找回密码
注册会员
发新帖
45_avatar_middle

284

积分

0

好友

16

主题
online_member 发表于 2020-3-1 21:22:57 | 查看: 1034| 回复: 10
量子力学属于力学吗?
online_member 发表于 2020-3-1 21:23:19
量子力学是力学。
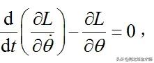
学量子力学之前,我们都要学一门很重要的课:理论力学—Classical Mechanic(也叫做分析力学。当年拉格朗日写《分析力学》这本大作时,两百多页没有一张插图,全是数学公式)。
这门课从牛顿第二定律出发,结合虚功原理和变分法,推导出一个非常重要的物理学方程:拉格朗日方程。这门课里面的内容,大都围绕这个方程进行。到了后面,还会推导另外一个重要的方程:哈密顿正则方程。

量子力学属于力学吗?839 / 作者:`ivY) / 帖子ID:56610




                          拉格朗日方程

量子力学属于力学吗?167 / 作者:`ivY) / 帖子ID:56610




                         哈密顿正则方程

量子力学属于力学吗?521 / 作者:`ivY) / 帖子ID:56610




            再送你一个哈密顿懵逼方程表情
其中,L是拉格朗日量,H是哈密顿量。L=T-V,H=T+V,T是动能,V是势能。在拉格朗日量中用位置x和速度v来做自变量;在哈密顿量中用位置x和动量p做自变量。这两个重要的量(算符)都是能量(算符)。
牛顿力学在这两套表述体系下,已经几乎成为了完全的数学,在方程中你看不到“力”的影子,但他们都是非常正宗的力学,因为F=ma和W=Fs(功等于力乘位移)是一切的根基,而在表象上,力被能量和速度这些物理量代替了。
回到量子力学。

你再看一眼薛定谔方程:

量子力学属于力学吗?166 / 作者:`ivY) / 帖子ID:56610




                           薛定谔方程
后面中括号里的就是波函数的哈密顿量!不同的是,经典力学求解质点的运动方程,量子力学求解物质波的波动方程。
量子力学虽然建立在它的几个基本假设之上,但沿用了理论力学的数学体系,而理论力学的数学体系,则是建立在牛顿力学的推导之上。所以说,量子力学不仅是正宗的力学,而且数学上很大程度地继承了经典力学的方法。
其实,英文中的Mechanic一词,在这里翻译为“机制”也很恰当,这样经典力学就是“经典机制”,量子力学就是“量子机制”,这样能避免狭隘地理解“力学”一词的含义:“力”是物质相互作用机制的形象表述。

回复 显示全部楼层 道具 举报

online_member 发表于 2020-3-1 21:23:31
感谢悟空的信任和邀请。
先抛出我的答案吧:量子力学当然属于力学范畴。

量子力学属于力学吗?26 / 作者:平衡才能持久 / 帖子ID:56610

物理学发展的阶段以1900年为时间分水岭,1900年之前是经典物理发端、发展、直至大成的阶段。这个阶段中最辉煌的就是牛顿的力学理论为代表。牛顿的力学理论的核心就是力学三大定律:
1.牛顿第一定律 内容:任何物体都保持静止或匀速直线运动的状态,直到受到其它物体的作用力迫使它改变这种状态为止。
2.牛顿第二定律 内容:物体在受到合外力的作用会产生加速度,加速度的方向和合外力的方向相同,加速度的大小正比于合外力的大小与物体的惯性质量成反比。
3.牛顿第三定律 内容:两个物体之间的作用力和反作用力,在同一条直线上,大小相等,方向相反。

