找回密码
注册会员
发新帖
75_avatar_middle

1603

积分

0

好友

38

主题
online_member 发表于 2020-3-22 19:06:18 | 查看: 383| 回复: 0
(【宇宙诞生日记】栏目内容较多,我们会以连载的方式介绍,本篇是第二期。篇幅较长,如果不能一口气看完,建议先收藏后看,感谢你阅读本文!)

“起初,神创造天地。地是空虚混沌,渊面黑暗,神的灵运行在水面上。神说:‘要有光。’于是就有了光。”

这是《圣经·创世纪》里的开篇,虽然来自于神学,但是依然可以启发科学。至少神学和科学在这一点达成了共识:光是宇宙中最重要的“元素”。
宇宙的最黑暗时代,人类认知的空白,宇宙历史的断代史158 / 作者:LANLAN88 / 帖子ID:57450

寻找最早的光

一直以来,科学家们都致力于寻找宇宙中的第一道光,那道“神创造的、最早的光”。通过哈勃望远镜,我们已经看到了133亿光年外的星系,也就是133亿年前的星系,这是我们看到的最遥远也是最早的星系。

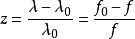
这个133亿光年的距离,是怎么来的呢?其实我们在【科学有道理】系列栏目里介绍过,今天再提一次,那就是天体的红移。简单来说,就是多普勒效应。天体传到地球的光,本质上是电磁波,由于波源在远离我们,所以波长会加长,导致光谱会偏红,这就是红移。通过红移值z(计算方法如下,其中λ是观测到的波长,λ0是原波长;f是观测到的频率,f0是原频率),可以推导出这些天体的距离。
宇宙的最黑暗时代,人类认知的空白,宇宙历史的断代史587 / 作者:LANLAN88 / 帖子ID:57450

很容易知道,z=0的时候,λ=λ0,也就是说,这个点就位于我们脚下,所以距离我们也是0,说白了就是地球,或者说太阳系(以至于银河系)。通过这个红移值,科学家计算出了那个星系的距离是133亿光年。

根据科学家现在的研究,宇宙的年龄在普朗克卫星的修正之下被认为是138.2亿年。也就是说,在这个星系之前,宇宙还经历了5.2亿年左右的岁月。

那么,我们是否可以继续发展望远镜的观测技术,继续观测到更久以前的宇宙呢?
宇宙的最黑暗时代,人类认知的空白,宇宙历史的断代史533 / 作者:LANLAN88 / 帖子ID:57450

很困难。也许能,但是会有一个极限。也就是说,到了某一个年代,无论我们用多大口径的望远镜,只要不是革命性的技术提升,就无法看到那时候的宇宙。

这个是当然的,距离越远,看起来越困难。而且,由于宇宙在膨胀,还额外增加了观测的难度,其亮度会以(1+z)^2 的规律衰减。对于哈勃太空望远镜来说,观测红移值为7的天体基本上已经到极限了。这个距离的天体,大约是宇宙诞生后5.2亿年的天体。

比较离奇的是,尽管红移值为7的宇宙,我们目前不可能观测到,但是红移值为1100的宇宙,我们还是能观测到的。别看这个红移值的区别好像很夸张,但其实时间间隔也是也还好。1100的红移值,大约是宇宙大爆炸后38万年的时候。这是由于宇宙微波背景辐射的功劳,让我们见识到了最最原始的宇宙。

所以,这个中间的宇宙阶段,也就是大爆炸后38万年到5.2亿年(也就是说z在7~1100之间)的宇宙阶段,我们什么也看不见
宇宙的最黑暗时代,人类认知的空白,宇宙历史的断代史26 / 作者:LANLAN88 / 帖子ID:57450

这个宇宙阶段,就是宇宙的黑暗时代。
宇宙黑暗时代

我们前面讲过,在宇宙刚刚形成的时候,由于温度实在太高,到处都充斥着“热锅上的光子”,它们根本安心不下来。随着宇宙的膨胀,温度不断降低,它们终于“冷静”了。重子开始结合,形成了氢原子(占了约92%),其余为氦,也有极少量的氘、锂,没有更重的元素了

当所有的原子都结合完毕,这个宇宙突然“懵”了:我的人生还有啥追求?粒子都老实了,我是不是该安度晚年了?

