找回密码
注册会员
发新帖
08_avatar_middle

222

积分

0

好友

13

主题
online_member 发表于 2020-4-28 21:07:51 | 查看: 402| 回复: 0
作者:天文在线
如果你想知道宇宙中某些东西的运作,你所有需要做的就是明白一些可测量的质量会给你必须的信息,然后把你引向结论。当然,在这里会有偏见和错误和其他的一些混杂的因素,然后它们可能会在你不小心时将你引入歧途。那么如何解决这个问题?那就是尽可能多的做你自己的独立测算,使用尽可能不同的技术,来决定这些源于自然的数据财富尽量可靠。

如果你做对了一切,你的每一个方法都会带给你相同的解答,那么这个解答就不存在模棱两可。如果一种测量手段或技术不起作用,其它的会将你指向正确的方向。但当我们尝试在不断膨胀的宇宙中运用这些技术,就出现了一件令人困惑的事:我们得到了一到两个解答,而他们互不匹配。这是宇宙学中最大的悖论,而且它可能正是那条揭开有关我们存在的最大谜团的那条线索。
宇宙膨胀得多快?这个结论也许会指向某些不可思议的东西613 / 作者:娣玲 / 帖子ID:61446

附近星系的距离—红移图。因为本动速度的小小的不匹配,这个点不完全处于线上,这使所有被观察的膨胀仅仅出现了小小的一点偏差。第一个用来揭晓宇宙膨胀的、来自哈勃望远镜的原始数据全部符合在左下方的小红盒子(罗伯特·克什纳)

从1920年时我们就已经知道了宇宙在以被称作哈勃常数的速率膨胀。从此以后,一代代人有了一个共同的追求,即确定“速率是多少?”

早期,只有一类技术:宇宙距离阶梯。该技术非常简单,只需四个步骤:
    选择一系列本质属性已知的物体,当你测量它们某些可观察的部分(如它一段时期的亮度波动),你会知道它们某些固有的东西(像是它发光的本质)测量可观测到的数量,然后确定它本质的光亮是什么。然后测量明显的光亮,且使用在一个不断膨胀的宇宙中你所知的宇宙的距离来确定它到底有多远。最后,测量探寻的物体的红移
宇宙膨胀得多快?这个结论也许会指向某些不可思议的东西802 / 作者:娣玲 / 帖子ID:61446

一个星系离我们越远,距离我们而言它膨胀得越远,它的光芒在红移图上显示的越多。一个随着不断膨胀的宇宙移动的星系,离我们会有再好几倍光年远,甚于今天光从它到我们这里所需要的年份(因光速的原因而翻倍)。但宇宙膨胀得多快是使用不同科技的天文学家所无法达成一致的。(观点来自RASC卡尔加里中心的拉里·麦克尼什)

红移图把所有连在一起。既然宇宙正在膨胀,任何通过宇宙的光也会被拉长。记住,光是一种波,有其特殊的波长。它的波长决定了它的能量,而宇宙中的所有的原子和粒子都有一套特殊的发出和吸收线,它们只在特殊的波长下出现。如果你可以测量这些出现在附近星系的这些光谱线的波长,你可以确定宇宙从这些光离开那个物体到你眼中时,宇宙膨胀了多长时间

结合光谱线和整个宇宙各种物体的距离,哪怕膨胀率随着时间如何变化,你都可以明白宇宙在不同方向上膨胀得多快。
宇宙膨胀得多快?这个结论也许会指向某些不可思议的东西153 / 作者:娣玲 / 帖子ID:61446

宇宙膨胀的历史,包括了它目前的规模在内。只有通过测量光在通过膨胀的宇宙时如何红移才能像现在这样理解它,这需要一系列大型的独立测量。(欧空局ESA和普朗克协会(主协会)E·西格尔进行修正;NASA/维基百科日常用户老陈提供插图)