量子力学属于力学吗?318 / 作者:平衡才能持久 / 帖子ID:56610

从三个定律的内容来说,经典力学就是描述物体受力和运动状态的理论。我们再来看看量子力学的基础部分几个基本假定都是什么?对应经典力学的哪个部分?
1、微观体系的状态由一个波函数完全描述,从这个波函数我们可以得出体系的所有性质。波函数应该满足连续性、有限性和单值性这三个条件。
什么是微观体系的态呢?其实说白了就是状态,微观粒子随时间和空间运动的情况。这个情况可以写成一个以空间坐标和时间坐标为变量的一个概率函数。这对应着经典物理学中的运动函数。
2、在量子力学中,力学量用厄米算符表示。量子力学的算符跟经典力学中的相应力学量相对应。
3、体系的状态波函数满足薛定谔方程。这个波动方程是个什么东西?其实就是一个运动方程,状态随空间位置和时间变化的方程。
从上面简单分析我们可以知道,量子力学其实就是研究微观粒子的运动状态、运动规律,及其跟力的相互作用关系的理论工具。

量子力学属于力学吗?951 / 作者:平衡才能持久 / 帖子ID:56610

我是郭哥论道,一个致力于科普相对论、量子力学、计算机、数学,让深奥的科学理论通俗易懂起来、让科学更有趣的科普搬运工。耐心看完的小伙伴,留个言、点个赞加个关注再走呗。

回复 显示全部楼层 道具 举报

online_member 发表于 2020-3-1 21:24:01
肯定属于呀,必须属于!当经典力学在微观层面失效时,这时就需要量子力学,量子力学是描述物质微观世界结构、运动与变化规律,结合宏观,可以说自然界所有的现象都可以用四种基本力来解释:强核力,电磁力,弱核力,引力。
量子场论为微观层面建立的量子力学模型,标准模型理论,这个就相当厉害了,可以说除了引力,所有的力它都可以给你解释,因为标准模型统一了其他三种力,就是现在还统一不了引力,要是能统一引力,那就不得了了,物理学家的终极梦想,终极理论非它莫属,大统一理论呀!

量子力学属于力学吗?866 / 作者:discuznt / 帖子ID:56610



为什么这么说呢,因为物理学家就是干着个的,怎么干的呢?他们不断的研究自然、天体现象,总结他们的规律,然后用理论去解释他们,那么你每个人给我一个自然现象出一个理论,那理论岂不多的,我都不知道要怎么找出来怎么用了,所以物理学家就想了,自然界不是这样的,他们的规律应该是简单,不复杂的,肯定有多个现象它的本质可能就一种规律,可以用一种理论解释,也可说最终我们将可以得出一个理论,找出它们最终规律,解释所有的自然现象!这就是终极梦想
于是牛顿大牛就统一了,物体运动规律的经典力学理论,麦克斯韦统一了,光现象、电现象和磁现象的电磁理论,爱因斯坦大神提出了广相,解释了引力是时空弯曲的表象,很好的解释了宇宙天体的规律

量子力学属于力学吗?367 / 作者:discuznt / 帖子ID:56610



我们平常的推力、拉力以及摩擦力还有化学反应了等都是分子间的相互作用力,这些现象的本质就是电磁力的作用,所以他们就被电磁力收了,那么当时在爱大神年代的所有现象的描述就可用引力和电磁力来描述,爱大神穷尽后半生都想统一当时的引力和电磁力,没有成功,而且后面还发现了强力和弱力,直到建立了量子力学标准模型,仿佛让人们看到了终极理论,可见标准模型理论的强大!
腾宝专注科学认知、宇宙神秘,欢迎关注!

回复 显示全部楼层 道具 举报

online_member 发表于 2020-3-1 21:24:17
望文生义,量子力学当然是力学。
任何力学,都可以概括为一门学问,即,因果学。
无论是经典力学,还是静力学、动力学,抑或是电动力学,还有热力学等等所有力学。
因为,力,根本就不是一个客观存在,力是人们为了解决疑惑而想象出来的虚拟概念,这个疑惑就是物体运动的原因。力是因,运动是果,一切力学,均不过如此。

回复 显示全部楼层 道具 举报

00_avatar_middle
您需要登录后才可以回帖 登录 | 注册会员

手机版|UFO中文网

GMT+8, 2026-4-7 15:58

Powered by Discuz! X3.5

© 2001-2026 Discuz! Team.

快速回复 返回顶部 返回列表