找回密码
注册会员
发新帖
97_avatar_middle

39万

积分

0

好友

4万

主题
online_member 发表于 2021-12-30 12:55:08 | 查看: 152| 回复: 0
瑞德西韦中美两国临床试验结果相反?是怎么回事,是真的吗?2020年04月30日是本文发布时间是这个时间。下面一起来看看到底怎么回事吧。
                                瑞德西韦中美两国临床试验结果相反?
                               
                                对于中美研究主要结论的差异,曹彬教授在接受第一财经采访时表示,NIH研究中对研究终点(即恢复)的定义比较宽泛,而《柳叶刀》杂志最新发表的研究设计更加严格。
                               
                               

瑞德西韦中美两国临床试验结果相反?413 / 作者:UFO爱好者 / 帖子ID:80622
图片来源:Ulrich Perrey | Reuters

在COVID-19疫情暴发后,作为目前最具潜力的候选药物,瑞德西韦治疗COVID-19的多项临床试验在全球陆续开展。其中,2月6日在中国10家医院启动的一项试验,成为首个正式公布的随机对照临床试验结果。根据刚刚发表于《柳叶刀》杂志的论文,这项备受关注的试验结果不及预期:瑞德西韦未能带来显著的临床收益。

编译 | 吴非

2月6日,瑞德西韦临床试验在武汉金银潭等10家医院启动。这项研究由国家呼吸系统疾病临床医学研究中心王辰院士和中日友好医院曹彬教授领导,原计划招募453名COVID-19重症患者,但在3月12日后,随着疫情好转,由于无法再招到合适的受试者,试验被迫提前终止。最终,实际入组的重症患者人数为236人。这个意料之外的变动,也在一定程度上影响了研究的统计学意义,使得研究的统计功效由80%下降至58%。

这些患者需满足年龄在18岁以上、从出现症状到入组不超过12天、氧饱和度低于94%等条件。患者被随机分为试验组(158人)与对照组(78人)。在接受标准治疗的基础上(包括洛匹那韦–利托那韦联合治疗、干扰素和皮质类固醇),试验组接受了为期10天的瑞德西韦静脉注射,其中第一天用量200毫克,此后每天100毫克;对照组则接受相同剂量的安慰剂注射。在试验组的158人中,有8人未接受治疗或治疗时间不足5天,因此分析疗效时未被考虑在内。

瑞德西韦中美两国临床试验结果相反?380 / 作者:UFO爱好者 / 帖子ID:80622

为了衡量患者临床症状的变化,研究人员制定了一套系统,将患者健康状况由好至坏,分为以下6个等级:1. 出院或达到出院标准;2. 住院治疗,不需要吸氧;3. 住院治疗,需要吸氧;4. 住院治疗,需要经鼻高流量氧疗或无创机械通气;5. 住院治疗,需要有创机械通气或ECMO;6. 死亡。

在开始接受治疗的第28天,如果患者出院,或是临床症状提高了至少两个等级,则定义为出现了临床改善。

除了观察研究终点的临床症状,研究人员还在试验期间及结束时收集粪便或肛门拭子样本,从而检测病毒RNA的含量。

论文指出,试验组与对照组患者在入组时,某些指标上存在一些初始差异:试验组患者携带高血压、糖尿病与冠心病这些基础性疾病的比例更高;开始接受治疗时,出现症状在10天以内的比例较低;呼吸速率超过每分钟24次的比例也更高。总而言之,试验组患者在最初的整体症状似乎更加严峻。

接受瑞德西韦治疗后,患者临床症状出现改善的时间是否有所变化?死亡率是否下降?体内病毒含量能更快地下降吗?对于这些疑问,论文一一给出了答案。

《柳叶刀》研究:未见显著性


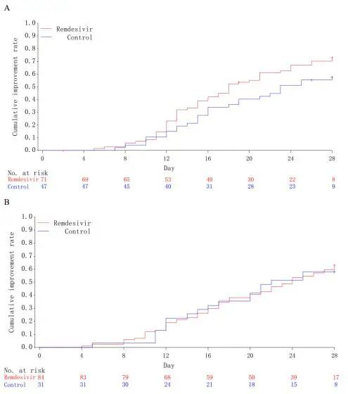
对于最重要的指标——临床改善时间,接受瑞德西韦治疗的患者出现临床改善的时间中位数为21天,与对照组的23天相近。作者还指出,如果统计接受治疗时出现症状不超过10天的患者,那么试验组与对照组出现症状改善的中位时间分别为18天与23天——尽管仍然不具备统计学显著性,但体现出了一定差异。

瑞德西韦中美两国临床试验结果相反?221 / 作者:UFO爱好者 / 帖子ID:80622
治疗组与对照组临床改善率

瑞德西韦中美两国临床试验结果相反?686 / 作者:UFO爱好者 / 帖子ID:80622
出现症状后10天内接受治疗的患者,症状改善率变化

此外,两组患者在28天时的死亡率也较为接近。瑞德西韦治疗组有22位患者去世,死亡率14%;而对照组为10人(13%)。同样,在接受治疗时出现症状不超过10天的患者中,试验组的死亡率较低,但也不具备统计学意义。