在整个20世纪,科学家们用这个技术来尝试和尽可能确定我们宇宙的历史。宇宙学——这门研究宇宙是什么,从哪里来,如何演变到如今,未来会是如何的学科——主要时源于对两个参数的追求:目前宇宙的膨胀率和膨胀率随时间发生的变化。直到上世纪90年代,科学家甚至仍然不能确定第一个参数。

科学家们使用同样的技术,却得出不同的假设。有些团队使用和其他团队不同类型的天体进行测算,有些团队使用不同仪器时犯下了不同的测量错误。有一系列对象被证明比我们想象中更为复杂。但很多问题尚在发生。
宇宙膨胀得多快?这个结论也许会指向某些不可思议的东西319 / 作者:娣玲 / 帖子ID:61446

标准烛光法和标准尺子法是过去天文学家用来测量不同时间/距离的空间膨胀的两种不同的方法。基于光度或角度大小等物理量随距离的变化,我们可以推断出宇宙膨胀的历史。如果宇宙膨胀·得太快,就不会有足够的时间来形成地球。如果我们能在自己的星系中找到最古老的恒星,我们就知道宇宙至少和这颗恒星一样古老。如果膨胀率随时间不断进化,因为一些重要的东西或是辐射的原因——或是与我们确定的数量不同的物质——这会导致膨胀率随时间不断变化

解决这些早期的争论是制造哈勃太空望远镜的原初科学动力。它的核心项目就是做出这项测量,而它取得了巨大的成功。它得出的膨胀率是72km/秒/mpc,且只有百分之十的不确定因素。这个结果在2001年发布,解决了一个如哈勃定律本身一样有长时间争议的问题。在发现暗物质和能量的发现之中,它似乎给了我们一个完全准确和持续的宇宙图片。
宇宙膨胀得多快?这个结论也许会指向某些不可思议的东西527 / 作者:娣玲 / 帖子ID:61446

建设宇宙距离阶梯包括从我们的太阳系到其他恒星到附近的星系到远距离的星系。随着每一“步”的迈出都带来它自己的不确定性因素,特别是造父变星和超新星的变化阶段;如果我们住在一个密度更低或过高的星系区域,它同时也会造成过高或过低的价值估计。有足够多的独立方法可以用于建造起宇宙距离阶梯,我们不再有理由因我们用不同的方法造成结果不匹配,来责怪梯子上的一个“踏板”(NASA,欧空局,A.FEILD(STSCL),和A.RIESS(STSCL/JHU)

在时间间隔里,距离阶梯组变得越来越复杂。目前这里有不可思议的大量的独立方法来测量宇宙膨胀的历史。

    利用遥远的引力透镜使用超新星数据利用遥远星系的旋转和色散特性或者使用表面螺旋的表面亮度波动

结果都是一样的,不管你使用造父变星,RR天王星还是即将发生氦聚变的红巨星来校准,你都将得到相同的值:73km/s/mps,不确定度只有2-3%
宇宙膨胀得多快?这个结论也许会指向某些不可思议的东西165 / 作者:娣玲 / 帖子ID:61446

变星的RS Puppis ,它的光反射穿过星际云,变星有很多种,其中之一是造父变星,它既可以在我们星系中测量,也可以在5000万在6000万光年远的星系中测量。这使我们能够推断出从我们自己的星系到宇宙中更远的星系的距离。其他种类的单个恒星,如AGB的尖端的恒星,如AGB的尖端的恒星或RR Lyrae变量,可以用来替代造父变星。

这会是宇宙学的巨大的顺利,除了一个问题。现在是2019,而现在有第二种方法来测量宇宙的膨胀率。我们可以使用大爆炸早期的遗迹,而不是观察遥远的物体来测量他们的光是如何演化的。当我们这样做时,我们会得到约67km/s/mpc的值,它声称的不确定程度只有1-2%,这些数字相差百分之九,且它们的不确定性不会重叠。

