找回密码
注册会员
发新帖
97_avatar_middle

39万

积分

0

好友

4万

主题
online_member 发表于 2021-11-30 12:54:21 | 查看: 137| 回复: 0
最会装的人,已经装到了24维是怎么回事,是真的吗?2020年08月06日是本文发布时间是这个时间。下面一起来看看到底怎么回事吧。
                                最会装的人,已经装到了24维
                               
                                如何在保持办公室、学校和公共场合开放的情况下,同时让人们保持 6 英尺(≈182.88cm)的社交距离,这是数学家们研究了几个世纪的问题。
                               
                               

最会装的人,已经装到了24维560 / 作者:UFO爱好者 / 帖子ID:78462

作者丨Patrick Honner
翻译丨Nuor
审校丨Dannis

球体填充似乎是一个只有数学家们才会喜欢的话题。也对,除了他们,还有谁会热衷于找到平面排列圆形或者空间中放置球体的最有效方法呢?

但是现在,全世界有几百万的人都在思考这个特别的问题。

如何在保持社交距离下重新开放公共空间和场所,这在一定程度上是一道几何问题:如果每个人都与其他人保持 6 英尺的距离,那么一个教室或者餐厅可以坐多少人?本质就是在算一个平面内可以填充多少个不重合的圆形的问题。

最会装的人,已经装到了24维967 / 作者:UFO爱好者 / 帖子ID:78462
图片来源:Samuel Velasco/Quanta Magazine

这个几何问题不仅仅是当前疫情所面对的问题,在化学中模拟晶体结构和在信息论中抽象的信息空间都涉及到了这个圆形和球体填充的问题。这个问题听起来很简单,但是却一直困扰着历史上一些伟大的数学家们,甚至今天,关于这个问题的一些激动人心的研究还在继续,特别是在高维空间上。比如说,数学家们最近证明了将球体封装到 8 到 24 维空间的最佳方法,这个方法是优化手机中纠错码或空间探测器通讯的必需技术。所以,当我们研究用最简单的形状填充空间时,会出现怎样令人惊讶的复杂情况?

二维


如果你的任务是将橘子合理地放到盒子里或者在保持社交距离的情况下让学生入座,那么你所要安排的容器的大小和形状就变成了问题的关键。但是对于绝大部分的数学家们来说,球体填空理论是填充在整个空间的。在二维空间上,这代表利用同样大小的圆,不重叠地覆盖在平面上。

这里有一个在平面上放置圆形的例子,可能会让你想起一箱汽水罐的俯视图:

最会装的人,已经装到了24维673 / 作者:UFO爱好者 / 帖子ID:78462

可以想象,沿着各个方向按照这个模式不断重复的过程,就像铺设平面的瓷砖。圆圈之间的小的间隙代表着平面并不是完全被覆盖,对于圆形的瓷砖,这是可以预想到的结果。同时,我们关心平面的覆盖率,也就是平面覆盖的百分比,这里也被称为排列的“堆积密度”。

以上的排列被称为“方形堆积”( square packing),原因是:可以将圆的圆心想象为正方形的顶点。

最会装的人,已经装到了24维313 / 作者:UFO爱好者 / 帖子ID:78462

事实上,这些正方形本身就铺贴为平面。

最会装的人,已经装到了24维485 / 作者:UFO爱好者 / 帖子ID:78462

铺设的“瓷砖”对称性的性质将会简化这项工作。因为这些正方形的瓷砖可以用一种规则的方式覆盖整个平面,所以平面被圆形覆盖的百分比等于任意一个被圆覆盖的正方形的百分比。所以,让我们进一步看看这些方块。

最会装的人,已经装到了24维605 / 作者:UFO爱好者 / 帖子ID:78462

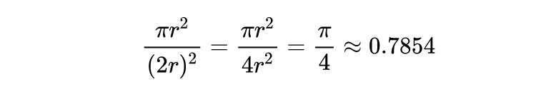
假设每个圆的半径为r,这意味着正方形的边长为2r。正方形的四个顶点中的每一个都被一个四分之一圆覆盖,因此每个正方形被圆覆盖的比例就是一个整圆的面积与一个正方形的面积之比:

最会装的人,已经装到了24维178 / 作者:UFO爱好者 / 帖子ID:78462

每个正方形大概有 78.54% 的面积被圆覆盖,所以根据我们的平铺理论,整个平面大概有 78.54% 被圆形覆盖。这就是方形堆积的堆积密度。(这里半径 r 从结果中消失了,这代表无论圆有多大,正方形都将会包含四个四分圆。)

