找回密码
注册会员
发新帖
73_avatar_middle

157

积分

0

好友

6

主题
online_member 发表于 2020-3-1 21:36:18 | 查看: 235| 回复: 0
0. 引言

2017年11月20日,我国的“悟空号“暗物质粒子探测卫星发布了疑是暗物质的信号引起了广泛的讨论。那么暗物质究竟是什么?我们如何探测暗物质?本文将结合粒子探测技术就位于四川省锦屏深地实验室的PandaX实验对暗物质探测的原理与前沿进展进行分析介绍。
本篇为 暗物质探测与PandaX实验 系列之二,主要对粒子探测原理进行介绍,在本篇中,将对带电粒子探测,切伦科夫辐射、穿越辐射探测原理进行简要介绍。
1. 暗物质探测

上一篇中我们介绍了什么是暗物质以及暗物质的主流候选者。那么,对于这些暗物质的候选者,我们通过怎样的手段去探测呢?目前探测暗物质的主要方法有三种:
1.1 加速器产生

根据爱因斯坦的质能关系: 如何探测暗物质(上)577 / 作者:侬去斯 / 帖子ID:56587 ,我们可以通过高能粒子的对撞来产生新粒子。
如何探测暗物质(上)861 / 作者:侬去斯 / 帖子ID:56587 大型强子对撞机
对撞机可通过两种实验产生新粒子:
    形成实验: 如何探测暗物质(上)703 / 作者:侬去斯 / 帖子ID:56587 生成实验: 如何探测暗物质(上)610 / 作者:侬去斯 / 帖子ID:56587
由于形成实验受能量守恒定律的严格限制,对对撞粒子 如何探测暗物质(上)911 / 作者:侬去斯 / 帖子ID:56587 的选择颇为严格,而生成实验由于 如何探测暗物质(上)696 / 作者:侬去斯 / 帖子ID:56587 粒子的出现,实验对 如何探测暗物质(上)558 / 作者:侬去斯 / 帖子ID:56587 粒子的限制大大放宽。因此,通常情况下,“寻找”采用的是生成实验;“深入研究”采用的是形成实验。
1.2 空间间接探测

宇宙射线的源头一般认为是超新星爆发,而如果暗物质存在,暗物质湮灭将会产生宇宙射线。这个时候,探测到的宇宙射线就会不同于标准模型,多出来的一部分可能来源于暗物质的湮灭或衰变。因此,对高能宇宙射线进行探测,就有可能发现关于暗物质的一些信息。
如何探测暗物质(上)756 / 作者:侬去斯 / 帖子ID:56587 “悟空”号暗物质粒子探测卫星
1.3 直接探测

空间间接探测是对暗物质粒子产生的稳定的末态粒子进行探测从而实现对暗物质粒子的寻找和研究}。顾名思义,直接探测则是通过暗物质粒子与原子核作用对暗物质进行探测。暗物质有极其微小的几率与原子核发生碰撞。通过对反冲核的探测,可以实现对暗物质的探测。
由于信号非常微弱,如果不采取措施,很容易湮没在大量本底环境中。而由于暗物质与标准模型粒子的反应截面极小,可以利用深厚的岩石作为屏蔽层,屏蔽掉其他的宇宙射线,从而得到干净的暗物质粒子。
如何探测暗物质(上)846 / 作者:侬去斯 / 帖子ID:56587 暗物质粒子直接探测
2. 带电粒子的探测

由前可知,我们要探测暗物质,最终是通过探测已知的信号来推测暗物质的信息。而这些已知的信号,或者是来自于暗物质与物质核的碰撞而产生的核的反冲,或者是来自于暗物质与物质核的反应而产生的次级粒子。因此,对末态粒子的探测,是暗物质探测实验的关键。末态粒子分为带电粒子和中性粒子,在本篇中,我们将介绍带电粒子的探测。
带电粒子与物质的相互作用主要分为电离激发轫致辐射
电离和激发本质都是带电粒子把能量交给物质原子(核外电子)。当带电粒子传递给核外电子的能量足够大,(足以使核外电子挣脱原子核的束缚)那么该电子便会被击出,该过程称为电离。而当带电粒子传递给核外电子的能量不足以使得电子挣脱原子核的束缚时,此时吸收了能量的电子会跑到一个更高的能 级,原子处于激发态。这样的过程叫做激发
所谓韧致辐射,即是指带电粒子在受到库伦场作用减速时, 将一部分动能以光子的形式发射出来。这就是韧致辐射
通过这些相互作用,我们可以探测出带电粒子的能量;在配合特定探测器(如:硅像素,MWPC)之下,还可以探测入射粒子的径迹;那么,如果还想得到粒子的质量呢?
我们知道,带电粒子在磁场中受洛伦兹力发生偏转,有:

如何探测暗物质(上)446 / 作者:侬去斯 / 帖子ID:56587   (1)

如何探测暗物质(上)171 / 作者:侬去斯 / 帖子ID:56587 (2)
可得粒子的动量。 1934年,苏联物理学家Pavel Alekseyevich Cherenkov发现,粒子在均匀介质中运动时,当其速度超过光在该介质中的速度,即 如何探测暗物质(上)638 / 作者:侬去斯 / 帖子ID:56587 时,会发出一种以短波长为主的电磁辐射。这种辐射叫做切伦科夫辐射。
如何探测暗物质(上)149 / 作者:侬去斯 / 帖子ID:56587 核反应堆中的切伦科夫辐射
利用切伦科夫辐射的特性 如何探测暗物质(上)4 / 作者:侬去斯 / 帖子ID:56587 ,可以通过切伦科夫探测器得到粒子的相对速度:

如何探测暗物质(上)845 / 作者:侬去斯 / 帖子ID:56587  (3)
由式(2)可知粒子的动量,有粒子的质量:

如何探测暗物质(上)888 / 作者:侬去斯 / 帖子ID:56587  (4)
其中 如何探测暗物质(上)972 / 作者:侬去斯 / 帖子ID:56587 为相对论因子,有: 如何探测暗物质(上)392 / 作者:侬去斯 / 帖子ID:56587 因此,用磁铁和切伦科夫探测器配合,可以得到粒子的质量。
我们知道,根据相对论,任何物质和信号的运动和传播速度都不能超过光速。即: 如何探测暗物质(上)813 / 作者:侬去斯 / 帖子ID:56587 。现考虑极端相对论情况,即:对于两个入射粒子 如何探测暗物质(上)127 / 作者:侬去斯 / 帖子ID:56587 ,有 如何探测暗物质(上)541 / 作者:侬去斯 / 帖子ID:56587
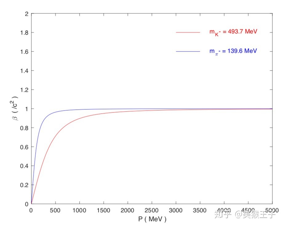
如何探测暗物质(上)514 / 作者:侬去斯 / 帖子ID:56587 利用穿越辐射鉴别粒子原理
上图展示了利用裂伦科夫辐射对 如何探测暗物质(上)850 / 作者:侬去斯 / 帖子ID:56587 介子与 如何探测暗物质(上)228 / 作者:侬去斯 / 帖子ID:56587 介子进行鉴别的例子。可见,在极端相对论情况下,即当粒子的动量足够高时,利用切伦科夫辐射已经难以有效鉴别如何探测暗物质(上)189 / 作者:侬去斯 / 帖子ID:56587 介子与 如何探测暗物质(上)589 / 作者:侬去斯 / 帖子ID:56587 介子。那么有什么办法可以做到鉴别极端相对论情况下的高能粒子呢?不妨把上图中纵坐标由 如何探测暗物质(上)171 / 作者:侬去斯 / 帖子ID:56587 转换为 如何探测暗物质(上)989 / 作者:侬去斯 / 帖子ID:56587
如何探测暗物质(上)15 / 作者:侬去斯 / 帖子ID:56587 利用穿越辐射鉴别粒子原理
如图,由于如何探测暗物质(上)105 / 作者:侬去斯 / 帖子ID:56587,以相对论因子 如何探测暗物质(上)889 / 作者:侬去斯 / 帖子ID:56587 作为探测标准将不存在切伦科夫探测 如何探测暗物质(上)70 / 作者:侬去斯 / 帖子ID:56587 上阈的情况,能够有效鉴别高动量的入射粒子。
我们知道,之所以可以通过切伦科夫辐射鉴别粒子的 如何探测暗物质(上)503 / 作者:侬去斯 / 帖子ID:56587 ,是因为切伦科夫辐射角 如何探测暗物质(上)216 / 作者:侬去斯 / 帖子ID:56587如何探测暗物质(上)222 / 作者:侬去斯 / 帖子ID:56587 存在如何探测暗物质(上)245 / 作者:侬去斯 / 帖子ID:56587的关系。那么有没有一种特性使得 如何探测暗物质(上)636 / 作者:侬去斯 / 帖子ID:56587 也与某一可直接观测的量呈简单的函数系?切伦科夫辐射是带电粒子在穿越均匀介质时产生的电磁辐射,那么对于非均匀介质情况如何呢?1947年,理论上肯定了该假设,当带电粒子穿过两个不同介质的交界面时就会发生穿越辐射。后来的实验上确认了这一点。而穿越辐射,恰好就能够解答上面提出的疑惑。穿越辐射的辐射角与粒子的洛伦兹因子 如何探测暗物质(上)152 / 作者:侬去斯 / 帖子ID:56587 成反比,即: 如何探测暗物质(上)125 / 作者:侬去斯 / 帖子ID:56587 。因此,可以直接通过测量穿越辐射的辐射角来得知粒子的洛伦兹因子。
如果再往前思考一步,或许会有疑惑:对于极端相对论粒子,非要用穿越辐射吗? 理论上,由于 如何探测暗物质(上)362 / 作者:侬去斯 / 帖子ID:56587如何探测暗物质(上)676 / 作者:侬去斯 / 帖子ID:56587 存在函数关系,而在确定的介质中, 如何探测暗物质(上)645 / 作者:侬去斯 / 帖子ID:56587 又与 如何探测暗物质(上)682 / 作者:侬去斯 / 帖子ID:56587 成反比,是可以通过切伦科夫来计算 如何探测暗物质(上)218 / 作者:侬去斯 / 帖子ID:56587 。由 如何探测暗物质(上)475 / 作者:侬去斯 / 帖子ID:56587 , 如何探测暗物质(上)385 / 作者:侬去斯 / 帖子ID:56587 易得: 如何探测暗物质(上)680 / 作者:侬去斯 / 帖子ID:56587
确实是可以的。但是这种形式显然不受物理学家所青睐。伟大的物理学总是倾向于用简洁美观的形式来描述或解释这个世界。例如牛顿第二定律: 如何探测暗物质(上)653 / 作者:侬去斯 / 帖子ID:56587 ,爱因斯坦质能方程: 如何探测暗物质(上)628 / 作者:侬去斯 / 帖子ID:56587 。漂亮,简单的几个公式,把这个世界从宏观到微观描绘得淋漓精致。这是物理学的伟大之处,也是物理学家所追求的美学。

作者:一点资讯
00_avatar_middle
您需要登录后才可以回帖 登录 | 注册会员

手机版|UFO中文网

GMT+8, 2026-5-8 20:14

Powered by Discuz! X3.5

© 2001-2026 Discuz! Team.

快速回复 返回顶部 返回列表