找回密码
注册会员
发新帖
97_avatar_middle

39万

积分

0

好友

4万

主题
online_member 发表于 2021-10-6 12:54:02 | 查看: 152| 回复: 0
一个简单的微积分方程,帮助人类战胜艾滋病是怎么回事,是真的吗?2021年03月15日是本文发布时间是这个时间。下面一起来看看到底怎么回事吧。
                                一个简单的微积分方程,帮助人类战胜艾滋病
                               
                                在对抗艾滋病的漫长斗争中,微积分曾发挥过关键作用:毕业于加州理工学院物理学系的何大一正是利用数学计算,纠正了生物医学界对艾滋病的错误认识。
                               
                               
他和同事的计算结果让医生们认识到,HIV并不存在什么休眠期,而是从感染开始,免疫系统就在激烈地与HIV搏斗,因此越早用药越好。而且,著名的鸡尾酒疗法,也就是3种药物联用才能防止HIV产生耐药性,也是源自何大一和同事的数学计算。

撰文 | 史蒂文·斯托加茨(Steven Strogatz)
翻译 | 任烨

尽管微分是思维的虚构产物,但自从莱布尼茨发明微分以来,它们就以非虚构的方式深刻地影响着我们的世界、社会和生活。接下来我们通过一个现代的例子,看看微分在帮助人们理解和防治HIV方面起到的支持作用。

从20世纪80年代起,一种神秘的疾病每年在美国导致几万人死亡,在全世界造成数十万人死亡。尽管没有人知道它是什么、来自哪里或者由什么引发,但它的影响却显而易见。它会严重削弱患者的免疫系统,使他们变得易受罕见癌症、肺炎和机会性感染的侵害。这种疾病的致死过程缓慢、痛苦,还会损毁患者的容貌。医生称其为获得性免疫缺陷综合征或者艾滋病(AIDS),它让患者和医生都备感绝望,因为根本看不到治愈的希望。

一个简单的微积分方程,帮助人类战胜艾滋病625 / 作者:UFO爱好者 / 帖子ID:72178

基础研究表明,引发艾滋病的罪魁祸首是反转录病毒。它的致病机制非常阴险:病毒攻击并感染被称作辅助性T细胞的白细胞,这类细胞是免疫系统的关键组成部分。一旦进入T细胞,病毒就会操纵细胞的遗传机制,并利用它们制造更多的病毒。然后,这些新的病毒颗粒从细胞中逃脱,“免费搭乘”血流及其他体液,去寻找和感染更多的T细胞。人体免疫系统对这种侵袭做出的反应是,试图将血液中的病毒颗粒清除出去,并尽可能地消灭感染了病毒的T细胞。在这个过程中,免疫系统也杀死了自身的一个重要组成部分。

第一种获批用于治疗艾滋病的抗反转录病毒药物出现于1987 年。尽管它们通过干扰操纵过程减慢了HIV的感染速度,但并不像预期的那样有效,而且病毒常会对它们产生抗性。1994年出现了另一类药物——蛋白酶抑制剂,这类药物通过干扰新产生的病毒颗粒,阻止它们成熟和使它们不具备传染性来抑制HIV。虽然蛋白酶抑制剂也无法治愈艾滋病,但对患者而言它们已经是天赐之物了。

蛋白酶抑制剂问世后不久,由何大一博士(曾就读于加州理工学院物理学专业,应该对微积分很熟悉)领导的研究团队和数学免疫学家艾伦·佩雷尔森合作开展的一项研究,改变了医生对HIV的看法,也彻底改变了他们的治疗方式。在何大一与佩雷尔森的这项研究之前,人们认为未经治疗的HIV感染通常会经历3个阶段:历时几周的急性初期,最长可达10 年的慢性和无症状期,艾滋病末期。

