找回密码
注册会员
发新帖
05_avatar_middle

1008

积分

0

好友

97

主题
online_member 发表于 2019-8-26 19:40:46 | 查看: 582| 回复: 2
光速是多少?
中国能否可能在短期内制造出光速飞碟从而领先世界?68 / 作者:cdixeji / 帖子ID:52329

光速是每秒30万km,目前人类所能达到的最快速度都不及光速的千分之一,跟光速相比那简直就是蜗牛和火箭。以人类目前的科技水平,宇宙中超越光速运动的物体是不存在的,中国也不可能在短期中制造出光速飞船,超越光速在目前来说就是痴人做梦。

超越光速有多难?

在纽约的布鲁克海文国家实验室,科学家将电子加速到惊人的高速。

刚开始的电子行速近乎每秒1万km,接着使用大量电力,将电子射出环绕760码的圆环,行速达光速的99.999%。但将微粒子加速的30年间,从来没有电子能达到过光速。
中国能否可能在短期内制造出光速飞碟从而领先世界?462 / 作者:cdixeji / 帖子ID:52329

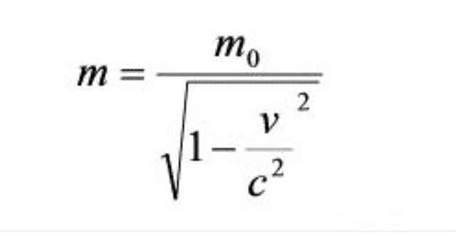
狭义相对论中的质增效应里,在地球参考系中,如果飞船速度不断提高,那么飞船的质量也会不断增加。在爱因斯坦的质能方程E=mc^中,质量越大,需要的能量也就越大。

假如一个球被抛出的时候的速度达到160千米每小时,那这个物体的质量就会多增加十万分之二微克,这颗球的体重就要比原先大得多了,如果这个球的速度还要增加,那么球的重量也会随之增加,并且不可估量 。先不要说能不能达到光速,就算无限接近光速,那个时候的飞船质量会是之前的两倍多。这样重质量,大体积的飞船需要获得动能以及引擎的装备都是之前的两倍以上了,这需要很高级的技术水平。
中国能否可能在短期内制造出光速飞碟从而领先世界?700 / 作者:cdixeji / 帖子ID:52329

爱因斯坦的相对论就已经明显不允许有静止质量物体的超光速存在,在现代物理里超光速不可超越,但是可以利用现代物理的“漏洞”来实现超光速。

现在有可能实现超光速的理论就是曲速引擎和虫洞穿越,这两种飞行都不使飞船真正达到光速或超光速,原理是通过引力场折叠空间,缩短距离。在科幻大片《星际迷航》》中的宇宙飞船用到的超光速装置“曲速引擎”就是对曲速引擎这种理论的应用。
中国能否可能在短期内制造出光速飞碟从而领先世界?302 / 作者:cdixeji / 帖子ID:52329
图为“曲速引擎”



“曲速引擎”就是令前方空间收缩而使后方空间膨胀,收缩飞船前方的空间,飞船后方空间则延伸,利用空间扭曲来推动飞船前进。我们知道空间膨胀速度没有任何限制,所以速度就超可以超越光速。曲速引擎在地球的参考系内没有任何加速度,也就不会受到爱因斯坦的相对论制约。
中国能否可能在短期内制造出光速飞碟从而领先世界?6 / 作者:cdixeji / 帖子ID:52329
图为“虫洞”



而虫洞理论上是一条通道,可以穿透时空,这是用庞大而集中的质量扭曲时空所造成的。在《爱丽丝镜中奇遇》中,你把手伸进镜子里就会出现在星系另一端。虫洞理论就是在其两端扭曲空间,制造通道,不过这需要制造极大的质量。但是质量又有引力,假如你用正常的质量,那虫洞的两端都会塌缩成黑洞,你还没穿越虫洞,就已经塌缩完了,这是
中国能否可能在短期内制造出光速飞碟从而领先世界?779 / 作者:cdixeji / 帖子ID:52329

不容易控制的。曲速引擎和虫洞没有违背爱因斯坦相对论,但只是理论还没实现。

在布鲁克海文的实验人员发现电子的行速达光速的10亿分之10到100,再把电子加速,就会变得更大,但是速度还是不会超越光速或者跟光速一样快。那连一个微小的电子,都没有办法达到光速,星舰之类的就更不可能超越光速。短期制造出就更是痴人做梦了,这个“短期”也是应该以“万年”为单位的吧!


原文地址:今日头条
online_member 发表于 2019-8-26 19:41:45
速度增加质量增加是错误的,速度增加是惯性增加,并且不是惯性越大虽要的推力越大,旅行姐一号以每秒十七公里行进,它在没有增加推力的情况下以秒速十七公里走了50年,如果保持有一克的推力会是怎样呢?这一克的推力的加速十年后就可以超光速!

回复 显示全部楼层 道具 举报

online_member 发表于 2019-8-26 19:41:56
接近光速要无限能量这说法是一个明显错误,汽车在起动时动能是要最大的,速度越快其推力反而越小,子弹出堂时的能量要最大,我们的太空探测离开地面时能量是最大的,到了太空已经仅靠惯性移动了,如在每秒十七公里基础上加相当于一克的推力,那么每秒增加一米是完全可以的,十年后每秒超过三十一万公里,但用化学然科到达一定速其喷射速度跟不上反作用力不到一克,我们要不断加速是不用考虑什么无限能量,只需要考虑高速中还能保持推力就够了!空间里充满引力,只要能利用产生一丁点推力就足以超光速!

回复 显示全部楼层 道具 举报

00_avatar_middle
您需要登录后才可以回帖 登录 | 注册会员

手机版|UFO中文网

GMT+8, 2026-4-2 04:11

Powered by Discuz! X3.5

© 2001-2026 Discuz! Team.

快速回复 返回顶部 返回列表