找回密码
注册会员
发新帖
34_avatar_middle

1092

积分

0

好友

103

主题
online_member 发表于 2019-8-19 19:56:36 | 查看: 300| 回复: 3
暗物质的组成与起源,是现代物理学中最大的谜团之一。在一项发表于《物理评论快报》(Physical Review Letters)的研究中,约翰·霍普金斯大学物理系的博士后托米·腾卡能(Tommi Tenkanen)通过一个巧妙的方程,构造出一个令人惊讶的暗物质模型:早在宇宙大爆炸之前,暗物质就已经出现了。
在宇宙大爆炸之前,暗物质已经诞生?543 / 作者:donaldjackie / 帖子ID:52083

    科学家模拟的暗物质地图(图片:Tom Abel & Ralf Kaehler/KIPAC/SLAC/AMNH)

?大爆炸之前

宇宙是由大爆炸产生的。很多人认为宇宙大爆炸发生在时间为0的时刻,其实,这是一个错误的观念。对于宇宙来说,物理上有意义的时间标度不是0,用物理方法能定出的最早的时刻是普朗克时间,也就是10-43秒。在宇宙的10-36秒,暴胀开始了。而宇宙大爆炸,则始于暴胀结束的那一刻。

宇宙大爆炸的准确含义是指宇宙的“热大爆炸”。“暴胀结束后发生了热大爆炸,这时的宇宙以辐射为主,宇宙的大小与时间的1/2次方成正比膨胀。”上海交通大学博士后张佳骏说。在10-33秒,当可观测宇宙的大小大概在1厘米左右时,暴胀结束,大爆炸拉开了帷幕。

在托米·腾卡能的论文中,他认为宇宙中的暗物质出现在暴胀之后、热大爆炸之前的这段时间内。但大爆炸开始的宇宙其实并不热,因为当时的宇宙根本没有物质,只是一片真空,真空的势能很高。而随着大爆炸的开始,真空的势能释放,转化成为物质。
在宇宙大爆炸之前,暗物质已经诞生?297 / 作者:donaldjackie / 帖子ID:52083

    根据哈勃望远镜数据绘制的暗物质地图(图片:NASA/ESA/Caltech)

暗物质是什么

宇宙中存在暗物质,这已经成为现代宇宙学的常识。暗物质占了宇宙总量的23%左右,根据公认的科学知识,暗物质不参与电磁相互作用,它不会发光,也不与光子相互作用,所以看上去很暗。暗物质有很多种可能性,但它们也有一些共同点。郑州大学物理学教授王飞说:“暗物质粒子应该是电中性粒子,而且它要么是绝对稳定的,要么它的半衰期比宇宙的年龄更长。具体暗物质粒子到底是什么,目前有很多理论模型,但还没有确定。”

暗物质的主要模型之一是所谓的“弱相互作用大质量粒子”(WIMP)模型。这种模型认为暗物质粒子参与的短程力相互作用的截面与弱相互作用接近,而且这种暗物质粒子的质量大约在100GeV到1TeV之间,属于大质量粒子。另外一种暗物质候选粒子是“轴子”(axion)。轴子非常轻,它的质量只有1μeV左右。而且它是一个标量粒子,自旋为0。

除了WIMP与轴子,暗物质还有很多其他模型,但它到底是什么一直没有定论。包括中国的“悟空号”暗物质探测卫星、四川锦屏的“熊猫计划”在内的全球暗物质探测实验,至今都没有确定暗物质粒子到底是什么。

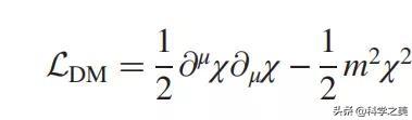
在腾卡能的论文中,他认为暗物质是一种标量场。所谓的标量场就是只有大小,没有方向的物理场。例如,温度是一个标量,而全球各地的气温就是一个标量场。而在量子物理中,产生基本粒子质量的“希格斯场”也是一个标量场。腾卡能假设的这种标量场遍布整个宇宙,如果用拉格朗日量来表示这个标量场,那么它具有如下形式:
在宇宙大爆炸之前,暗物质已经诞生?178 / 作者:donaldjackie / 帖子ID:52083

