找回密码
注册会员
发新帖
53_avatar_small 楼主: lzwdj
查看: 1422| 回复: 20
online_member 发表于 2019-7-29 10:27:35
一个学说只有具备可证伪性才应该被肯定。

题主你这观点不具有可证伪性,所以可说毫无意义。比如,我说太阳上温度太高,你说有的生物就生活在那么高的温度下,我说太阳一直发生核聚变,你说也许那种生命的存在形式超出了我们的想象。总而言之,这和我们永远没法证明上帝不存在是一回事。
有个很著名的例子,卡尔萨根的龙,题主可以看看。
“我的车库里有一条喷火的龙!” 有一天卡尔萨根和朋友这样声称。“太稀罕了!”朋友连忙跑到他车库中,但没有看见龙,“龙在哪里?”朋友着急的问。
“哦,”萨根说,“我忘了说明,这是一条隐身的龙。”
朋友有些狐疑,不过他建议,可以撒一些粉末在地上,看看龙的爪印是不是会出现。
萨根听后声称这个法子行不通,因为这龙是飘在空中的。
“那么,既然这条龙在喷火,我们用红外线检测仪做一个热扫描?”朋友并没有灰心。
“也不行。”萨根平静地回复,“隐形的火也没有温度。”
“要么对这条龙喷漆让它现形?”,朋友有点沉不住气了。
“不行不行,这条龙是非物质的,滑不溜手,油漆无处可粘。”萨根淡然的说。
朋友不说话了,认定萨根实在耍自己。
看到朋友生气的样子,萨根反问道:“这样一条看不见摸不着,没有实体的,飘在空中喷着没有热度的火的龙,一条任何仪器都无法探测的龙,和‘根本没有龙’之间又有什么差别呢?”

回复 显示全部楼层 道具 举报

online_member 发表于 2019-7-29 10:28:06
所以你先要对生物进行良好的定义,目前我们还没有一个非常明确的对生物的定义。

那么从目前我们定义为生物的东西来看,这些东西都不能够在离太阳足够近的地方保持生物活性

回复 显示全部楼层 道具 举报

online_member 发表于 2019-7-29 10:28:52
半夜被打孩子的声音吵醒,闹心。上来吐槽。。。
最近经常看到这类问题了,好像都在给自己挖坑转圈圈?
诸如”中国古代怎么怎么样,中国人怎么怎么样“的也不少。
但感觉这类问题犯了一个共同的错误:问题本身定义缺失!
首先,这不是一个针对日常的事物的一个辩论,日常的事物,大家都有共同的认知,所以可以忽略这个定义的过程。但如果是要在一个本身比较模糊的概念上做辩论,麻烦先把问题定义清楚。
楼主这个问题,我只能说,你丫要能把生命这个概念准确清晰的说出来,我就敢确切的回答你有还是没有。否则都是瞎扯淡。

我想楼主的本意,可能是想说会不会有超乎我们认知的生命形式之类的话,但就像楼上一些人说的,对未知的东西进行再深入的分析,都是瞎扯。
就如同一个人对院子里的事情都没弄清楚,就要猜测天上的事情,除了可以得出类似天国之类的”地上最好的宫殿的加强版“之类的内容之外,有什么意义?你把南天门上的花纹画出花来,你把伊甸园的地图精确到毫米都是个屁。

楼主的思想咋一看应该是挺新颖的,但说来真也不太稀奇。很多人都会有类似的困惑,可以说自古以来就有之。甚至可以追溯到诸子百家甚至更久之前。
你看过庄子吧,庄子的特点就是各种比喻暗喻,用心研究过庄子的,大概都能领回那么一点道理,鲲鹏的比喻,不就是人外有人天外有天的意思么。
先来点小比喻说夏虫不语冰之类的小比喻,告诉你说认知障碍的普遍存在,你懂得冰是因为你经历了冬天,你是2,夏虫没经历过冬天,他是1.  2和1是没法交流冰的。
然后推而广之,来个人类才几十年,彭祖寿800,显而易见,你是2,彭祖是三。。然后又来一棵树,好像是寿八千来着,和彭祖比就是4级和3级的比较。道理讲的差不多了,就给你扩展性的说小麻雀和鲲鹏这个1比100的差距,告诉你你就是个逗*,世界永远有你无法理解的存在。所以看开吧,能逍遥且逍遥。。。

