找回密码
注册会员
发新帖
79_avatar_small 楼主: 123456806
查看: 1051| 回复: 19
online_member 发表于 2019-11-22 22:19:32
何谓恒星?爱丁顿说:“没有比恒星更简单的东西了。”主序星靠氢-氦反应供能,近似球对称结构,物理化学性质具备各同向性,满足5个方程:质量方程、流体静力学方程、光度方程、辐射转移方程、物态方程。
黑洞,吸收足够能量以后,能不能重新变为恒星?808 / 作者:123457000 / 帖子ID:54901 何谓黑洞?“如果致密天体的质量压缩到某一半径范围内,它周围的空间就因引力而足够弯曲到任何物质和辐射都逃不出来。”(M. Schwarzschild)
这层“无法逃出”的屏蔽半径称为“Event Horizon”,即“事件视界”。我做了一个数值模拟,可以显示出视界解随度规边界条件的变化(取B=0.5):
黑洞,吸收足够能量以后,能不能重新变为恒星?119 / 作者:123457000 / 帖子ID:54901 1附近的解为事件视界
(从数学上,这是视界方程解的最大值,实际上视界不止一个,其他解被称为Cauchy horizon/cosmological horizon等,在此暂不讨论)
从技术上来说,事件视界以内的事件都无法被探测到。因此我们只能考虑这样一种情况:当物体无限接近事件视界时,会发生什么?
设无穷远处有光子入射,碰撞系数为b。当b远远大于施瓦西半径时,可以认为发生弱场引力透镜效应。在这方面的研究已经很完善了,我简单放个示意图:
黑洞,吸收足够能量以后,能不能重新变为恒星?695 / 作者:123457000 / 帖子ID:54901 弱场引力偏折下,α<2pi,也就是说光子偏转不到一圈。这个结果是通过解这个方程得到的:

黑洞,吸收足够能量以后,能不能重新变为恒星?314 / 作者:123457000 / 帖子ID:54901 当b逐渐减小时,α=Δα+2npi,光子绕黑洞旋转n圈(具体计算过程我就不写了)。当b→R_{event horizon}时,n→∞,也就是说,实际上事件视界是引力偏折角趋向于正无穷的结果。
题主应该看到了,在这个过程中,光子并没有真正“进入”黑洞内部,只是在它周围徘徊。也就是说,这部分能量并没有被黑洞“吸收”。
在这个意义上,“光没有跑出黑洞”这个表述仍然是对的,但这不等价于“被黑洞吸收”。实质上,对于那些真正“进入”事件视界的物质,我们无法得知其行为。
但我们可以根据广义相对论的基本原理得知,E=mc^2,能量可以被线性地转化为质量。对于黑洞,质量公式为(已采用自然单位制):
黑洞,吸收足够能量以后,能不能重新变为恒星?576 / 作者:123457000 / 帖子ID:54901 而该质量又与黑洞的熵(Nother核)有关:
黑洞,吸收足够能量以后,能不能重新变为恒星?583 / 作者:123457000 / 帖子ID:54901 根据brick-wall模型计算稳态和静态黑洞模型的熵,可以得到熵和视界面积成正比的结论(t' Hooft G 1985),即S=A/4。
因此,概略地说,落入黑洞的能量将被转换为质量,体现在视界面积的扩大上。
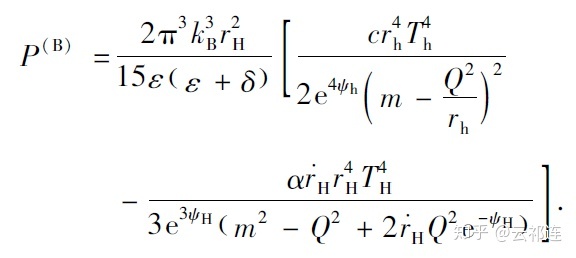
视界面积扩大是否会导致爆炸?霍金辐射广为人知,我就不赘述了。对广义球对称下的带电黑洞,标量场的辐射功率为(自然单位制):
黑洞,吸收足够能量以后,能不能重新变为恒星?617 / 作者:123457000 / 帖子ID:54901 当然这是个较简易的模型,但足够我们做一个简单的估算。
微型黑洞的典型质量在10^15g。对这样的黑洞,空间尺度仅仅10^(-15)m,但年龄尺度大概在10^10year左右,足以从宇宙之初撑到现在。
因此,从观测角度来说,我们目前很难观测这种效应。
按照霍金的说法,视界温度会随着黑洞缩小而升高。普通单位制下写为:
黑洞,吸收足够能量以后,能不能重新变为恒星?538 / 作者:123457000 / 帖子ID:54901 进行一个估算可以得出,当质量≈0.1太阳质量时,辐射产生的是高能γ光子(这是γ暴成因的主流理论之一)。即:黑洞质量以纯能形式散失。
因此在黑洞蒸发以后,并不会像普通恒星那样留下致密星核或星际尘埃。
再形成恒星就更无从谈起了。

回复 显示全部楼层 道具 举报

online_member 发表于 2019-11-22 22:20:19
本人民科,脑洞勿轻信,强答只为博君一思~
黑洞并不是事物,黑洞是时空的边界~
进入黑洞事件视界的事物已经不存在于这世上了,它们把电荷,角动量和质量这三种效应残留在了视界表面上等着被涨落抹平然后就和整个世界说永别了~
越过事件视界边缘的那一刻,这些进入黑洞的事物永远都不会再跟这个世界有任何联系了,因为和外界的任何相互作用都不能跑的比光更快,而光自己都出不去了~
如果拿平静的湖泊或河流来比喻正常的时空,河流里的鱼来比喻时空中的正常事物,那么黑洞就是悬崖瀑布~
掉下悬崖瀑布的鱼跟原来的湖泊也是永别了~而且即便这条鱼牛逼到逆着水流都能游的动(对比之下就是超光速逆时而动),它也只能在和原来的湖泊河流运动方向垂直的方向上运动,即便飞上天,它也回不到湖泊河流里了~
就酱紫~

回复 显示全部楼层 道具 举报

online_member 发表于 2019-11-22 22:20:35
熵不可逆
你吃了一盘猪肉然后拉了出来
拉出来的那东西是不能直接变成猪肉的


黑洞也一样,把恒星吃了,它只吃不拉。

回复 显示全部楼层 道具 举报

online_member 发表于 2019-11-22 22:21:19
不会变成新的恒星。
因为黑洞中的引力已经不再允许氢和氦之类的恒星主要元素的存在。

回复 显示全部楼层 道具 举报

online_member 发表于 2019-11-22 22:22:03
要明白,黑洞是恒星演化甚至是闯入物质的不归路。一旦进去就再也出不来了,直到和黑洞一起消亡。
所以能再次成为恒星,等下辈子吧,可是自然科学没有转世轮回。

回复 显示全部楼层 道具 举报

00_avatar_middle
您需要登录后才可以回帖 登录 | 注册会员

手机版|UFO中文网

GMT+8, 2025-12-16 00:34

Powered by Discuz! X3.5

© 2001-2025 Discuz! Team.

快速回复 返回顶部 返回列表