在第一阶段,也就是一个人感染HIV后不久,他会表现出发烧、皮疹和头痛等流感样症状,血流中的辅助性T细胞(也被称为CD4细胞)的数量骤降。T细胞的正常数量是每立方毫米血液中约有1 000个,而在HIV感染初期T细胞数量会降至几百个。由于T细胞能帮助身体对抗感染,所以它们的损耗会严重削弱免疫系统。与此同时,血液中的病毒颗粒数量(病毒载量)猛增,之后随着免疫系统开始对抗HIV感染而下降。于是,流感样症状消失,患者感觉好多了。

在第一阶段结束后,病毒载量令人疑惑不解地稳定在一个可以维持多年的水平上,医生将这个水平称为“调定点”。一个未经治疗的患者可能会存活10年,除了持续性的病毒载量和缓慢下降的低T细胞数量外,没有任何HIV相关症状和实验室结果。但最终无症状期结束,艾滋病发病,这一阶段的特征是T细胞数量进一步减少而病毒载量激增。未经治疗的患者一旦病情发展成完全型艾滋病,机会性感染、癌症和其他并发症通常会导致他们在两三年内死亡。

解开这个谜团的关键,就在于HIV感染长达10年的无症状期。这是怎么回事呢?HIV是潜伏在人体内吗?我们已经知道有些病毒会在人体内潜伏,比如,生殖器疱疹病毒能潜伏在神经节中以躲避免疫系统的攻击;水痘病毒能在神经细胞中潜藏多年,有时还会引发带状疱疹。而对于HIV感染,我们不知道它为什么会有潜伏期,但何大一和佩雷尔森的研究让这个问题的答案浮出了水面。

在1995年的一项研究中,出于探测而非治疗的目的,他们给患者服用了蛋白酶抑制剂。这推动患者的身体偏离了调定点,也让何大一和佩雷尔森有史以来第一次跟踪到免疫系统对抗HIV的动态过程。他们发现,在服用蛋白酶抑制剂后,所有患者血流中的病毒颗粒数量都呈指数下降。血流中的病毒颗粒每两天就会被免疫系统清除掉一半,这样的衰减率令人难以置信。

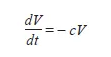
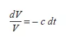
佩雷尔森和何大一利用微分学为这种指数式衰减建模,并从中提取出其惊人的效果。他们用未知函数V(t)表示血液中不断变化的病毒浓度,其中t表示施用蛋白酶抑制剂后经过的时间。然后,他们假设在无穷小的时间间隔(dt)内,病毒浓度会发生多大的改变(dV)。他们的数据表明,每天血液中都有恒定比例的病毒被清除,当据此外推无穷小的时间间隔(dt)内的情况时,这个比例也许会保持不变。由于dV/V是病毒浓度的比例变化,所以他们的模型可以表示成下面的方程:
一个简单的微积分方程,帮助人类战胜艾滋病807 / 作者:UFO爱好者 / 帖子ID:72178
其中,比例常数c是清除率,它衡量的是身体清除病毒的速度有多快。

上面的方程是一个典型的微分方程,它把微分dV与V及经过时间的微分dt联系在一起。通过运用基本定理对方程两边积分,佩雷尔森和何大一解出了V(t),并发现它满足:
一个简单的微积分方程,帮助人类战胜艾滋病912 / 作者:UFO爱好者 / 帖子ID:72178
其中,V0是初始病毒载量,ln表示自然对数(牛顿和墨卡托在17 世纪60 年代研究过这种对数函数)。求这个函数的反函数可得:
一个简单的微积分方程,帮助人类战胜艾滋病90 / 作者:UFO爱好者 / 帖子ID:72178
其中,e是自然对数的底,这证明了模型中的病毒载量的确呈指数式衰减。最终,通过用指数式衰减曲线去拟合他们的实验数据,何大一和佩雷尔森估算出之前未知的清除率c 的值。