这个论点有错吗?没错,一点没错!
但问题在于,这是纯哲学的辩论!不要和科学上的逻辑辩论混在一起
科学上的逻辑辩论需要什么,需要严谨! 回忆你高中做的证明题吧,一环扣一环,一个假设套一个假设,少一个都不行。这才是科学。
中国古代之所以长达几千年没太大进展,就是被哲学绕的太深。然后又出了一个顺民管理哲学,之后就压根不用发展了。
说起来,我觉得特别逗的事情是,中国诸子百家,表面上管理国民的是儒家,其实却是法家。影响国民思维最深的看起来应该是道家,可最需要的却是严谨的墨家。历史给我们开了一个大大的玩笑。一开就是几千年,近百代人的一生。。哎,可悲可泣。

再补充一下,我这么说,不是贬低哲学捧所谓的”科学“。其实我是哲学爱好者来着。我想说的是,哲学就如同那指月之手,逻辑科学则是那艘奔月飞船。指月之手其实是先决条件,但这是个开始,是中央的命令。逻辑科学才是能把哲学变成现实的基层工作。
就像那句话所说的:人类文明是从什么时候开始的?必然是从那第一只仰望星空的猴子第一次抬头的时候开始的!


好吧,言归正传,吐槽完毕。伪天文爱好者再对楼主的问题做个人分析:
1、如果,楼主的生命的概念还是物质形式的。也就是说,生命的定义,一定要有个身体,只是形式不同而已(管它是硅基还是碳基还是点基还是搞基),那我真认为太阳上是没生命的。因为在现有的观察结果下,太阳上的高温变化已经超越了原子的层次。而目前来看,物质生命最大的基础就是需要有能够记忆信息(尤其是遗传信息和思维)的复杂的大分子。比如碳基下的蛋白质和DNA。他们虽然组成元素相同,但由于其独特的组合方式,能够承载极其海量的信息,使生命有了可存在的基础:可遗传性!或者说可复制性!也就是说,生命应当有把外界复杂而混乱的基本元素根据自己承载的信息重新组合,变成和自己类似存在的能力。(当然,你丫一定要说有个上帝在太阳里出生就是没屁眼不会生儿子然后偷偷死了我争不过你)
2、如果,楼主的生命概念已经超越了物质(类似黑客帝国,灵魂,大宇宙信息理论或者什么类似的存在),那我只能说,我们其实是在讨论那只该死的猫!那只很多人恨不得去掐死的猫。
这种讨论真的就成了一群夏虫在语冰了。完全超出了现有一切认知体系的范畴,这种辩论是没有任何意义也不会有任何结果的。纯属蛋疼,鉴定完毕。

回复 显示全部楼层 道具 举报

online_member 发表于 2019-7-29 10:29:42
可参考此文逻辑:

《在太阳上挖煤的可行性报告》

随着我们伟大祖国建设的飞速发展,能源问题日益突出,要发展,我们就要开发新的能量来源,在此,我郑重提出:向太阳进军!向太阳要能源!在太阳上挖煤!

