找回密码
注册会员
发新帖
27_avatar_middle

264

积分

0

好友

17

主题
online_member 发表于 2020-6-2 19:53:34 | 查看: 2469| 回复: 20
作者:一点资讯
憋了很多年的问题
作者:一点资讯 ,无意在网上看到这篇文章,深有同感。所以分享。
online_member 发表于 2020-6-2 19:53:48
不能超光速的严格且准确的表述是,有质量粒子走类时线,无质量粒子走类光线。只要满足这两条,物理上定义的“速度”超不超光速都无所谓,并不破坏时空的因果结构。
尺度因子a(t)可以超光速是因为它并不破坏时空的因果结构。这种超光速的速度是允许的。
至于a(t)具体怎么演化,这是由宇宙中的物质组分决定的。
宇宙年龄 138 亿年,宇宙直径 930 亿光年,光速最快,这跟宇宙爆炸论不矛盾吗?285 / 作者:123456825 / 帖子ID:63112

回复 显示全部楼层 道具 举报

online_member 发表于 2020-6-2 19:54:41
题主这个问题很好,我以前也曾困扰过。按照宇宙中光速最快的前提,宇宙诞生了138亿年,为什么我们却能看到465亿年外呢?
这个465亿年是哪里来的呢?
有基本科学素养的人,遇到一个量,首先会想一个问题:“这个是怎么测(算)出来的?”
宇宙年龄 138 亿年,宇宙直径 930 亿光年,光速最快,这跟宇宙爆炸论不矛盾吗?497 / 作者:马宝清马宝清 / 帖子ID:63112 哈勃发现众多遥远星系都在相对于地球退行,而且越遥远的星系退行速度越大,这意味着宇宙正在膨胀。爱因斯坦在证据面前低下了头,放弃了他在宇宙常数上的工作。下两图为1931年,爱因斯坦前往威尔逊山天文台,感谢哈勃为现代宇宙学提供了观测基础。
宇宙年龄 138 亿年,宇宙直径 930 亿光年,光速最快,这跟宇宙爆炸论不矛盾吗?443 / 作者:马宝清马宝清 / 帖子ID:63112 宇宙年龄 138 亿年,宇宙直径 930 亿光年,光速最快,这跟宇宙爆炸论不矛盾吗?584 / 作者:马宝清马宝清 / 帖子ID:63112 根据遥远星系退行速度(v)和距离(d)是线性的比例,我们可以得到一个哈勃常数(H或H0)的概念,数学式如下:
宇宙年龄 138 亿年,宇宙直径 930 亿光年,光速最快,这跟宇宙爆炸论不矛盾吗?336 / 作者:马宝清马宝清 / 帖子ID:63112 现在测得哈勃常数的值约为:70(km / s)/ Mpc。(量纲为s^-1)
通过哈勃常数可以粗略估计宇宙的年龄:哈勃常数的倒数——哈勃时间。
比如以前测得H0=69s^-1,则可算出哈勃时间约为145亿年。很简单的,如下图,一个除法搞定,然后就是单位换算了。
宇宙年龄 138 亿年,宇宙直径 930 亿光年,光速最快,这跟宇宙爆炸论不矛盾吗?467 / 作者:马宝清马宝清 / 帖子ID:63112 这只是一个例子,预知后事如何,继续往下看
但我们的宇宙并不是仅有稀稀落落的星光,更是弥散着暗物质和传说中的暗能量。必须考虑到它们的能量密度,所以现代的标准宇宙学模型也叫作ΛCDM模型,Λ(Lambda)就是暗能量,CDM就是cold dark matter(冷暗物质)。所以宇宙年龄必须要根据下面的式子修正:(其中F是校正因子,括号里的三个参数Ωr,Ωm,ΩΛ分别为常见物质、暗物质、暗能量的密度分数)
宇宙年龄 138 亿年,宇宙直径 930 亿光年,光速最快,这跟宇宙爆炸论不矛盾吗?626 / 作者:马宝清马宝清 / 帖子ID:63112 好了,到了实操阶段了,Ωr,Ωm,ΩΛ究竟是多少,还得靠观测说了算。最早的微波背景辐射对前两者的测量还凑合,对暗能量就力有不逮了。
2012 年,威尔金森微波各向异性探测器(WMAP)公布了为期9年的数据,可计算得宇宙年龄为:(13.772 ± 0.059)× 10^9年。
宇宙年龄 138 亿年,宇宙直径 930 亿光年,光速最快,这跟宇宙爆炸论不矛盾吗?244 / 作者:马宝清马宝清 / 帖子ID:63112 2015年,根据WMAP的继任者、清晰度更高的普朗克卫星的数据,可计算得到宇宙年龄为:(13.799 ± 0.021)× 10^9 年。这是人类获得的最精确的宇宙年龄的数据,也是我们现在一般使用的最可信的最具说服力的宇宙年龄数据。
宇宙年龄 138 亿年,宇宙直径 930 亿光年,光速最快,这跟宇宙爆炸论不矛盾吗?99 / 作者:马宝清马宝清 / 帖子ID:63112 所以啊,我们宇宙年龄138亿年是基于一步步的观测数据而计算出来的,也许这个数字以后还将会变得更加精确。