两组患者病毒RNA载量的变化,也没有出现人们期望中的结果。试验组对对照组病毒RNA载量的下降趋势相似,在试验期间,两组病毒RNA载量也未观察到明显的差异。

瑞德西韦中美两国临床试验结果相反?967 / 作者:UFO爱好者 / 帖子ID:80622
上图与下图分别为从上呼吸道和下呼吸道中采样的病毒载量变化

接受瑞德西韦治疗的患者中,102人(占比66%)报告了不良反应,这一比例在对照组为64%。在试验组中,因严重不良反应而停止用药的比例更高。

因此,综合这些数据,接受瑞德西韦治疗后,患者症状改善时间、死亡率、病毒载量变化等主要指标均没有显现出具有统计学显著性的优势。

作者在论文中也指出,试验结果未能达到预期。但他们也表示,在出现症状10天内接受瑞德西韦治疗的患者中,症状改善所需的时间似乎更短。对此,正在其他国家开展的其他临床试验或许可以给出更加明确的答案。而此前SARS与MERS的灵长类动物研究就指出,由于感染后肺部出现病变的速度很快,因此感染冠状病毒后需尽早接受治疗。

作为瑞德西韦治疗COVID-19的首个随机对照临床试验结果,这篇论文的结论不及人们此前的预期,但仍保留了希望。受限于实际参与的人数,这项研究的统计学意义有所削弱。在研究中,作者观察到出现症状后较早接受治疗的患者,临床改善时间较短、死亡率也更低,但这些结论的统计学意义仍需后续研究的证实。

在同期的评论文章中,英国爱丁堡大学的约翰·诺里(John Norrie)认为,试验被迫提前终止,造成研究结果不具结论性意义,研究无法证实瑞德西韦能带来临床收益,同时目前也无法排除这一可能性。

NIH:积极的信号?


就在同一天,吉利德(Gilead)科学公司和美国卫生研究院(NIH)也分别发布了关于瑞德西韦治疗COVID-19的报告。有趣的是,这些初步报告呈现的信号似乎更加积极。

吉利德发布了一项临床试验的结果:397名COVID-19重症患者分别接受了5天及10天的瑞德西韦治疗,结果两组患者均有超过半数在14天后出院。吉利德由此认为,瑞德西韦5天与10天疗程的效果相近。不过,这项试验并没有设置对照组,因此严格地说,吉利德发布的结论无法说明瑞德西韦是否有效。

而美国过敏与传染病研究所(NIAID)所长安东尼·福奇(Anthony Fauci )则在白宫的新闻发布会中,公布了NIH开展的一项瑞德西韦的随机对照临床试验结果。这项研究涵盖了全球超过1000名COVID-19患者,研究显示,试验组的恢复时间(即患者出院,或仍在住院但不需要吸氧)中位数为11天,对照组为15天,因此“展现了明确的积极效应”。此外,瑞德西韦治疗组患者的死亡率为8%,对照组为12%。福奇表示,死亡率的对比尚未达到统计学显著性。

由于这些研究的论文尚未正式发布,我们目前无法了解研究的细节。对于中美研究主要结论的差异,曹彬教授在接受第一财经采访时表示,NIH研究中对研究终点(即恢复)的定义比较宽泛,而《柳叶刀》杂志最新发表的研究设计更加严格。

在此次COVID-19疫情中,瑞德西韦在1月已经受到国内外研究人员的广泛关注,多项大规模的临床试验在各国迅速开展。此前,《新英格兰医学杂志》曾在4月10日公布了瑞德西韦治疗COVID-19患者的首批小规模队列研究临床结果:53名重症患者基于同情用药的原则接受了瑞德西韦治疗,36人(占68%)的临床症状得到改善,25人出院,7人死亡。作者认为,这项小规模队列研究虽然无法提供明确的结论,但提示了瑞德西韦COVID-19重症患者可能具有临床益处。而仅仅20天后,来自《柳叶刀》的研究结果,则给瑞德西韦的前景蒙上了一层阴影。

目前,全球仍有5项瑞德西韦治疗COVID-19的临床试验正在开展。其中,吉利德在全球开展的一项研究包含了超过4000名患者。未来数周,这些研究或许能为我们带来更具结论性的结果。但即使瑞德西韦的有效性最终得以证实,正如FDA前任局长斯科特·戈特利布(Scott Gottlieb)在评价吉利德最新公布的结果时所言,瑞德西韦是我们治疗COVID-19工具箱中的一部分,而不是万全之策。

原始论文:
Remdesivir in adults with severe COVID-19: a randomised, double-blind, placebo-controlled, multicentre trial
00_avatar_middle
您需要登录后才可以回帖 登录 | 注册会员

手机版|UFO中文网

GMT+8, 2026-4-8 10:20

Powered by Discuz! X3.5

© 2001-2026 Discuz! Team.

快速回复 返回顶部 返回列表