我们知道,原子整体是不带电的,电子安心地围绕在原子核周围。在氢原子的周围,还是氢原子、氢原子、无数的和它一毛一样(当然这个说法未必严谨,但是好理解)的氢原子。大家都很稳定,“井水不犯旁边井里的水”。
宇宙的最黑暗时代,人类认知的空白,宇宙历史的断代史758 / 作者:LANLAN88 / 帖子ID:57450

就像我们说的,原子不带电,也不发光,什么也不做,不吸收也不发射谱线。就在这样的情况下,整个宇宙归于沉寂。正是由于这个原因,我们看不到来自这段时期宇宙的任何光。别说可见光,就连红外线、微波等各种电磁辐射都检测不到。

比包大人还黑。

可能宇宙不想白过这一生,证明它不是个肤浅的宇宙。
宇宙的最黑暗时代,人类认知的空白,宇宙历史的断代史966 / 作者:LANLAN88 / 帖子ID:57450

不过,大家黑,才是真的黑。
黑暗中的微光

正所谓“是银子总会花光的,是原子总会发光”的,这些氢原子,终究还是给我们留下了蛛丝马迹。一头漆黑秀发的宇宙,终于褪去了发际线,露出了一点“光芒”……

这就要从原子结构说起了。
宇宙的最黑暗时代,人类认知的空白,宇宙历史的断代史874 / 作者:LANLAN88 / 帖子ID:57450

我们知道,氢原子的本质,就是一个电子和一个质子。质子和电子本身都在不断地旋转,叫做自旋。它们的自旋有两个方向(我们用正和反来表示),所以它们的相对状态有两种,要么同向,要么反向。

在宇宙黑暗时代,一半的氢原子是同向的质子-电子组合,另一半是反向的质子-电子组合。而这两个粒子似乎就喜欢“对着干”,前一种情况的电子在漫长的岁月里会发生翻转(实际上是一种跃迁),变成和质子自旋方向相反的状态。在这个过程中,会有能量的释放,释放出光子,这个光子的波长为21厘米,因此被称作21厘米线,又叫氢线

对于科学家来说,这是“不幸中的万幸”,让那个黑暗的时代现出了一丝光明。因为这个波长的光(虽然由于宇宙膨胀带来的多普勒效应使一部分氢线波长被拉到2米),属于微波的范围,它可以很好地进入地球的大气层,被我们检测到。
宇宙的最黑暗时代,人类认知的空白,宇宙历史的断代史805 / 作者:LANLAN88 / 帖子ID:57450

这个跃迁的概率其实极小,只有2.9×10^?15每秒,换算一下,就是平均每一个电子需要接近1100万年才能发生翻转。好在,宇宙的时间和原子数量岂是一个区区15次方就比得了的?因此,对于我们来说,依然有足够的观测对象,让我们了解那个黑暗时代。
绝佳观测地点

不过,这个氢线也不是那么容易观测的。我们首先要有足够强大的设备,虽然人类构建了大量的望远镜,但其实每一台都是利用不同的原理来观测宇宙,而为了观测宇宙的黑暗时期,我们必须要有收集微波的望远镜。其次,我们也要屏蔽地球磁场等各种因素带来的干扰,才能够清晰地看到这些谱线。

最合适的地点,大约就是月球背面了。由于背向地球,月球背面被月球巨大的身体几乎完美地保护了起来,避免了地球磁场的干扰。因此,月球背面一直是天文学家们梦寐以求的观测地。
宇宙的最黑暗时代,人类认知的空白,宇宙历史的断代史745 / 作者:LANLAN88 / 帖子ID:57450

巧了,月球背面就有一台探测器——嫦娥四号。不过,负责探索黑暗时代的不是它本身,而是它的伙伴——中继星鹊桥号

鹊桥号上搭载了两颗实验小卫星,可以收集宇宙深处的微弱信号。同时,嫦娥四号上也携带了一个接收器,与鹊桥号搭配,获得干涉效果,来观测宇宙黑暗时代。据中国科学院空间科学与应用研究中心主任吴季介绍,接下来我国还要在月球轨道部署一个“卫星编队”,全面开展对宇宙黑暗时代的探索。
宇宙的最黑暗时代,人类认知的空白,宇宙历史的断代史49 / 作者:LANLAN88 / 帖子ID:57450

除了我国之外,美国自然也是有这个决心的。很早的时候,他们就开始考虑在月球背面建立一个大型观测系统,名为是“黑暗时代月球干涉仪”( DALI)——由数十万天线构成的跨幅达48公里的巨大望远镜。不过,目前来看,这项计划还没有正式开始实施的样子。

现在我们知道,宇宙并没有一直沉寂下去。尽管在黑暗中度过了几亿年,但宇宙还是慢慢苏醒,慢慢点亮了。那么,宇宙究竟是怎么“复活”的呢?在【宇宙诞生日记】第三期的文章中,我们会为大家解答这个问题。如果你感兴趣,烦请点击一下关注,第一时间阅读下一期文章,也可以获得更多有趣的知识,感谢支持!

相关文章:「宇宙出生日记」传说中的大爆炸,宇宙的野蛮生长

原文地址:今日头条
00_avatar_middle
您需要登录后才可以回帖 登录 | 注册会员

手机版|UFO中文网

GMT+8, 2026-5-8 17:46

Powered by Discuz! X3.5

© 2001-2026 Discuz! Team.

快速回复 返回顶部 返回列表