找回密码
注册会员
发新帖
34_avatar_middle

1万

积分

0

好友

1671

主题
online_member 发表于 2019-8-12 22:46:45 | 查看: 226| 回复: 0
康托尔悖论如何解决 康托无穷集合论
         
        因为一条线上有无数个点,而地球内部也有无数个点,那么一条线上的点和地球内部就是相等的,这就是康托尔悖论,在1874年,康托尔开始研究无穷大的概念,直到1897年第一次国际数学家会议上这一理论才被逐渐接受,和一起看看。


        康托尔其人

       
康托尔悖论如何解决 康托无穷集合论433 / 作者:网上的人生 / 帖子ID:51568



        康托尔出生于1845年俄国,后来在10岁的时候跟随家人迁居德国,小时候对数学就有比较浓烈的兴趣,后来在23岁的时候成功的获得了博士的学位,后续一直在不断的进行数学研究,而他创立的集合论也一直被认为是数学的基础。

        康托尔悖论

       
康托尔悖论如何解决 康托无穷集合论527 / 作者:网上的人生 / 帖子ID:51568



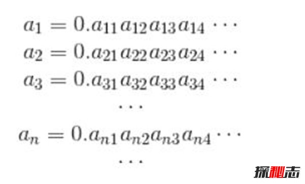
        在1874年,康托尔开始研究无穷大的概念。实际上在之前世界十大著名物理学家之一伽利略曾经考虑过无穷大的概念,但是康托尔却是第一个建立起比较完整体系的人,这是相当难得的。他认为在完整的逻辑结构中,有一个超限数的序列,这就是无穷大的级。

       
康托尔悖论如何解决 康托无穷集合论861 / 作者:网上的人生 / 帖子ID:51568



        他成功的证明了一条直线上的点可以和平面上的点意义对应,甚至也可以和空间中的点一一对应,最终一厘米长的线段中的点和地球内部的点一样多。他通过研究获得了很多比较惊人的结论。

       
康托尔悖论如何解决 康托无穷集合论974 / 作者:网上的人生 / 帖子ID:51568



        不过在当时康托尔的相当并不能被所有人接受,甚至于康托尔的老师克朗涅克尔一直在强烈的抨击康托尔的想法,甚至还阻挠康托尔的升职。

       
康托尔悖论如何解决 康托无穷集合论228 / 作者:网上的人生 / 帖子ID:51568



        当时很多人都在阻挠着康托尔的研究,甚至批判他是一个疯子,有人认为他提出的集合就是一种疾病。最终在重重压力之下,康托尔精神出现了比较严重的问题,甚至于最终被送入精神病院。

       
康托尔悖论如何解决 康托无穷集合论742 / 作者:网上的人生 / 帖子ID:51568



        后来在1897年第一次国际数学家会议上,很多知名数学家哲学家都称赞康托尔想法。但是实际上对他来说吗,没有丝毫的环节作用。最终在1918年1月6日,这位伟大的数学家在一家精神病院中去世了,享年73岁。

        结语:康托尔的一生确实是相当让人唏嘘的,不过他的人生也是相当有价值的,他提出的很多思想和理论都为现在的数学发现奠定了基础。
00_avatar_middle
您需要登录后才可以回帖 登录 | 注册会员

手机版|UFO中文网

GMT+8, 2026-4-6 21:50

Powered by Discuz! X3.5

© 2001-2026 Discuz! Team.

快速回复 返回顶部 返回列表