具体的计算公式我也不太懂,大致上,根据不同的Ωm,ΩΛ值,也就是宇宙中的暗物质和暗能量的密度,可以在下图中拟合出不同的曲线,根据观测,我们的宇宙是其中的紫线,可以看出:
1,总结过去,我们的宇宙诞生于约138亿年前。
2,展望未来,我们的宇宙将继续膨胀下去,等待我们的将是大撕裂。
3,其他类型的宇宙也挺有意思,比如蓝色的德西特宇宙,就是没有起始点的宇宙。而青色的闭合宇宙,起源于60亿年前,也将在一百多亿年后以大坍缩的形式终结。
宇宙年龄 138 亿年,宇宙直径 930 亿光年,光速最快,这跟宇宙爆炸论不矛盾吗?60 / 作者:马宝清马宝清 / 帖子ID:63112 好了,宇宙年龄怎么来的我们大致上是知道了,那么可观测宇宙的直径是怎么来的呢?
我们都知道宇宙从大爆炸一个原点开始,就开始加速膨胀,好比吹气球。空间在膨胀,这个速度是可以超过光速的。
宇宙年龄 138 亿年,宇宙直径 930 亿光年,光速最快,这跟宇宙爆炸论不矛盾吗?262 / 作者:马宝清马宝清 / 帖子ID:63112 那么138亿年后,我们现在能看到的范围有多少呢?
这似乎是一道小学奥数题,越远的星体退行速度越快,那么我能看到的范围一定有一个极限,因为当它们的退行速度超过光速以后,我们就永远看不到它们了。但也不是一个简单的138亿光年,因为现在比138亿光年远的地方,它们之前可没那么远啊。
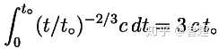
其实啊,要解决这个问题,依靠小学奥数水平远远无法解决。可以通过一个积分的数学处理,这个说难不难说简单也不简单,如下,看不懂的领会我上面的精神即可。
宇宙年龄 138 亿年,宇宙直径 930 亿光年,光速最快,这跟宇宙爆炸论不矛盾吗?57 / 作者:马宝清马宝清 / 帖子ID:63112 这样的话,理论上我们应该能看到138*3=414亿光年以外的范围。
和计算宇宙年龄一样,也必须考虑到宇宙的暗物质和暗能量密度,根据现有宇宙模型修正后的数字为465亿光年。(可观测宇宙半径)
宇宙年龄 138 亿年,宇宙直径 930 亿光年,光速最快,这跟宇宙爆炸论不矛盾吗?782 / 作者:马宝清马宝清 / 帖子ID:63112 可观测宇宙之外是什么呢?整个宇宙还有多大呢?
这已经很难依靠现有的观测数据了,甚至严谨的说,连宇宙是有限的还是无限的也不能下定论。不同的理论有不同的估计,我们仅仅列举几种比较有名的。
1,1998年,Alan H.Guth根据暴涨理论,假设暴涨发生在大爆炸之后大约10^-37秒,那么可以假设发生暴涨之前,宇宙的大小约等于光速乘以其年龄的乘积,这表明目前整个宇宙的大小至少是可观测宇宙半径的3x10^23倍。
这似乎是一个天文数字了。
宇宙年龄 138 亿年,宇宙直径 930 亿光年,光速最快,这跟宇宙爆炸论不矛盾吗?0 / 作者:马宝清马宝清 / 帖子ID:63112 2,2006年,Susskind反对霍金的无边界假说(宇宙是有限无边的)发表论文,表示整个宇宙的大小大约为10的10的10的122次方秒差距。(1秒差距≈3.262光年)
这个就更加离谱了!
宇宙年龄 138 亿年,宇宙直径 930 亿光年,光速最快,这跟宇宙爆炸论不矛盾吗?178 / 作者:马宝清马宝清 / 帖子ID:63112 3,也有比较保守的。2011年,英国科学家Mihran Vardanyan,Roberto Trotta和Joseph Silk等人的一项研究表示,整个宇宙的大小约是可观测宇宙体积的251倍。这篇文章被发表于杂志《universetoday》上。
宇宙年龄 138 亿年,宇宙直径 930 亿光年,光速最快,这跟宇宙爆炸论不矛盾吗?730 / 作者:马宝清马宝清 / 帖子ID:63112 如果还要追问整个宇宙真正多大,可能要等我们掌握超光速技术才行了。
1000年内能发明出曲率引擎吗?PS:有人提到整个宇宙半径为24万亿光年是不正确的。
这可能来自一个误解:
2004年,Neil J. Cornish, David N. Spergel, Glenn D. Starkman, and Eiichiro Komatsu等人发表的论文显示:根据WMAP第一年的数据,能够排除我们生活在一个直径小于24 Gpc的球形空间里的可能性。
2012年,他们已经把这个数字调整为26Gpc。
24Gpc其实是240亿秒差距,对应于780亿光年。(G是十亿,pc是秒差距的意思)这个780亿光年的数字在很多地方都被引用。