现在,如果你曾尝试将汽水罐的侧面如下图这样放置,看着它们按照这个排列滑进罐与罐的缝隙之间,你会发现另外一种打包的方式。

最会装的人,已经装到了24维540 / 作者:UFO爱好者 / 帖子ID:78462

利用跟上文类似的方法,将圆的中心想象为正六边形的顶点。

最会装的人,已经装到了24维327 / 作者:UFO爱好者 / 帖子ID:78462

我们称之为“六方堆积”( hexagonal packing),这种排列似乎比方形堆积更有效地填补了空白。为了验证这一点,让我们比较一下它们的堆积密度。就像正方形一样,六边形平铺在平面上,所以我们可以通过分析单个六边形来确定这种排列的堆积密度。

最会装的人,已经装到了24维900 / 作者:UFO爱好者 / 帖子ID:78462

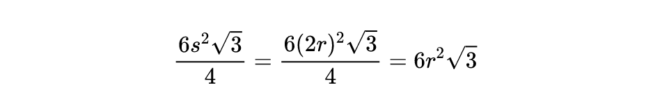
这个六边形被圆覆盖的比例是多少?因为六边形的内角是 120°,所以它的每个角上都有三分之一个圆,因此整个六边形包含两个完整的圆,加上中间的一个一共是三个圆。如果每个圆的半径为 r,则总面积为 3πr2。

该怎么跟六边形的面积比较呢?边长为 s 的正六边形实际上是六个边长为 s 的正三角形,每个三角形的面积是 ,所以六边形的面积为 。在这里,六边形的边长为 2r,因此它的面积为:

所以,六边形被圆覆盖的面积百分比为(用三个圆的面积除以六边形的面积):

最会装的人,已经装到了24维302 / 作者:UFO爱好者 / 帖子ID:78462
每个六边形大概有 90.69% 被圆覆盖,这样看起来比最密堆积空间利用率更高。(这里和我们预期的一样,结果中同样不包含圆的半径。)但是事实上,没有哪种排列是更有效的。

这一点的证明并不是一件容易的事情。一些著名的数学家比如约瑟夫·拉格朗日和卡尔·弗里德里希·高斯在18世纪末和19世纪初就开始研究这项工作,但直到20世纪40年代,所有可能的排列——规则的和不规则的——都被严格考虑之后,这个问题才被彻底解决。在很容易可视化的二维维度上,这个问题已经耗费了很长时间,这警示了了我们更高维度上问题的复杂程度。

三维


三维球体的填充是一个复杂得多的问题,尽管它与二维在某些方面有些共同的特点。例如,我们研究的二维填充是从一个单层构建的。

最会装的人,已经装到了24维656 / 作者:UFO爱好者 / 帖子ID:78462

在方形堆积中,我们把每一层都直接放在前一层的上面。

最会装的人,已经装到了24维513 / 作者:UFO爱好者 / 帖子ID:78462

在六方堆积中,我们将每个新层嵌套在前一层的间隙中。

最会装的人,已经装到了24维69 / 作者:UFO爱好者 / 帖子ID:78462

我们对每层的堆积方式决定了三维中不同的填充方式。

在三维空间中,不同的填充来自于这样的填充层。

最会装的人,已经装到了24维941 / 作者:UFO爱好者 / 帖子ID:78462

这一层是六方堆积填充的,就像是平面上最优的堆积方式。同样,将第二层以类似的方式堆叠上去,嵌套在球体之间的间隙中。

最会装的人,已经装到了24维15 / 作者:UFO爱好者 / 帖子ID:78462

三维中的几何要稍微复杂一些。每层球体之间的距离小于相邻球体的距离,因此这些缝隙中不能填充球体,否则会重叠。这意味着两层之间的缝隙会排成一行,形成一个小的缝隙通道。

最会装的人,已经装到了24维951 / 作者:UFO爱好者 / 帖子ID:78462

放置第三层时,有两个选项。一是填充间隙,保持通道顺通。这是侧面图:

最会装的人,已经装到了24维849 / 作者:UFO爱好者 / 帖子ID:78462

为保持通道顺通,第三层的球体放在第一层的正上方,如上图所示。这种排列被称为“六方最密堆积(hexagonal close-packed,HCP)” ,当你从上往下看时,会看到一条通道。

