找回密码
注册会员
发新帖
99_avatar_middle

1044

积分

0

好友

97

主题
online_member 发表于 2019-7-23 21:37:27 | 查看: 495| 回复: 0
我们都不知道黑洞视界内是一个什么样的世界,连光都能吞没的黑洞内部是难以想象的!下文仅仅根据已知的规律做个简单的推测,欢迎各位探讨!

一、什么是黑洞的视界

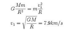
任何天体都有一个环绕速度和逃逸速度,比如地球这样的天体,地表环绕速度是7.9千米/秒,逃逸速度是11.2千米/秒,简单的说就是达到环绕速度时,物体所受的重力与环绕产生的“离心力”相等,维持当前运行状态!但地表大气稠密,因此人造卫星的轨道高度很少低于300千米,而国际空间站在400千米的轨道高度运行时,仍然需要每周调整高度!

外面看不到黑洞里面,从黑洞里能看到外面吗?答案还是一片漆黑376 / 作者:twxd / 帖子ID:50371



上图是环绕地球运行的卫星在“离心力”和引力平衡的状态下运行,环绕速度计算公式如下:

外面看不到黑洞里面,从黑洞里能看到外面吗?答案还是一片漆黑915 / 作者:twxd / 帖子ID:50371



当物体的质量逐渐加大,半径逐渐减小,那么最终将可以计算出环绕速度为光速的质量与半径的区间!而根据奥本海默极限,M的值为太阳质量约3.2倍将坍缩为黑洞,根据史瓦希半径公式计算出它的视界半径约为9.3千米(史瓦希黑洞的史瓦希半径和视界重叠)!那么代入上述的第一宇宙速度(环绕速度)公式时,你将无可避免的计算出在9.3千米的距离上,只有光速环绕才能抵消黑洞强大的引力!

二、光线接近黑洞时会是什么效果?

在宇宙中能让光线明显改变传播改变线路的天体并不多,特别是肉眼即可见到,而不发光的黑洞最适合肉眼观测了,尽管我们相距遥远看不到,但理论中的黑洞确实能明显改变光线的传播!

外面看不到黑洞里面,从黑洞里能看到外面吗?答案还是一片漆黑631 / 作者:twxd / 帖子ID:50371



这是最接近实际效果的理论模型,为什么不用视界望远镜拍摄的黑洞照片?其实那个实际效果并不能完全表现光线扭曲的状态,因此我们还是用示意图,在黑洞正面能看到黑洞背面的光线,因为光线会沿着黑洞表面传播绕道另一侧,而稍远的光线尽管受此影响,但仍然会逃离黑洞而得以让我们看到,因此我们看到的是一个完全扭曲的世界!

外面看不到黑洞里面,从黑洞里能看到外面吗?答案还是一片漆黑30 / 作者:twxd / 帖子ID:50371



这是黑洞从视线中经过时的模样,有一种鱼眼镜头的效果!那么我们从黑洞向外看时又是什么效果呢?根据黑洞对扭曲光线的推测,如果肉眼在视界处观测,那么应该就是一个超级鱼眼镜头的效果!

外面看不到黑洞里面,从黑洞里能看到外面吗?答案还是一片漆黑878 / 作者:twxd / 帖子ID:50371



也许要更扭曲一些,这样还不足以表现黑洞对光线的控制能力!越接近黑洞的视界,产生的扭曲效果更甚!但却并不完全是扭曲,因为还有黑洞的引力所导致的引力蓝移,我们见到的都是引力红移,为什么会有引力蓝移呢?因为当前的条件是黑洞在我们背后,所有的光线电磁波频谱是被压缩的,因此我们看到的光线将蓝移,也就是处在红外、太赫兹甚至微波频段的光谱也会蓝移到可见光波段让我们看到,而在可见光波段则有部分会蓝移到紫外以及极紫外,我们将再也不会看到!

外面看不到黑洞里面,从黑洞里能看到外面吗?答案还是一片漆黑975 / 作者:twxd / 帖子ID:50371



但是当光线穿越黑洞视界后又将是一个什么样的世界呢?

这是一个很难想象的空间,因为这个空间与我们所想象的空间完全不一样,在这个空间里再无上下前后左右的分别,因为所有的方向都指向黑洞的奇点,因此从理论上来看,在黑洞视界内是看不到光线的,因为无论朝哪里看,看到的都是奇点!而奇点则不会发出任何所谓的光线!

所以简单的一句话回答的话,从黑洞内向外看,那就是一片漆黑!


本文选自:今日头条
00_avatar_middle
您需要登录后才可以回帖 登录 | 注册会员

手机版|UFO中文网

GMT+8, 2026-5-9 21:16

Powered by Discuz! X3.5

© 2001-2026 Discuz! Team.

快速回复 返回顶部 返回列表