在这里,等式右侧的前半部分表示动能,后半部分表示势能。动能项中含有场对时间的导数,因此当场随着时间变化时,这部分能量就很大,容易产生暗物质粒子。而势能项中,m表示这个暗物质场的质量(注意不是暗物质粒子的质量)。这个m是一个可调的参数,在腾卡能的论文中,这个参数尤其重要。

标量场振荡产生暗物质

在宇宙早期,描述宇宙膨胀快慢的哈勃参数用H来表示。根据腾卡能论文中的解释,这个标量场随着时间的演化方程如下:
在宇宙大爆炸之前,暗物质已经诞生?480 / 作者:donaldjackie / 帖子ID:52083

这是一个2阶的常微分方程,刻画的是带有阻力的弹簧的振动方程,其中带哈勃参数H的那一项表示阻尼。如果H很大,相当于阻尼很大,这时标量场(相当于弹簧)是振荡不起来的,因此不能产生暗物质。从前面介绍的拉格朗日量可以看出,如果场随着时间变化,导数就比较大,这就好比在一个湖面上,如果有波动,就容易产生水花;但如果湖面是静止的,即使湖面的水位很高、势能很大,也不会有水花。

那么,如何才能让这个标量场振荡起来呢?答案也是显而易见的,那就是减少阻尼项。换句话说,就是减小哈勃参数H。当宇宙发生暴胀时,H基本保持不变,这时宇宙膨胀的速度非常快,而且这个速度是基本恒定的。真正的千钧一发的瞬间是暴胀结束的时候,H迅速变小。对整个弹簧振动的方程来说,这相当于阻尼可以忽略。

所以,暴胀结束时,阻尼趋向于零,标量场就好像弹簧发生简谐振动一样振荡起来,暗物质粒子也就源源不断产生出来。这些暗物质构成了现在宇宙中物质的主要部分。腾卡能的论文论证了这个简单的标量场模型可以产生暗物质,而且这些暗物质只参与引力相互作用。并且,只要调整参数m,这一过程产生的暗物质可以符合已经观测到的宇宙微波背景实验。

暗物质是现代物理学中巨大的谜团之一。暗物质可能在大爆炸之前已经存在的观点并不是腾卡能首创的,但腾卡能的创新之处在于,构造如此简单的标量场来解释暗物质。尽管人们对暗物质的起源知之甚少,但如果暗物质产生于宇宙大爆炸之前,而且可以用如此简单的“弹簧方程”来描述,这也不失为一个成功:我们至少了解了暗物质是什么时候产生的、它到底应该用什么样的物理场来描述,这无疑是很有价值的工作。暗物质不是宇宙大爆炸的遗骸,也许它是宇宙大爆炸的导火索。

文:张华

转自:环球科学/huanqiukexue


本文选自:今日头条
online_member 发表于 2019-8-19 19:56:43
暗物质场与反物质场与能量、物质与引力牵引场,构成空间,场与场分布。

回复 显示全部楼层 道具 举报

online_member 发表于 2019-8-19 19:57:12
孩子诞生前母亲不存在吗?[呲牙]

回复 显示全部楼层 道具 举报

online_member 发表于 2019-8-19 19:58:05
人类不可观测,不可接触的物质多的去了…统称暗物质!300年前还不知道有空气…[大笑][大笑][大笑],慢慢来吧…,!

回复 显示全部楼层 道具 举报

00_avatar_middle
您需要登录后才可以回帖 登录 | 注册会员

手机版|UFO中文网

GMT+8, 2026-5-9 13:23

Powered by Discuz! X3.5

© 2001-2026 Discuz! Team.

快速回复 返回顶部 返回列表