找回密码
注册会员
发新帖
97_avatar_middle

39万

积分

0

好友

4万

主题
online_member 发表于 2022-2-2 12:54:04 | 查看: 153| 回复: 0
Science首次发表负面论文: 消失的“天使粒子”是怎么回事,是真的吗?2020年01月06日是本文发布时间是这个时间。下面一起来看看到底怎么回事吧。
                                Science首次发表负面论文: 消失的“天使粒子”
                               
                                《科学 》期刊首次发表负面结果的报告,发现在毫米级的量子反常霍尔绝缘体与超导体的异质结中的半整数量子化电导平台的边缘电流不是由手性马约拉纳费米子导致。
                               
                               

Science首次发表负面论文: 消失的“天使粒子”313 / 作者:UFO爱好者 / 帖子ID:83099

2010 年,著名华人物理学家、斯坦福大学Shou-Cheng Zhang教授团队首次从理论上预言了在量子(反常)霍尔绝缘体与超导体的异质结中可以产生手性马约拉纳费米子,但没有给出具体的实验测量方法。2015年,Shou-Cheng Zhang教授团队提出在量子反常霍尔绝缘体与超导体异质结中的手性马约拉纳费米子可以表现为电学输运测量中的半整数量子化电导平台。2017年,美国加州大学洛杉矶分校K. Wang教授团队与Shou-Cheng Zhang教授团队、加州大学欧文分校的Jing Xia教授团队合作,在毫米级量子反常霍尔-超导样品的磁畴反转区域“实验上观测”到了半整数量子化电导平台,并解释其为手性马约拉纳费米子( “天使粒子”) 所导致,认为这是量子反常霍尔效应平台系统中第一个具有确凿证据的手性马约拉纳费米子实验测量结果,引起巨大轰动。

近日,美国宾夕法尼亚州立大学Cui-Zu Chang助理教授、Moses. H. W. Chan教授和Nitin Samarth教授、以及德国维尔兹堡大学 Laurens W. Molenkamp教授课题组合作,发现在毫米级的量子反常霍尔绝缘体与超导体的异质结中的半整数量子化电导平台的边缘电流不是由手性马约拉纳费米子导致。相关工作以“Absence of Evidence for Chiral Majorana Modes in Quantum Anomalous Hall-Superconductor Devices”为题, 于2020年1月3日在《科学 》期刊上以Report 的形式在线发表。 这一文章是《科学 》期刊首次发表负面结果的Report。期刊编辑及三位特邀审稿人均给出高度评价,一致认为该工作对消除业内过去几年来在手性马约拉纳费米子实验测量方面存在的疑惑和争议具有重要意义。  

Science首次发表负面论文: 消失的“天使粒子”742 / 作者:UFO爱好者 / 帖子ID:83099

根据理论预测,手性马约拉纳费米子存在必须具备两个先决条件:(1)稳定的量子反常霍尔绝缘体体系;(2)量子反常霍尔绝缘体与超导体之间必须具有良好接触。在最新的实验工作中,除理论模型中提出的将超导体条带放置到量子反常霍尔绝缘体表面形成异质结之外,研究者还在相同的器件上用同种超导体制备了纳米级超导探针以此来表征量子反常霍尔绝缘体与超导体的接触情况,如图1所示。利用超导纳米探针结构,研究者测量了在直流偏置下超导体和量子反常霍尔绝缘体的微分电导。在实验中,该纳米探针在直流偏置下的微分电导符合安德列夫反射模型,在零直流偏置相比高偏置下的微分电导产生了近两倍的增强效应。这一实验结果证明了超导体和量子反常霍尔绝缘体之间建立了近乎理想的接触,如图2所示。

Science首次发表负面论文: 消失的“天使粒子”664 / 作者:UFO爱好者 / 帖子ID:83099
图1: 实验中的量子反常霍尔绝缘体与超导体异质结样品构造以及电学表征。

Science首次发表负面论文: 消失的“天使粒子”524 / 作者:UFO爱好者 / 帖子ID:83099
图2: 通过超导纳米探针来表征超导体和量子反常霍尔绝缘体的接触。