而对那些喜欢导数胜过微分的人来说,该模型的方程可以改写为:
一个简单的微积分方程,帮助人类战胜艾滋病431 / 作者:UFO爱好者 / 帖子ID:72178
在这里,dV/dt 是V的导数,它衡量的是病毒浓度增长或下降的速度有多快。导数为正值表示增长,导数为负值则表示下降。由于浓度V是正值,所以–cV必定为负值,导数也必定为负值,这意味着病毒浓度必然下降,就像我们在实验中看到的一样。此外,dV/dt 与V之间的正比关系意味着,V越接近0,病毒浓度的下降速度就越慢。直观地说,V缓慢下降的情况就好比你先往水槽里灌满水再向外排水,水槽里剩下的水越少,水的排出速度就越慢,因为将水向下推的压力越来越小。在这个类比中,病毒数量就像水一样,而免疫系统清除病毒的过程则像水槽向外排水一样。

在为蛋白酶抑制剂的效果建模后,何大一和佩雷尔森对他们的方程进行了修正,以便描述在施用药物前病毒载量的情况。他们认为方程会变成:
一个简单的微积分方程,帮助人类战胜艾滋病266 / 作者:UFO爱好者 / 帖子ID:72178
在这个方程中,P指在未受抑制的情况下新病毒颗粒的产生速度,它是当时的另一个重要的未知量。何大一和佩雷尔森设想在施用蛋白酶抑制剂之前,被感染的细胞每时每刻都在释放新的感染性病毒颗粒,然后它们又会感染其他细胞,以此类推。这种燎原之势正是HIV具有巨大毁灭性的原因。

但在无症状期,病毒的产生和它们被免疫系统清除之间显然存在着一种平衡状态。在调定点,病毒的产生速度和被清除速度同样快,这为病毒载量为何能多年保持不变提供了新的见解。用水槽里的水来类比的话,这种情况就像你同时打开水龙头和排水口一样。当流出量等于流入量时,水槽里的水将会达到稳态水平。

在调定点,病毒浓度不变,所以它的导数必定为0,即dV/dt = 0。于是,稳态病毒载量V0 满足:
一个简单的微积分方程,帮助人类战胜艾滋病881 / 作者:UFO爱好者 / 帖子ID:72178
何大一和佩雷尔森利用上面这个简单的方程,估算出一个极其重要的数字,那就是免疫系统每天清除的病毒颗粒数量为10亿个,而在此之前人们没有办法测量它。

这个数字出人意料,也着实惊人。它表明,在看似平静的10年无症状期内,患者体内持续发生着一场大规模的战争。每一天,免疫系统都会清除10亿个病毒颗粒,而被感染的细胞则会释放出10亿个新的病毒颗粒。免疫系统全力以赴地和病毒展开了激烈的较量,战争似乎进入了胶着状态。

1996年,何大一、佩雷尔森和他们的同事展开了一项后续研究,旨在更好地处理他们在1995年发现却未能解决的问题。这次他们收集了在施用蛋白酶抑制剂后的更短时间间隔内的病毒载量数据,因为他们想获得更多关于药物吸收、分布和渗透进入靶细胞时发生的初始滞后现象的信息。在用药后,研究团队每两小时测量一次患者的病毒载量,直到第6 个小时;然后每6小时测量一次,直到第2天;之后每天测量一次,直到第7 天。在数学方面,佩雷尔森对微分方程模型进行了改进,将滞后现象纳入其中,并追踪了另一个重要变量——被感染的T细胞数量——的动态变化过程。

当研究人员重新做了实验,用数据去拟合模型的预测结果,并再次估算模型参数时,他们得到了比以前更加令人震惊的结果:每天产生而后又从血流中被清除的病毒颗粒多达100 亿个。而且,他们发现被感染的T细胞的寿命只有两天左右。虽然T细胞损耗是HIV感染和艾滋病的主要特征,但它们短得惊人的寿命却使这个谜题变得更加扑朔迷离。

有关HIV的惊人复制速度的发现,改变了医生治疗HIV阳性患者的方式。在何大一和佩雷尔森开展相关研究之前,内科医生要等到HIV结束所谓的休眠后,才会给患者开抗病毒药物。他们的想法是,在患者的免疫系统真正需要帮助之前保存实力,因为病毒常会对药物产生抗性,到那时就无计可施了。所以人们普遍认为,等到患者的病情发展后再进行治疗是更明智的做法。