参考:
1,https://wmap.gsfc.nasa.gov/universe/uni_age.html
2,http://www.astro.ucla.edu/~wright/cosmology_faq.html#DN
3,https://en.wikipedia.org/wiki/Universe#Size_and_regions
4,https://en.wikipedia.org/wiki/Observable_universe#Size
5,https://en.wikipedia.org/wiki/Age_of_the_universe
7,https://en.wikipedia.org/wiki/Lambda-CDM_model
8,https://en.wikipedia.org/wiki/Hubble%27s_law#Observed_values_of_the_Hubble_constant
9,https://www.sciencepagenews.com/2019/08/27/hubble-constant-shows-something-is-fundamentally-wrong-with-our-conception-of-the-universe/
10,https://archive.org/details/inflationaryuniv0000guth
11,https://arxiv.org/abs/hep-th/0610199
12,https://www.universetoday.com/83167/universe-could-be-250-times-bigger-than-what-is-observable/
13,https://journals.aps.org/prl/abstract/10.1103/PhysRevLett.92.201302

回复 显示全部楼层 道具 举报

online_member 发表于 2020-6-2 19:55:11
因为有暴涨理论

回复 显示全部楼层 道具 举报

online_member 发表于 2020-6-2 19:55:32
有点文化行不行,要说矛盾也是跟狭义相对论矛盾。

回复 显示全部楼层 道具 举报

00_avatar_middle
您需要登录后才可以回帖 登录 | 注册会员

手机版|UFO中文网

GMT+8, 2026-5-8 12:11

Powered by Discuz! X3.5

© 2001-2026 Discuz! Team.

快速回复 返回顶部 返回列表