质点不能作为基本的概念,也不能作为运动的概念。质点只能出现在空间的场强度或能量密度非常高的有限区域。

相对论不得不回答两个问题:这个场的数学特性是什么?什么方程适用于描述这个场?

对于第一个问题:从数学的观点来看,这个场的本质特征是应用坐标变换下的分量变换。对于第二个问题:必须是满足广义相对论假设的条件下确定足够范围的场,这个要求能否被满足取决于场的选择。

试图理解这种抽象经验公式的相互关系在一开始也许看起来有点无望。其实这个过程提出了一个问题:在保留广义相对论的同时,从这些最简单的物体(场)中能得到什么物理性质?

每一个理论真是有推测性。当一个理论的基础概念接近经验时(比如力、压力、质量的概念),它的推测性是不明显的。然而,如果一个理论需要应用复杂的逻辑过程从而得出结论,那么每个人都会看到这个理论中的推测性。在这种情况下,那些缺乏认识论分析能力的人,会产生一种几乎无法抵抗的厌恶感。

另一方面,我们必须承认如果一个理论的概念和基本假设与经验接近,那么它将有巨大的优势,并且我们更愿意相信这个理论是合理的。由于这些理论与经验相近,我们更愿意接受这些理论,这样会极大地减小彻底误入歧途的危险。然而随着我们知识深度的增加,我们必须在探求物理理论的过程中放弃这些经验主义。必须承认,广义相对论在放弃经验性以获得逻辑简单性方面比之前的物理理论走得更远。当然,这也适用于万有引力定律,也符合试图统一所有场的大一统理论。

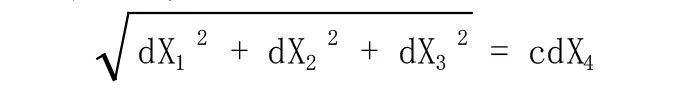
阻碍相对论发展的最大内在因素是问题的双重性,我们之前提出的两个问题已经表明了这一点。因此理论发展了分为两个步骤,并在时间上分开。步骤中的第一步,即引力理论,是基于上面讨论的等效原理,并做以下考虑:根据狭义相对论,光具有恒定的传播速度。如果在时间X4,真空中的光线从一个由三维坐标系X1、X2和X3标定的一个点开始传播。以球面波的形式传播并到达相邻点X1+dX1,X2+dX2,X3+dX3,时间变为X4+dX4,我们引入光速c并写出表达式:

提出广义相对论30多年后,爱因斯坦仍在担忧这件事……123 / 作者:UFO爱好者 / 帖子ID:83330

该表达式表示四维中相邻时空点之间的客观关系,并且适用于所有惯性系,前提是坐标变换服从狭义相对论。然而,如果根据广义相对论,我们允许坐标的连续变换,坐标关系呈现出更为一般的形式:
∑gikdXidXk=0

gik是坐标的某些函数,如果应用连续坐标变换,gik将以确定的方式变换。根据等效原理,gik函数描述了一个特殊的重力场:一个可以通过“无引力场”空间变换得到的场(等效原理是广义相对论的第一个基本原理,是整个广义相对论理论的核心。这个原理的基本含义是指重力场与以适当加速度运动的参考系所产生的惯性力是等价的。换句话说,在一个加速上升的封闭电梯里,你看不到外面的风景,那么你感受到的惯性力与引力是不可区分的。)同时gik满足一个特定的变换规则。从数学上来说,它们是有对称性的张量的一部分,在所有变换中都存在,对称性表述如下:
gik=gki

虽然我们不能指望这样的对称张量能描述最一般的引力场,但它能很好地描述特定情况下的“纯引力场”。所以至少在特殊情况下,广义相对论显然要假设“场”是对称张量场。

如此一来只剩下第二步了:对于一个对称张量场,我们可以采用怎样的协变场定律?

这个问题在我们现今的时代不难回答,这是因为在曲面的度规理论中已经包含了最必要的数学概念。这些数学概念是一个世纪以前由高斯 发明的,并由黎曼拓展到一个任意维数的流形上。广义相对论可以假设场gik的偏微分方程,而且微分不能低于二阶,即它们必须至少包含gik的二阶导数。假设场方程中没有出现比二阶导更高的项,那么该定律就在数学上被广义相对论确定了。这个方程组可以被写成这种形式:

Rik=0

上式中,Rik是里奇张量。

让这个Rik 以和gik相同的方式变换,它们都是对称张量。

在把质量表示为场的奇点的情况下,这些微分方程完美替代了牛顿的天体运动理论。这些微分方程涵盖了力的定律和运动法则,而且在非惯性系时也适用。

事实是当质量以奇点的形式出现时,就已经表明了那些质量本身不能被对称gik场,或着说我们常说的“引力场”所解释。显然,一个完备的相对性的场理论必须基于一个更复杂的性质,而对对称张量场进行推广。

提出广义相对论30多年后,爱因斯坦仍在担忧这件事……978 / 作者:UFO爱好者 / 帖子ID:83330
图片来源:Time Travel Research Center


广义相对论的推广

在推广之前,以下两个有关引力理论的基础知识对于接下来的解释是必不可少的。

第一个是广义相对性原理,这个原理对理论可能性施加了极强的限制。若没有这个限制性原则的话,即使你熟知狭义相对论原理,知道场必须用对称张量描述,也不可能得到广义相对论的引力方程。也就是说,除非使用广义相对性原理,否则哪怕你有再多的实验数据,你也不可能得这个方程。这就是为什么我认为所有试图更加深入地了解基础物理知识的尝试似乎都注定要失败,除非这些基本概念从一开始就与广义相对论自洽。无论我们的经验知识有多丰富,这种情况都使我们很难去寻找物理学的真谛,因此我们需要比大多数物理学家更大胆地运用天马行空的想象。我认为“广义相对论的启发性意义仅限于物理的引力方面”这样的观点是不全面的,物理的很多方面可以用狭义相对论解释,但狭义相对论需要与广义相对论的理论框架相嵌合。虽然我们当今对引力作用的了解虽然不够充分,但是如果我们要对这一基本性质进行理论研究的话,广义相对论是不可忽略的有力工具。且容我冒昧地问一句:如果没有了引力理论,物理会是什么样?