宇宙膨胀得多快?这个结论也许会指向某些不可思议的东西521 / 作者:娣玲 / 帖子ID:61446

现代使用早期来自CMB和BAO的信号数据,测量来自距离阶梯(红色)张力的方法出现了矛盾。很有可能早期的信号错误是正确的而距离阶梯出现了根本的问题;有可能小范围的错误使早期的信号方式出现了偏差,而距离阶梯是正确的;还有可能两者都是对的而有些物理学的新形式(展示在文章开头)是罪魁祸首。但目前来说,我们还不能确定。(ADAM RIESS)(私人通讯)

不管怎样,这一次,事情不同了。我们不能再期待一组是对的一组是错的。我们也不能再期待结论会是两者之间,而两组都在他们的假设中制造了某种错误。我们不能依靠这些的原因是有太多独立的证据了。如果我们尝试解释一个带着一个错误的量度,它会与其他已经得出的量度产生矛盾的。

宇宙中物质的总量是宇宙如何随时间膨胀的决定因素。爱因斯坦的广义相对论把宇宙间的内能和整体的曲率连接在一起。如果宇宙膨胀得太快,这暗示着宇宙中有着更少的物质和更多的暗物质,这会与观察所得产生矛盾
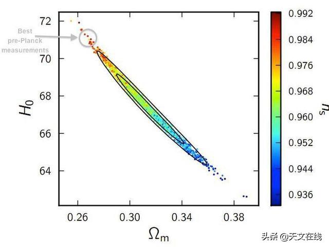
宇宙膨胀得多快?这个结论也许会指向某些不可思议的东西647 / 作者:娣玲 / 帖子ID:61446

在普朗克之前,最佳的一个数据显示一个哈勃参数大约71km/s/mpc,但现在一个大等于69的值对于我们通过其他方式和标量光谱指数(y轴右轴)观测到的暗物质密度来说太大了,我们需要通过宇宙的大尺度结构来找到意义。(P.A.R.ADE和AL.以及普朗克研究所)(2015)

举例来说,从宇宙的大尺度结构、星系的密集程度和其他很多种来源来看,我们知道宇宙物质的总量应该是临界密度的百分之三十。我们同样看到标量谱指数——一个告诉我们重力如何在小尺度和大尺度上形成束缚结构——会略微小于1.

如果膨胀率太高,你不仅仅会得到一个相比我们的宇宙而言,物质很少而临界密度很高的宇宙,你还会得到一个过于年轻的宇宙:它只经历过125亿年而不是138亿年的岁月。既然我们住在一个星系,那里拥有着被识别大于130亿年的恒星,这会制造出一个巨大的难题:这些问题无法协调一致。
宇宙膨胀得多快?这个结论也许会指向某些不可思议的东西254 / 作者:娣玲 / 帖子ID:61446

位于4140光年外的银河晕中,SDSS J102915+172927是一颗仅有太阳1/20000th的重元素的古老恒星,它应超过130亿岁:是宇宙中最老的恒星之一,甚至早于银河系之前诞生。像这样的存在的恒星提醒我们,宇宙不可能比这样的恒星年轻(ESO,数据化太空搜索2)

但是也许没有人是错的。也许早期的文物指向有关宇宙的一组真实事实:
    它有138亿岁,它大概相较于普通物质来说有70%/25%/5%/的暗能量/暗物质/普通物质,它的确看起来与在较少一端的67km/s/mpc的膨胀率是一致的。

而且也许距离阶梯同样指出了有关宇宙的一系列真相。

即使这听起来很奇怪,两组人都可能是正确的。妥协的原因来自大部分人目前不会愿意考虑的第三个原因。除了距离阶梯组错了或早期遗迹组错了,也许我们有关物理和宇宙自然法则的假设是错的。换句话说,我们也许不是正在解决这一矛盾,也许我们所见的是一条有关新物理的线索。
宇宙膨胀得多快?这个结论也许会指向某些不可思议的东西309 / 作者:娣玲 / 帖子ID:61446