本报告分三个部分:

第一部分:论太阳上有没有煤
一 些资产阶级学者认为,组成太阳的主要元素是氢和氦,这简直是不明物理,乱说一通。我们随便找来一个充满氢气的气球,用火点燃它,气球确实会剧烈燃烧,但它 持续的时间非常短暂,如果太阳是由氢和氦组成,氦气不会燃烧,而氢气在太阳上即使贮量再多,太阳燃烧 的时间也决不会很长。 太阳也不会是由液体燃料组成。如果是液体,众所周知,液体具有流动性,那么这些组成太阳的液体会流满整个天空,我们看到的就不会是太阳这个火球燃烧,而是 整个天空都在燃烧了。 所以组成太阳的既不会是气体,也不会是液体,而只能是固体。固体能燃烧的,有木柴和煤,然而前者燃烧时会发烟,但我们谁曾看见太阳冒着浓烟从天空掠过呢? 所以组成太阳的主要物质只能是煤,而且是优质的无烟煤。

第二部分:论能不能挖太阳上的煤
资产阶级学者还鼓吹:“没有太阳,地球上就不会 有风雪雨露,也不会有草木鸟兽。”甚至还说:“没有太阳,就没有我们这个美丽可爱的世界。”太阳的作用真的这样重要吗?太阳就真的如老虎屁股,一点儿也不能动吗?实践是检验真理的唯一标准!生活常识告诉我们:太阳,它只是在充满温暖和光明的白天发光,而在寒冷、黑暗、最需要光和热的时候,太阳,却不知躲到 哪里去了!从这个意义上讲,太阳的作用甚至远远不及在黑夜里发微光的月亮。这些资产阶级的所谓学者抛出这种耸人听闻的太阳至上的论调其实别有用心,其目的 在于阻挠别人对太阳上能源的开发利用。但他们忘记了任何伪科学的东西都是经不起推敲的,唯心的反动鼓吹其结果只能是在真理的厚墙上撞得头破血流。

第三部分:论如何在太阳上挖煤
我 们都知道,太阳无时无刻不在燃烧,那么怎样才能在太阳上挖煤呢?要回答这个问题,笔者想先讲一讲自己年轻时的经历。那时笔者身在东北,三月植树节时响应号 召植树造林。三月的北疆,土地尚未化冻,一镐抡下去,只能砸出一个白点。但困难吓不倒我们,我们砍倒大树生起了一堆堆篝火,让火把土地烤暖后移开它再挖。 就这样边烧边挖,边挖边烧,终于胜利完成了光荣而艰巨的植树任务。 今天我们要在太阳上挖煤,就可以用到这个在激情燃烧的岁月中积累的宝贵经验。太阳上虽然燃烧着熊熊大火,但火不是可以用水来灭的么?难能可贵的是离太阳最 近的一颗行星就是水星,水星水星,顾名思义,就是一颗充满了水的行星,那上面烟波浩淼,水资源可谓取之不尽,用之不竭。我们完全可以取水星之水局部地灭太 阳之火,然后在已灭火的太阳局部表面上迅速地挖煤。就这样边挖煤边灭火,边灭火边挖煤。 虽然水星上水资源丰富,但本着节约的原则,我建议最好是利用早晨和黄昏这两个时间段搞生产。因为在这两个时间段里,太阳的温度不是很高,火势不是很猛,这 时生产作业不但可以节约水资源,而且还提高了安全系数。并且在这两个时间段里,太阳离地表最近,也便于煤的运输,如果在正午生产,大大增加了水资源的消耗 和提高了运输成本不说,如果煤块从高空跌落,还容易造成劳动人民生命财产的损失。

结语:不怕做不到,只怕想不到,只要我们解放思想,开动脑筋,一切东西都可以拿来为社会主义建设服务。正所谓:中华儿女多奇志,敢叫太阳变煤田。

回复 显示全部楼层 道具 举报

online_member 发表于 2019-7-29 10:30:13
本文的初衷是(基于自己的知识体系)对程嵩答案中生命和负熵流的模型进行补正和讨论,给出了我认可的已知范围中一种对生命体的定义和描述,不否认其他形式生命体存在的可能。正如当初麦克斯韦提出麦克斯韦妖假想,欢迎大家提出自己的定义和描述。

评论区有个很好的问题,“对生命的定义是否应该再加一条:能自我复制或者繁衍?”。答案是不需要,自然界确实存在不能繁殖(Non-reproductive)的生命体——芽孢(Endospore),正好是我的研究课题之一。