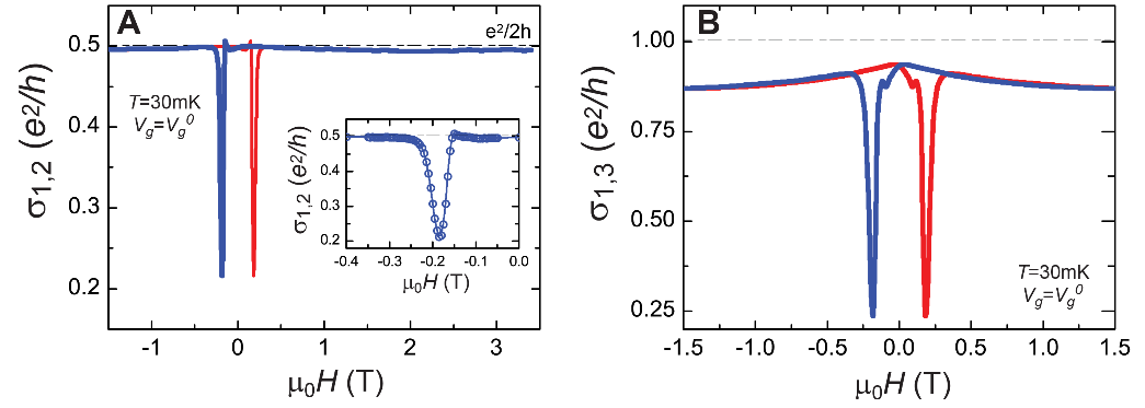
在验证上述两个先决条件之后,研究者尝试对跨越超导体的两端法电导进行测量。实验测得的两端法电导出现了与理论预期以及2017年实验文章中完全不同的结果。在2015年理论预期和2017年实验文章中,半整数量子化与整数量子化电导平台共存。然而在最新实验中并没有出现整数量子化电导平台,半整数的量子化电导平台不仅出现在理论预言的特定磁场范围内,更是出现在了整条霍尔曲线之中,如图3A所示。并且,这一量子化电导甚至在外加磁场超过了超导体临界条件下仍然存在。

新的实验现象已经很难用手性马约拉纳费米子理论预言中的物理模型进行解释。历经一年,Cui-Zu Chang教授团队测试了三十多个样品均表现出了同样的结果。于是,对这一现象背后的物理进行了深入的探讨之后,研究者认为: 由于量子反常霍尔绝缘体紧密接触的超导体将两侧的量子反常绝缘体进行了简单电学连接, 这一“短路”电路导致了观测到的半整数量子化电导平台。研究者还发现两端法测量的电导平台的数值依赖于量子反常霍尔绝缘体上面超导体条带的数目,如图4所示 。这一实验观测进一步验证了所观测到的半整数量子平台是由于“短路”所致,而非由于“天使粒子”所致。  

Science首次发表负面论文: 消失的“天使粒子”491 / 作者:UFO爱好者 / 帖子ID:83099
图3: 实验中观测到的半整数量子化电导平台。

Science首次发表负面论文: 消失的“天使粒子”30 / 作者:UFO爱好者 / 帖子ID:83099
图4: 两端法测量的电导平台数值依赖于超导条带的数目。

此外,研究者还通过在量子反常霍尔绝缘体与超导体之间人为添加绝缘层来系统改变其接触电阻大小,也没有观测到2015年理论预测以及2017年实验报道的结果。这些实验结果表明,对“天使粒子”的追寻之路并没有想象中容易,唯有一步一步脚踏实地,对实验结果永远持有着审慎态度,才有可能捕捉到真正的“天使粒子”。

原始论文:
https://science.sciencemag.org/content/367/6473/64
00_avatar_middle
您需要登录后才可以回帖 登录 | 注册会员

手机版|UFO中文网

GMT+8, 2026-4-7 23:57

Powered by Discuz! X3.5

© 2001-2026 Discuz! Team.

快速回复 返回顶部 返回列表