找回密码
注册会员
发新帖
57_avatar_small 楼主: chaom
查看: 1974| 回复: 20
online_member 发表于 2020-4-15 21:41:34
这句话挺有误导性的。
实际上,这是不同空间的数量比较。
围棋的下法,这是一个状态数量的空间。宇宙中的原子这是统计计数的空间。
这么一说,啥事都可能变得很牛逼。
比如,你做一套考卷,100道单选题,每题四个选项。
一套考卷的解空间,就有4^100种,大概1.6×10^60。
全世界人口70亿,每个人身上细胞60万亿,乘起来也就4.2×10^22,虽然离上面的数据还差点,但是装逼足够了。
你可以这么说。
「你知道我们学生有多难么,我们每做一套考卷的选择,比所有人类细胞总量都多」
心里有底后,你还可以拓展一下这些说法。
放心大胆的说,解空间的数量怎么都比统计计数空间的多。
「我真是太难了,每天光是早饭,选择数量就比世界人口总量还多」
「你有我难啊,我们文明玩家,动辄要面对比地球上所有原子数量都多的抉择」
「我们P社玩家难道就简单了么,光是罗马皇室的抉择就比全世界的沙子总数还多(雾)」
放心用,毕竟解空间是指数级的,怎么用都是不会炸的。
关于「围棋符合现规则终局的所有下法比宇宙中的原子还多」这一说法是怎么得出来的?968 / 作者:chenlei520 / 帖子ID:59665

回复 显示全部楼层 道具 举报

online_member 发表于 2020-4-15 21:41:57
看了高票答案
关于「围棋符合现规则终局的所有下法比宇宙中的原子还多」这一说法是怎么得出来的?我想说……比较更接近哪个数的时候,小孩才看差值,大人都看数量级……
所以应该认为高考答案没错。

回复 显示全部楼层 道具 举报

online_member 发表于 2020-4-15 21:42:46
这个说法有评论指出很早就有围棋相关书籍提出了,但确实火起来是因为
17年高考数学北京卷的一道题:围棋状态空间复杂度和宇宙原子总量谁多,计算它们之间的比值,这道题曾经备受争议所以当时很多自媒体在转载。
这道题答案的争议不在于说「哇原来围棋的走法居然比整个宇宙的原子总数还多吔」
而在于这题理论上的正确答案是C,参考数据给的不对,精确度少了一位,高考正确答案是D!

关于「围棋符合现规则终局的所有下法比宇宙中的原子还多」这一说法是怎么得出来的?812 / 作者:风男人1984 / 帖子ID:59665 这道题的解题步骤是
关于「围棋符合现规则终局的所有下法比宇宙中的原子还多」这一说法是怎么得出来的?246 / 作者:风男人1984 / 帖子ID:59665 但很多学霸知道lg3≈0.477…,如果将0.477代入数据,会得到M/N=10^92.24
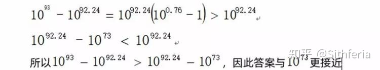
问题变成了10^92.24与答案D.10^93更接近呢,还是与答案C.10^73更接近?
第一直觉告诉我们肯定还是与D更接近。
结果让人下巴落地
关于「围棋符合现规则终局的所有下法比宇宙中的原子还多」这一说法是怎么得出来的?719 / 作者:风男人1984 / 帖子ID:59665 所以很多选了答案C的同学大叫冤枉,只是因为参考数据lg3的精确度少了一位,答案就天差地别。
不想看字的看这个李永乐老师的视频把,我看了半天答案居然没人提李永乐老师。
关于「围棋符合现规则终局的所有下法比宇宙中的原子还多」这一说法是怎么得出来的?626 / 作者:风男人1984 / 帖子ID:59665
围棋的走法和宇宙原子总量谁更多
https://www.zhihu.com/video/1150746455873667072
接下来再给题主解释下原子数到底是怎么测的

关于「围棋符合现规则终局的所有下法比宇宙中的原子还多」这一说法是怎么得出来的?552 / 作者:风男人1984 / 帖子ID:59665 关于「围棋符合现规则终局的所有下法比宇宙中的原子还多」这一说法是怎么得出来的?870 / 作者:风男人1984 / 帖子ID:59665 关于「围棋符合现规则终局的所有下法比宇宙中的原子还多」这一说法是怎么得出来的?14 / 作者:风男人1984 / 帖子ID:59665
关于「围棋符合现规则终局的所有下法比宇宙中的原子还多」这一说法是怎么得出来的?149 / 作者:风男人1984 / 帖子ID:59665 欢迎精神小伙们入驻圈子!
奇怪的知识岛 - 知乎

回复 显示全部楼层 道具 举报

online_member 发表于 2020-4-15 21:43:06
其实我们也可以说“一局英雄联盟的所有打法比宇宙中的原子还多”

回复 显示全部楼层 道具 举报

online_member 发表于 2020-4-15 21:43:42
这种对比都是耍流氓,拿状态数对比实体数,拿体积跟面积比,拿面积跟线比,拿线跟点比
要比应该这么比,把可观宇宙空间(直径930亿光年)按照普朗克尺度(10^-35)分格子,再把宇宙物质10^80个氢原子占据不同的格子(可以占据多个)问有多少种占据方法。
考虑时间,每隔普朗克时间状态变化一次,问有多少种不同的变化

回复 显示全部楼层 道具 举报

00_avatar_middle
您需要登录后才可以回帖 登录 | 注册会员

手机版|UFO中文网

GMT+8, 2025-12-17 12:29

Powered by Discuz! X3.5

© 2001-2025 Discuz! Team.

快速回复 返回顶部 返回列表