因为篇幅和精力问题,许多概念的定义和细节都没有展开,无生命自组织结构和耗散结构的理解见评论回复。

=====================================================================

才疏学浅,欢迎打脸。
感谢程嵩的回答,帮我整理了之前的一些思路。

【1】生命是什么
能够在无序环境中自主地维持自身有序状态的一个系统呗。
低熵体。
补充一个概念,物理学家普里高津定义并论证了耗散结构:远离平衡状态的开放系统,借助外界能量流、质量流和信息流维持自身在时间、空间或功能上有序化的结构。在此基础上兴起的自组织理论把在一定条件下,自发地由无序发展为有序的系统称为自组织。
生命体是典型的自组织耗散结构,但其逆命题不成立,即不能以耗散结构和自组织定义生命。

举几个非生命界的自组织结构。
    雪花的空间有序结构无须赘言。 贝纳德对流:从底部加热圆盘中的静止薄层流体,当其底部温度T1和上层温度T2之差△T大于临界值△Tc时,会产生有序对流并观察到蜂窝状的六边形格子(Benard cell)。这是一种宏观空间有序结构 有什么证据可以证明太阳上有碳基生命或硅基生命的存在或是能说明不可能存在?299 / 作者:denUycof / 帖子ID:50531

  • 化学上赫赫有名的B-Z反应(Belousov–Zhabotinskyreaction)B-Z反应,反应溶液出现周期性的颜色交替和类似波的干涉现象,这是一种相对复杂的时间-空间有序结构
有什么证据可以证明太阳上有碳基生命或硅基生命的存在或是能说明不可能存在?286 / 作者:denUycof / 帖子ID:50531
图片来源:Predicting complex biology with simple chemistry

由此可见,不是所有的自组织耗散结构都是生命体。个人比较认可的区分生命和非生命的关键是autopoiesis,其判断标准如下:
    满足自组织耗散结构定义。自我维持和自我修复。自主产生明确的物理/化学边界,微观如细胞膜,宏观如皮肤。
而贝纳德对流和B-Z反应既没有自我修复能力,也没有明确的物理/化学边界。

早在1944年,虐猫物理学家薛定谔出版了what is life(生命是什么)并明确指出“生命以负熵为生”——新陈代谢的本质即生物通过与外界的物质和能量交换消除自身生命活动带来的无可避免的熵增。
Whatan organism feeds upon is negative entropy. Or, to put it less paradoxically,the essential thing in metabolism is that the organism succeeds in freeingitself from all the entropy it can not help producing while alive.
值得一提的是,此书中薛定谔不仅尝试用热力学和量子力学阐释生命,还大胆预测了遗传物质的高度序列化和组合多样性,而DNA的双螺旋结构和遗传“中心法则”在十年后才相继被发现。


【2】熵是什么
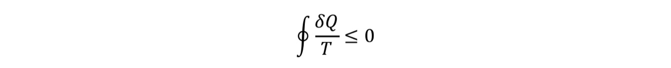
探讨负熵之前先看看熵的概念,1850年物理学家克劳修斯将热力学第二定律表述为不可能把热量从低温物体传递到高温物体而不引起其他变化[Clausius statement]。

随后给出了该定律的数学表达式——克劳修斯定理 [Clausius theorem]:
有什么证据可以证明太阳上有碳基生命或硅基生命的存在或是能说明不可能存在?550 / 作者:denUycof / 帖子ID:50531
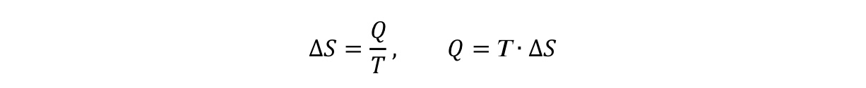
并定义可逆过程中微分等于δQ/T的状态函数为熵,即dSQ/T。由卡诺热机效率推算得到如下形式:
有什么证据可以证明太阳上有碳基生命或硅基生命的存在或是能说明不可能存在?527 / 作者:denUycof / 帖子ID:50531
有什么证据可以证明太阳上有碳基生命或硅基生命的存在或是能说明不可能存在?206 / 作者:denUycof / 帖子ID:50531