一个双透镜的类星体,如图所示,是由引力透镜引起的。如果多幅延时图像能被理解,就有可能在我们讨论的类星体的基础上重建宇宙的膨胀率。目前最早的结果展示了整个四棱类星体系统,有可能我们测量宇宙膨胀率的方式,实际上展现了宇宙本质中某些全新的东西。(NASA哈勃太空望远镜,TOMMASO TREU/UCLA 和BIRRER ET AL)

有可能我们测量宇宙膨胀率的方式,实际上展现了宇宙本质中某些全新的东西。某些宇宙会随时间改变的东西,这会成为另一个这两种不同阶层的技术,可以屈服于不同的宇宙膨胀的历史结论的解释。这里包括了某些选择:
    我们宇宙的局部区域相较于平均而言,有着一些不平常的东西(目前已经不被赞成)暗能量正在随着时间做出难以预料的改变,重力的表现与我们在宇宙学角度上做出的预测不一样或者现在有一种全新的领域或力弥漫在宇宙中

有关不断进化的暗能量这一种可能,特别有趣也特别重要,因这是NASA未来在天文物理学上的旗舰任务WFIRST,它被明确地设计用来度量。
宇宙膨胀得多快?这个结论也许会指向某些不可思议的东西923 / 作者:娣玲 / 帖子ID:61446

哈勃望远镜的观察区域(左上)与WFIRST在相同深度、相同时间内能够观察到的区域相比。WFIRAT的广域视野将使我们能够捕捉到比以前更多的遥远的超新星图像,并使我们能够在以前从未探测过的宇宙尺度上对星系进行深入广泛的调查。不管它发现什么,它将带来一场科学革命。(NASA/GODDARD/WFIRST)

目前,我们声称暗能量和宇宙常数是一致的。这意味着,在宇宙膨胀的同时,暗能量的密度保持一致,而不是密度变得更低(像物质一样)暗能量也可以同时随着时间流逝而增强,或者它会改变自己的行为:在不同程度上把空间向内或向外推。

今天,在没有WFIRST的世界中,为表明对暗能量与宇宙常数保持一致,我们对此的最佳限制大概是10%的水平。有了WFIRST,我们将能测量任何偏差到1%的水平:这足以检验不断进化的暗能量是否能解决宇宙膨胀问题的争议。在我们找到答案之前,所有我们能做的就是继续完善我们的最佳测量方法,并从一整套证据中找到解决问题的线索。
宇宙膨胀得多快?这个结论也许会指向某些不可思议的东西870 / 作者:娣玲 / 帖子ID:61446

当物质(包括普通物质和暗物质)的辐射密度因宇宙由于体积增大而下降时,暗物质是空间固有的一种能量形式。当新的空间在膨胀的宇宙中诞生,暗物质的密度保持不变。如果暗能量随时间改变,我们不仅会发现有关宇宙膨胀的难题的可能的解释,还有有关存在本质的革命性的新观点。(E.SIEGEL/星系之外)

这并不是一些边缘的想法,有一些逆流而上的科学家正在过分强调数据的微小差异。如果这两种观点都是正确的,而且无人能发现其中任何一个的缺陷,这可能是我们在理解宇宙方面的下一大步的第一个线索。诺贝尔奖获得者亚当·里斯,可能是目前研究宇洲际阶梯的最著名的人物。他很好心地和我录制了一期播客,讨论这一些想法对宇宙的未来意味着什么。

作者: Ethan Siegel

FY: 栉海

如有相关内容侵权,请于三十日以内联系作者删除

转载还请取得授权,并注意保持完整性和注明出处

原文地址:今日头条  ,无意在网上看到这篇文章,深有同感。所以分享。
00_avatar_middle
您需要登录后才可以回帖 登录 | 注册会员

手机版|UFO中文网

GMT+8, 2026-5-8 13:08

Powered by Discuz! X3.5

© 2001-2026 Discuz! Team.

快速回复 返回顶部 返回列表