第二,广义相对论引力方程是关于对称张量gik的10个微分方程。在广义相对论的情况下,坐标系存在自由选择的可能性,这意味着在通解的10个函数或场的分量中,通过对坐标系的适当选择,可以使4个函数具有规定的值。换句话说,广义相对性原理(坐标系的任意选择)意味着决定微分方程的函数个数不是10而是10-4=6个。对于这6个函数,只能假设存在6个独立的微分方程。因此在10个微分方程中,只有6个是相互独立的,其余的4个必须通过4种关系(恒等式)与那6个联系起来。事实上也确是如此,在10个引力方程中有4个恒等式(毕安基恒等式),以确保它们的“兼容性”。
在场变量的数量等于微分方程数量的情况下,兼容性总是可以保证的。这符合引力方程的情况。

然而,10个微分方程不能完全被6个所代替。虽然方程组是“超定的”,但由于恒等式的存在,它的超定性不会影响它的兼容性,解的多样性不会受到严格限制。

经过这样的准备,现在就很容易理解研究的本质,而不需要深入研究它的数学基础。现在的难题是为所有的场建立相对论理论。解决这个问题最重要的线索是已有的纯引力场的特解。因此,我们所寻求的理论必须包含引力理论。我们的问题是:什么是对称张量场的自然推广?

这个问题不能单独回答,只能与另一个问题“这个领域的哪一种场将提供最自然的理论体系?”联系起来回答。这个问题的答案是对称张量场必须被非对称张量场所取代。这意味着必须放弃场的分量gik=gki的条件。在这种情况下,场有16个分量而不仅仅是10个分量。

建立非对称张量场的相对论微分方程仍然是一项艰巨的任务。在试图解决这个问题的过程中,人们遇到了在对称场的情况下不会出现的困难。

广义相对性原理不能完全确定场方程,主要是因为场的对称部分的变换一律不涉及反对称的部分,反之亦然。也许这就是为什么以前几乎没有人尝试过用这种方式对统一场进行研究。在这个情景下,对称和反对称的部分都有作用,场的两部分的结合才能被证明是一个自然的过程。

事实证明,这一要求确实可以自然地得到满足。但是如果考虑广义相对性原理,这个要求仍不足以唯一确定场方程。因为场方程的方程组必须满足的另一个条件:方程组必须兼容。

但是,包含反对称张量的场方程有两个,它们是通过两种不同的方式出现的。变分原理为我们提供了两个不同方程组(尽管他们只是稍微有点不同),让我们用E1和E2来表示它们,但这两个方程组都有着特定的缺陷。

实际上,正是由于方程组E1和E2的形式缺陷,这给我们指出了一条可行的道路。那就是存在第三个方程组E3,它没有方程组E1和E2的形式缺陷,并且E3的每个解都表示为E1和E2解的组合。这表明E3可能是我们一直在寻找的方程组。那么,我们为什么不直接假设E3为方程组的解呢?这是因为E1和E2的兼容性并不意味着E3具有兼容性,并且方程的数目超过了场分量数目,所以这样假设是不合理的。

另外,我有一个考虑,是否存在一种更强大的不需要考虑兼容性问题的方程组E3,是唯一能够真正自然地概括万有引力的方程。

但是E3并不是一个与方程组E1和E2在同一意义上兼容的方程,E1和E2的兼容性是由足够多的恒等式来保证的。使用经典力学的语言,我们可以说:在方程组E3的情况下,“初始条件”不能自由选择。而真正重要的是这个问题的答案:方程组的各种解是否必须如物理理论所需求的那样广泛?这个纯粹的数学问题至今仍未解决。

怀疑论者会说:“从逻辑的角度来看,这个方程组可能是合理的,但这并不能证明它符合自然。”你是对的,亲爱的怀疑论者。只有实践才能检验真理。然而,如果我们成功地提出了一个有意义的精确的问题,我们就已经取得了一些成就。尽管已经有许多已知的依据和事实,但要想肯定或否定这个方程组并不容易。因为从方程组中推导出真实的物理可能需要付出艰苦的努力,也可能需要新的数学方法。

本文译者:刘润球是中国科学院数学与系统科学研究院研究员,他的研究方向为广义相对论。
协助刘润球翻译的还有来自兰州大学物理系的王治国、陈智良、范圣泰、卢博文、徐家傲、杜岳衡、胡蓉 、杨怡蕊 、张刘宇、沈祺、邹雨林。
00_avatar_middle
您需要登录后才可以回帖 登录 | 注册会员

手机版|UFO中文网

GMT+8, 2026-4-7 22:31

Powered by Discuz! X3.5

© 2001-2026 Discuz! Team.

快速回复 返回顶部 返回列表