最会装的人,已经装到了24维515 / 作者:UFO爱好者 / 帖子ID:78462

第三层的另一种排列方式是封堵这个通道。将第三层放到第一层间隙的正上方,

最会装的人,已经装到了24维502 / 作者:UFO爱好者 / 帖子ID:78462

这个被称为“面心立方堆积(face-centered cubic,FCC)” 往下看,你看不透这个排列。

最会装的人,已经装到了24维343 / 作者:UFO爱好者 / 帖子ID:78462

这两种相似但截然不同的排列方式在化学上经常出现,它们用以描述不同材料中原子的排列方式。(比如说,银和金等金属具有面心立方堆积结构,而锌和钛等金属具有六方最密堆积结构)。通过选用任一填充模式,都可以利用球体填充空间。在六方最密堆积中,每隔一层球体的位置完全相同,而面心立方堆积中,每隔三层的排列是一样的。

事实上,你可以任意混合模式创建不同的填充方式,但是对于面心立方和六方最密堆积这两种模式来说,它们都是最好的填充方式!它们不仅有相同的堆积密度 ,而且还是三维空间中可能填充密度最大的排列。著名数学家、天文学家约翰内斯·开普勒在1611年就提出了这个猜想,但是直到 1998年数学家托马斯·黑尔斯才给出了完整的证明。

三维空间为有效地填充提供了更多的选择。随着维度的增加,填充的方法变得越来越复杂:更多的空间意味着更多的可能性,也愈加难以可视化。不仅仅是这个,随着维度的增加,球体所占据的空间就越小。

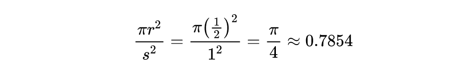
考虑边长为 1 的正方形的内接圆:

最会装的人,已经装到了24维984 / 作者:UFO爱好者 / 帖子ID:78462

圆的半径为 0.5,因此圆相对于方形的比例为:

最会装的人,已经装到了24维148 / 作者:UFO爱好者 / 帖子ID:78462


同时也是二维空间中最密堆积的堆积密度。

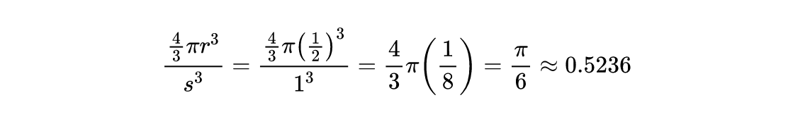
现在我们来到三维空间中立方体内的内接球。

最会装的人,已经装到了24维589 / 作者:UFO爱好者 / 帖子ID:78462

此球体的半径为 0.5,所以球体相对于立方体的体积比例为:

最会装的人,已经装到了24维866 / 作者:UFO爱好者 / 帖子ID:78462

值得留意的是,三维空间中,立方体内接球体所占的空间比例小于二维空间正方形内接圆所占的比例,照此类比,随着空间维度的增加,这个比例会减小,也就是说,随着 n 的增大,n 维球体占据的 n 维空间越来越小。

这个问题可以利用微积分来详细计算,但是这里也可以利用角的数目来理解。在每个维度中,我们都在 n 维的立方体中插入了 n 维的球体。球体的边接触了立方体的面,但是没有接触立方体的角,这代表立方体的每个角附近的区域都是在立方体的内部,球体的外部。但是一个 n 维的盒子中,有  个角,这代表随着 n 的增加,球体未覆盖的部分呈指数增长。不仅如此,角之间的距离和球体之间的距离也会随之增长。这代表着,从长远来看,n 维立方体内部,n 维球体外部的空间会越来越多,使得球体所占的空间相比越来越少。

如果空间占比逐渐缩小的球体还不够令人感到奇怪,那么研究空间填充的数学家们在8维和24维中发现的东西就更令人惊讶了。在这些维度中,由于球体占比缩小产生的空隙,足以利用新的球体来填充,从而产生高维空间的超致密填充物。这些填充被认为是最优的,这个结论数学家们直到2016年才确定:马林娜·维亚佐夫斯卡证明了8维的填充,一个星期内,维亚佐夫斯卡及其合作者扩展到了24维的证明。

维亚佐夫斯卡的工作代表目前我们已经知道了从 1,2,3,8,24维空间中最优的空间填充方式。但是在其他维度上,还有更多的工作需要展开。所以,拿出你的橘子和汽水罐,试着摆弄一下这个填充游戏吧!或许,你就是下一个发展这个理论的人。

原文链接:
https://www.quantamagazine.org/the-math-of-social-distancing-is-a-lesson-in-geometry-20200713/
00_avatar_middle
您需要登录后才可以回帖 登录 | 注册会员

手机版|UFO中文网

GMT+8, 2026-3-31 10:53

Powered by Discuz! X3.5

© 2001-2026 Discuz! Team.

快速回复 返回顶部 返回列表