找回密码
注册会员
发新帖
20_avatar_middle

352

积分

0

好友

21

主题
online_member 发表于 2019-8-27 21:27:33 | 查看: 333| 回复: 0
在浩渺的星空,在宇宙的深处,银河的中心,到底出现了什么神秘的力量,竟然能够控制住时间?在那里,所有的星球上,时间都被这种力量严重变慢。在那里,一天的时间就相当于地球上的168年!
宇宙深处是何力量控制了时间?科学家:那里1天等于地球100年221 / 作者:sbs / 帖子ID:52416


在中国的古书《烂柯山传说》上记载一句话:“山中方一日,世上几千年。”那说的是山洞里神仙的世界。那么,银河系的深处——银河系中心,到底存在着什么力量,也把时间变慢拉长?
宇宙深处是何力量控制了时间?科学家:那里1天等于地球100年327 / 作者:sbs / 帖子ID:52416


我们知道,按照爱因斯坦相对论的说法,如果宇宙飞船以光速行进,那么时间几乎会变得静止。但是银河系的中心,星球的运行速度是不可能达到或者接近光速的。那么,这股神奇的力量到底是什么呢?
带着这个强烈的疑问,天文物理学家通过相关仪器,进行多年的观测和研究,也毫无结果。在接下来的漫长探索中,当黑洞理论提出来后,科学家才有研究的正确方向。他们最终弄明白了事实的真相。原来在银河系的中心,存在着一个巨大的黑洞,它的力量足以将银河系中心的时间严重扭曲并变慢。
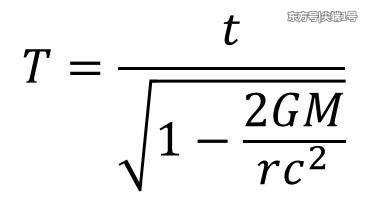
因为引力。根据爱因斯坦的广义相对论,对于处在不同引力场中的观察者而言,时间流逝速率在强引力场中变慢,所以越靠近引力强大的黑洞,时间过得就越慢。引力的本质是时空弯曲,质量越大的天体,其周围的时间和空间被弯曲得越明显,这样其时间就会过得比远离引力场的地方更慢,这就是广义相对论所说的引力时间膨胀效应。事实上,这种效应早已得到实验的证实,并且也被应用于实际情况之中。根据广义相对论,如果不考虑天体自转的影响,则远离引力场的观察者时间T与靠近引力场的观察者时间t存在如下的关系式:
宇宙深处是何力量控制了时间?科学家:那里1天等于地球100年133 / 作者:sbs / 帖子ID:52416


其中G是万有引力常数,M是天体质量,r是靠近引力场的观察者与天体中心的距离,c是真空中的光速。
通过这个公式,我们可以比较一下地球表面的时钟和远离地球的时钟快慢。把各项参数代入上式得到T≈1.000000000696t,所以如果累积一年,地球的引力会使地球表面的时钟走得比远离地球的时钟慢了0.000000000696×24×3600×365.25秒≈0.022秒。如果是引力更强的太阳,则这个时间差为66.4秒。
宇宙深处是何力量控制了时间?科学家:那里1天等于地球100年99 / 作者:sbs / 帖子ID:52416


此外,我们也可以比较一下地面时钟和卫星时钟的快慢。以GPS卫星为例,这些卫星距离地球表面大约20180千米。通过计算可知,地面时钟每天要比GPS时钟走慢45微秒。考虑到光速高达30万千米每秒,所以如果没有消除引力时间膨胀效应的影响,GPS的定位误差每天累积可达45×10^-6×300000千米=13.5千米。
黑洞本质上是一种引力场极为强大的天体,其周围的时空被强烈扭曲,并且使其表面的逃逸速度达到光速。对于远离黑洞的观察者而言,越靠近黑洞的时钟走得越慢,而到了黑洞表面,时间停止流逝。
不知道我们人类能否最终找到控制时间的方法?……
00_avatar_middle
您需要登录后才可以回帖 登录 | 注册会员

手机版|UFO中文网

GMT+8, 2026-4-7 02:37

Powered by Discuz! X3.5

© 2001-2026 Discuz! Team.

快速回复 返回顶部 返回列表