然而,何大一和佩雷尔森的研究完全颠覆了这种观念:HIV并不存在休眠状态,而是每时每刻都在和人体进行着激烈的战斗,因此从关键的感染初期起,免疫系统就需要尽快得到它能获得的一切帮助。现在我们很清楚为什么没有一种药物能长期起效,因为病毒的复制和突变速度都十分迅速,以至于它们总能找到逃避几乎所有治疗药物的方法。

必须联合使用多少种药物才能打垮和抑制HIV,佩雷尔森运用数学工具对这个问题进行了定量估计。通过将HIV的测定突变率、基因组大小,以及最新估算出的每天产生的病毒颗粒数量等因素考虑在内,他用数学方法证明了在其基因组内的所有碱基上,HIV每天会多次发生各种可能的突变。即使是单一的突变也有可能产生抗药性,因此单一药物疗法成功的希望十分渺茫。尽管同时使用两种药物的起效概率较高,但佩雷尔森的计算显示,在所有可能的双重突变中,有相当一部分也会每天发生。不过,联合使用三种药物的话,HIV就很难取胜了。计算结果表明,HIV能够同时发生必要的三重突变以逃避三联疗法22的概率大约是千万分之一。

何大一及其同事在临床研究中对HIV感染者进行了三联鸡尾酒疗法测试,并取得了相当显著的效果。在两周内,患者血液中的病毒水平下降为原来的1%左右;在接下来的一个月内,则检测不到病毒了。

这并不是说HIV被根除了。不久后的研究显示,如果患者暂停治疗,病毒就会气势汹汹地卷土重来。问题在于,HIV可以隐藏在人体各处。它能藏匿于药物无法轻易渗透的庇护所,或者藏身于HIV潜伏感染的细胞中并停止复制,这是一种躲避治疗的狡猾方法。在任何时候,这些休眠细胞都有可能苏醒并开始制造新病毒。这就是为什么对HIV阳性患者来说坚持服用药物很重要,即使他们的病毒载量很低或检测不到。

尽管三联疗法不能治愈HIV,但却把它变成了一种可以控制的慢性病,至少对那些有条件治疗的人来说是这样的。它给这种令人绝望的疾病带来了治愈的希望。

1996年,何大一博士被评选为《时代周刊》的年度风云人物。2017年,艾伦·佩雷尔森因为“给理论免疫学带来了真知灼见并挽救了生命的深远贡献”,获得了美国物理学会的马克斯·德尔布吕克奖。目前,他仍在利用微积分和微分方程进行病毒动态分析。佩雷尔森最新的研究与丙型肝炎有关,这种病毒在全世界影响了约1.7亿人,是肝炎肝硬化和肝癌的主要致病因素,每年导致35万人死亡。2014年,在佩雷尔森的数学方法的帮助下,丙型肝炎的新疗法被研发出来,就像每天服用一次药片一样安全简单。令人难以置信的是,新疗法治愈了几乎所有的丙型肝炎患者。

在人类文明进程中的这些具有里程碑意义的发明和发现背后,微积分究竟扮演了什么 样的角色?围绕曲线之谜、运动之谜和变化之谜,毕达哥拉斯、阿基米德、伽利略、开普勒、 牛顿、莱布尼茨、爱因斯坦、薛定谔等如何用微积分的“钥匙”打开了宇宙奥秘之“锁”? 这些谜题的解决方案对人类文明的进程和我们的日常生活又产生了什么样的深远影响?在《微积分的力量》书中,应用数学家兼“导游”斯托加茨将用一种“讲故事”和“看 展览”的方式为你一一揭晓答案。

一个简单的微积分方程,帮助人类战胜艾滋病79 / 作者:UFO爱好者 / 帖子ID:72178
00_avatar_middle
您需要登录后才可以回帖 登录 | 注册会员

手机版|UFO中文网

GMT+8, 2026-4-9 03:11

Powered by Discuz! X3.5

© 2001-2026 Discuz! Team.

快速回复 返回顶部 返回列表