在孤立体系(绝热,Q=0)中,由于不等式右侧分子项为0,则一定满足△S≥0,也就是我们熟悉的熵增原理:孤立系统里任何自发过程(不可逆)都会引起熵的增加,直至实现热力学平衡状态,熵达到极大值,该体系丧失了做功的能力。

以上是热力学中熵的定义,热力学只关注宏观状态改变而不考虑体系的微观模型。此后,物理学家玻尔兹曼给出了微观层面熵的统计学定义——熵与系统表现出特定热力学性质时可能的微观构型数量相关。定义式如下: 有什么证据可以证明太阳上有碳基生命或硅基生命的存在或是能说明不可能存在?187 / 作者:denUycof / 帖子ID:50531

其中Ω表示微观构型数量,混乱系统对应的微观构型是远远多于有序系统的,因而混乱系统熵值更高,出现概率也更大。自发的熵增过程可以理解成系统由小概率的状态向大概率状态演变,即热力学第二定律的统计力学表述:孤立系统的自发过程总是从热力学概率小的宏观状态向热力学概率大的宏观状态转变。

热力学中,熵是描述过程不可逆性(能量退化)的量度,熵越大对应体系越接近热力学平衡,对外做功能力越小;而统计力学中,熵是体系混乱度和无序度的量度,熵越大对应可能的微观状态越多,表现为更混乱的宏观表象。


【3】维持生命的负熵
孤立体系逃不过熵增的命运,但生物作为耗散结构(开放体系)可以通过与外界交换物质、能源、信息获取负熵流从而拮抗自身的熵增。普里高津就论述过这个过程,他定义开放系统的总熵变dS=diS+deS
    其中diS对应体系内部不可逆过程带来的熵增,孤立系统满足dS=diS≥0
    deS则是与外界交流引起的熵变,可正可负:deS<0代表负熵流, deS>0代表正熵流。
    当deS<0,且|deS|>diS时,该开放系统的熵就减小了,无序度也相应降低。若该系统是生命体,熵减的趋势则有助于发展、维持、修复自身的自组织结构。
值得注意的是,熵(entropy, S)是主体固有的广延性质(extensive property,是一个状态量而非过程量。我们一般探讨的是指定体系熵的变化量△S而非其绝对值,因而建议表述熵变时使用熵增/输入正熵(△S>0)和熵减/输入负熵(△S<0)的说法。

根据热力学第二定律,开放体系的熵减小势必以外界环境更显著的熵增为代价。把地球看做一个整体(黑箱),它的负熵流来自与太阳和外太空的能量交换(电磁辐射)。在黑箱内部,动物赖以存活的负熵流则直接来自地球。


下图是NASA通过卫星测量的10年间太阳-地球-太空辐射流的大致数据,单位是 W/m。
有什么证据可以证明太阳上有碳基生命或硅基生命的存在或是能说明不可能存在?897 / 作者:denUycof / 帖子ID:50531
图片来源:Earth's Energy Budget Poster : Home
有什么证据可以证明太阳上有碳基生命或硅基生命的存在或是能说明不可能存在?880 / 作者:denUycof / 帖子ID:50531

由此可见,以电磁辐射的方式流入与流出地球的能量几乎相等,净吸收仅为0.6 W/m(植物通过光合作用将辐射能转化为化学能储存于自身有机物中),远小于等式中其他各项,因而地球可近视为能量收支平衡的体系。

