找回密码
注册会员
发新帖
70_avatar_middle

收听

听众

主题
online_member 发表于 2019-7-23 21:34:41 | 查看: 641| 回复: 11
史上最具争议的高考数学题:围棋走法和宇宙原子总量谁多?423 / 作者:ADUPREce / 帖子ID:50387


围棋走法比
宇宙原子总量要多


高考结束了,成绩也出来了,录取结果也都知道了,超模君依然会劝你好好学数学,因为选择再战的话你数学要好成绩,上岸了的话也逃不了高数的魔爪。
每年的高考题都玩出一些新花样,今年的高考数学题也不例外,一道维纳斯身高的题目引起了热议,但其实很简单。

史上最具争议的高考数学题:围棋走法和宇宙原子总量谁多?807 / 作者:ADUPREce / 帖子ID:50387


超模君倒是想起了17年北京卷的一道备受争议的数学题:围棋走法和宇宙原子总量谁多,计算它们之间的比值,这道让学霸左右两难,学渣一脸懵的这题让人印象深刻!

围棋走法比宇宙原子总量多


很多人的第一反应会是:What?宇宙无边无际,你跟我说围棋的走法比宇宙的原子总量还多?

史上最具争议的高考数学题:围棋走法和宇宙原子总量谁多?39 / 作者:ADUPREce / 帖子ID:50387


别急,我们先看看17年北京卷的那道数学题:

史上最具争议的高考数学题:围棋走法和宇宙原子总量谁多?890 / 作者:ADUPREce / 帖子ID:50387


这是一道很有趣的题,我们先弄清楚题干中围棋的复杂度和宇宙原子总数是怎么计算的,其实都很简单,几分钟的事情。
围棋复杂度计算:
围棋有一个19×19的棋盘,一共361个落子点。每个落子点都可以落白子、黑子和空白三种可能,因此最终棋盘的落子情况有3361种可能。实际上由于下棋还有顺序,复杂度可能比这个数字还要大。

史上最具争议的高考数学题:围棋走法和宇宙原子总量谁多?675 / 作者:ADUPREce / 帖子ID:50387




宇宙原子总量的计算就稍微复杂一点:

史上最具争议的高考数学题:围棋走法和宇宙原子总量谁多?439 / 作者:ADUPREce / 帖子ID:50387





史上最具争议的高考数学题:围棋走法和宇宙原子总量谁多?946 / 作者:ADUPREce / 帖子ID:50387





史上最具争议的高考数学题:围棋走法和宇宙原子总量谁多?501 / 作者:ADUPREce / 帖子ID:50387


好了,我们回到这道高考的题。
思维定势会让我们认为,肯定宇宙原子总量多呀,毕竟在大家的印象里宇宙很大,而棋盘就那么大,能有多少走法?
这道高考题的题目中给出了lg3≈0.48,这就暗示了这道题是考察对数的知识点。

史上最具争议的高考数学题:围棋走法和宇宙原子总量谁多?176 / 作者:ADUPREce / 帖子ID:50387


对数是非常重要的数学工具。著名的科学家伽利略说过:给我时间、空间和对数,我可以创造一个世界。可见对数多强大。
它的定义是:若ab=N, 则b=logaN,其中a称为底数,N称为真数,b称为对数。
例如2?=4,那么2=log2^4.我们称以2为底,4的对数是2。以10为底的对数称为常用对数,用lg表示,例如lg10^3=3。
该题解题步骤为:

史上最具争议的高考数学题:围棋走法和宇宙原子总量谁多?195 / 作者:ADUPREce / 帖子ID:50387


然而事情没这么简单。

史上最具争议的高考数学题:围棋走法和宇宙原子总量谁多?890 / 作者:ADUPREce / 帖子ID:50387


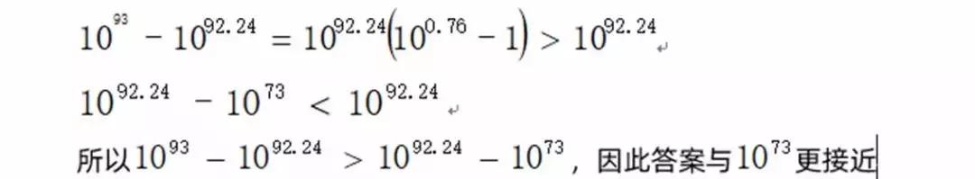
题目给的lg3的取值有争议,因为lg3≈0.477…,若将0.477代入数据,会得到M/N=10^92.24,现在问题变成了10^92.24与答案D.10^93更接近呢,还是与答案C.10^73更接近?
第一直觉告诉我们,肯定是与D更接近。
通过计算:

史上最具争议的高考数学题:围棋走法和宇宙原子总量谁多?572 / 作者:ADUPREce / 帖子ID:50387


结果让人大跌眼镜,如果不是真真切切的数学计算,直觉就欺骗了我们,10^92.24居然是与答案C.10^73更接近!
从这道高考题,我们也知道了一个知识:围棋走法的复杂度远远大于宇宙的原子总数!
类似这种常常我们自认为是对的,数学知识常常会打我们脸。

史上最具争议的高考数学题:围棋走法和宇宙原子总量谁多?620 / 作者:ADUPREce / 帖子ID:50387



数学刷新认知


我们的生活中就常常有这种例子,数学疯狂打脸,刷新认知。
一小学数学老师布置作业,让学生抛硬币200次,记录它们的正反面,第二天以书面的形式交给老师检查,很多同学偷懒故意制造“随机性”,但是老师看一眼就知道哪个同学是认真记录,哪个是自己胡乱编的。
因为随机丢200次硬币,连续出现6次连续为相同一面的概率,可通过计算得到高达99.8%,抛200次硬币出现6次连续为相同一面的事件极大可能发生。
简单讲一下概率的计算:

史上最具争议的高考数学题:围棋走法和宇宙原子总量谁多?106 / 作者:ADUPREce / 帖子ID:50387


如果没有数学概率论的计算,谁又能想到连续出现6次连续为相同一面的概率这么高呢?
再比如说,现在有直径为10^-10m的原子、直径为5cm的网球,和直接为12cm梨。问网球和原子的直径差距大,还是和梨的直径差距大?

史上最具争议的高考数学题:围棋走法和宇宙原子总量谁多?740 / 作者:ADUPREce / 帖子ID:50387


很多人会认为,网球和梨相差两倍多,但是和原子却差了几亿倍,肯定是和原子差距大。
答案是错的,因为比大小是作差,不是作比,网球和梨的差距为7cm,和原子的差距不到5cm。
相似的例子不胜枚举。所以凭经验去判断一个数学问题,往往会出错。
直觉会骗你,但是数学不会骗你!所以还是好好学数学吧!


本文选自:今日头条
online_member 发表于 2019-7-23 21:35:35
很多人的第一反应会是:What?宇宙无边无际,你跟我说围棋的走法比宇宙的原子总量还多? 但这些人随后就会选择围棋,并通过这个问题得到了一个科普。

回复 显示全部楼层 道具 举报

online_member 发表于 2019-7-23 21:35:54
3的361次方是穷举所有可能结果,怎么会因为走子顺序变更复杂呢?

回复 显示全部楼层 道具 举报

online_member 发表于 2019-7-23 21:36:53
我有一半的几率会答对的

回复 显示全部楼层 道具 举报

online_member 发表于 2019-7-23 21:37:32
圆周率小数位数多还是宇宙原子数多?[捂脸]

回复 显示全部楼层 道具 举报

00_avatar_middle
您需要登录后才可以回帖 登录 | 注册会员

手机版|UFO中文网

GMT+8, 2026-2-7 00:53

Powered by Discuz! X3.5

© 2001-2025 Discuz! Team.

快速回复 返回顶部 返回列表