找回密码
注册会员
发新帖
92_avatar_middle

1512

积分

0

好友

31

主题
online_member 发表于 2019-9-7 20:40:42 | 查看: 452| 回复: 0
学过物理的可能知道,光子没有静止质量,按照牛顿的万有引力定律,光是不可能被黑洞吸引的。那为什么黑洞可以吸引附近的光呢?

先来认识光

光是我们认识世界的信使。光是物理学中讨论最多的对象之一,从牛顿的微粒说与惠更斯的波动说开始,关于光的本质的争论持续了上百年。之后,麦克斯韦统一了光和电,证实了光也是电磁波,电磁波也是以光速传播的。真空中的光速不仅是宇宙中最快的速度,还是物体运动速度的极限。
光有没有质量不重要,光被黑洞吸引是因为空间弯曲17 / 作者:sosoyoyo / 帖子ID:53491

20世纪初爱因斯坦提出了光量子的概念,以此为基础解释了光电效应,因此获得了诺贝尔物理学奖。后来科学家发现,光具有波粒二象性,光既可以看作粒子,又可以看作波。德布罗意发现不仅光具有波粒二象性,电子等微观粒子也具有波粒二象性,比如光会发生衍射,电子也同样会发生衍射。从波的角度来看,光就是电磁场的波动。
光有没有质量不重要,光被黑洞吸引是因为空间弯曲672 / 作者:sosoyoyo / 帖子ID:53491

上图为电子衍射照片

进入量子力学的世界后,科学家们发现光子还有一个重要的作用,就是充当电磁力(或电磁相互作用)的媒介粒子,粒子之间通过交换虚光子传递电磁相互作用。

光有没有质量?

经严格的科学实验证实,光是没有质量的,严格来说没有静止质量。自然界中除了光子,传递强力的胶子也是没有静止质量的。

不过光却拥有能量,光所携带的能量的大小与它的频率有关,频率越高,光的能量越大。即E=hv,其中h为普朗克常数,v表示光的频率。此外光的频率越高,光的粒子性就越显著。

爱因斯坦从狭义相对论中推导出的质能方程告诉我们:质量和能量是物体同一性质的两个不同度量方式,能量和质量是高度统一的,有能量的物体便具有质量,有质量的物体也拥有能量。根据质能方程E=mc^2,便可推导出光的质量为hv/c^2,光的这种质量被称之为动质量或者相对论质量。
光有没有质量不重要,光被黑洞吸引是因为空间弯曲277 / 作者:sosoyoyo / 帖子ID:53491

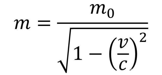
按照相对论的描述,物体的运动速度越快,其所具有的动能也就越大,相应地质量也会越大。不过,只有当物体的运动速度接近于光速时,其质量才会发生明显的改变,在低速状态下这种改变可以忽略。正是因为光子的静止质量为0,光从诞生之时就以光速运动,不需要加速。而当物体有静止质量时,运动速度达到光速,质量就会变得无穷大,显然物体的运动速度必然不能达到甚至超越光速。
光有没有质量不重要,光被黑洞吸引是因为空间弯曲357 / 作者:sosoyoyo / 帖子ID:53491

上图为相对论质增效应公式

因为光没有静止质量,只有能量,我们经常将光当做纯能量物质看待,光就是能量的载体。例如:正电子和负电子发生湮灭反应会百分百转化为能量,这里的能量其实就是光,正反电子湮灭后会转化为光子。太阳会发光发热,太阳的光和热就是通过电磁辐射的形式传到地球上的,也就是光。通常我们所说的光是指可见光,其它频段的电磁波也可以称之为光。

综上所述,我们可以认为光是有动质量的。

光为何会被黑洞吸引?

上面已经说过了,光具有动质量,那么是不是就可以利用万有引力来解释呢?

动质量这一概念确实可以解释光为什么能够被黑洞吸引,但却存在局限性。一般而言,光在真空中是沿直线传播的,当光线被黑洞吸引时便会发生偏折。经典力学也能预测到这一现象,但对偏折角的估计却并不准确。要想精确,就需要采用更完善的理论,相对论力学便是目前认为最完善的理论。

根据相对论的预测,当光线经过太阳附近时,在太阳的引力作用下,光会产生轻微的偏折,计算出的光线偏折角为1.75角秒,而根据牛顿引力理论计算出来的偏折角则为0.87角秒。在20世纪初,由爱丁顿等人领导的科学团队对此现象进行了多次测量,精确的实验结果表明:爱因斯坦是对的!
光有没有质量不重要,光被黑洞吸引是因为空间弯曲468 / 作者:sosoyoyo / 帖子ID:53491

在相对论中,爱因斯坦抛弃了牛顿的引力观点,或者说不需要引力这个概念了。爱因斯坦引入了空间弯曲的概念,认为引力的本质实际上是空间弯曲。质量越大的物体,对空间的弯曲程度也就越大。
光有没有质量不重要,光被黑洞吸引是因为空间弯曲710 / 作者:sosoyoyo / 帖子ID:53491

如图所示,空间弯曲导致的光线偏折现象

通常我们认为光是沿直线传播的,实际上光是沿空间中的测地线(两点之间最短距离)传播的。当空间被弯曲,光也就只能跟着走曲线,于是在我们看来光就被黑洞吸引了。实际上它们之间并不存在力的作用,在此基础上,光有没有动质量也就无所谓了。光线被恒星偏折时,偏折角只与恒星的质量有关,与光的动质量无关。

黑洞是一个神秘的天体,因为黑洞表面(视界面)的逃逸速度大于光速,当光闯进黑洞里面就再也出不来了,因此用传统天文观测方法是看不见黑洞的,需要用到引力波。理论猜测,黑洞中心有一个密度无限大、体积无限小的奇点。在人类还没有发现黑洞之前,科学家就从相对论中推导出了黑洞的存在,黑洞内部的空间被无限弯曲,时空曲率无限大。
光有没有质量不重要,光被黑洞吸引是因为空间弯曲848 / 作者:sosoyoyo / 帖子ID:53491

如图所示,黑洞对空间的弯曲程度极大

实际上,任何有质量的物体都能够使空间弯曲,不过只有像太阳、黑洞这样的大质量天体才能够使空间产生较大的弯曲效果,人类才能够发现光线偏折现象。在我们看来,光被这些强引力源吸引了。
光有没有质量不重要,光被黑洞吸引是因为空间弯曲682 / 作者:sosoyoyo / 帖子ID:53491

如图所示,光掉进了黑洞

结语

由此可见,不管光有没有质量,都会被黑洞吸引,因为黑洞周围的时空弯曲的很厉害,以至于连光也要走曲线。

通过这个问题,让大家认识到了相对论力学为什么比经典力学更加完善。传统的经典力学具有局限性,只适用于低速、弱引力场下的宏观运动,要想准确描述高速、强引力场下的情况,就需要相对论出马了。

热爱科学的朋友,欢迎关注我。


原文地址:今日头条
00_avatar_middle
您需要登录后才可以回帖 登录 | 注册会员

手机版|UFO中文网

GMT+8, 2026-5-9 10:16

Powered by Discuz! X3.5

© 2001-2026 Discuz! Team.

快速回复 返回顶部 返回列表