但这里程嵩的描述让我有些摸不着头脑。
学过热力学的同学应该知道:熵乘上温度可就是能量了。
S与热力学温度T的乘积变量TS的确具有能量量纲,在等温等压过程中吉布斯自由能的定义式G=H-TS和亥姆霍兹自由能F=U-TS中都出现过此项,但它并不具有能量的物理意义。倒是由热力学第二定律可以推导出在恒温、可逆反应中,体系获得的热量等于熵变△S乘以温度T。虽然△SS的量纲相同,但两者决不可一概而论。 有什么证据可以证明太阳上有碳基生命或硅基生命的存在或是能说明不可能存在?970 / 作者:denUycof / 帖子ID:50531
事实上克劳修斯通过热力学第二定律定义的熵在推演上有一定局限性,难以用来分析地球体系中形形色色的熵变过程。因为熵变的途径不仅限于热量的转化与传递,还有其他能量形式间的转化及物质同化异化等方式,例如辐射能转化为化学能(光合作用)。

换一种角度看,电磁辐射的载体是光量子,而光量子是具有熵(状态量)的。如果把外来的光子看做带来体系广延量增加的粒子,可以人为定义该粒子的等效温度Te和等效熵Se,使两者乘积等于光子的能量:有什么证据可以证明太阳上有碳基生命或硅基生命的存在或是能说明不可能存在?830 / 作者:denUycof / 帖子ID:50531h是普朗克常数),但这里的等效熵Se和克劳修斯熵已经不同了(不知道这种推测是否贴近原作者的表述,请多指正)。实际上“熵”对应的概念非常广阔,答案里所用“熵”主要指代经典热力学熵,而不考虑信息熵等广义概念。

绕了这么远,回到地球的负熵来源问题上来。用最简化的近似模型来解释,流入的辐射能和熵是以波长短频率高的可见光为载体,流出的辐射能和熵以波长更长频率低的红外辐射为载体,频率更高的辐射粒子单位能量对应的熵值更低,因而地球吸收太阳辐射获得的熵增小于自身红外辐射造成的熵减,实现了能量平衡和负熵流。

(怎么看都只是复述了程嵩的回答(`),因为具体展开例如黑体辐射/波粒二象性/斯特藩-玻尔兹曼/普朗克辐射相关/简并能级/空间辐射密度/熵密度等,和体系内部的相变/潜热/热流体/传递/自由能/势能/分子热运动啥的我实在是没精力编下去了……)

趣闻

    克劳修斯把热力学第二定律熵增论推广到整个宇宙,提出了让大家苦笑不得的“山(宇)河(宙)永(热)寂论”,很有意思,在此不表。中二的麦克斯韦为了反驳热寂论假想出通能智能控制分子运动使熵减小的精灵,将其命名为finite being(限定的存在),萌萌的开尔文勋爵(确立了开氏温标)在Nature上发文章公开称之为demon(恶魔/妖),麦克斯韦妖Maxwell's demon就此流传于世。发现DNA双螺旋结构的克里克原本是物理学家,看了薛定谔的《what is life》之后决定转行研究生物。据说沃森对基因的兴趣也源自这本书,最后两人同获诺贝尔奖。普利高津靠耗散结构理论、薛定谔靠薛定谔方程、普朗克靠量子理论都拿了诺贝尔奖。克劳修斯、麦克斯韦和玻尔兹曼都没得过诺奖,因为他们过世得太早……

参考
    Autopoiesis的判据和Benard Cell图片来自 Alder Stone & Ermah Ge。
    其他内容和理解来自大学《物理化学》、《热力学》、《传递过程原理》、《仪器分析》、《大学物理》等课程和个人兴趣掌握范畴。
    答案中出现△、δ、d的区别,推荐答案Δ 、d、δ 都可以表示变化量,如何区分它们? - 算子的回答。
    如果对熵和物理化学感兴趣,推荐麻省理工学院公开课:热力学与动力学,相对浅显易懂。想挑战hard模式,请自行搜索恩师朱文涛物化相关资料……

回复 显示全部楼层 道具 举报

00_avatar_middle
您需要登录后才可以回帖 登录 | 注册会员

手机版|UFO中文网

GMT+8, 2025-12-20 17:32

Powered by Discuz! X3.5

© 2001-2025 Discuz! Team.

快速回复 返回顶部 返回列表