找回密码
注册会员
发新帖
31_avatar_middle

960

积分

0

好友

89

主题
online_member 发表于 2019-6-2 21:57:05 | 查看: 674| 回复: 0
我国著名的数学典书籍《九章算术》中记载了求已知体积的球体直径的方法,称之为“开立圆术”,“立圆”即为球体。

古代数学家刘徽创造“牟合方盖”,祖冲之用它求出球体的体积公式680 / 作者:ananokok / 帖子ID:46656



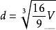
所谓“开立圆术”,书中载曰:“置积尺数,以十六乘之,九而一,所得开立方除之,即丸径。”意思是说球体的半径等于九分之十六乘以体积再开立方,与此同时,也就得出了球的体积公式:十六分之九乘以半径的三次方。

古代数学家刘徽创造“牟合方盖”,祖冲之用它求出球体的体积公式254 / 作者:ananokok / 帖子ID:46656



古代数学家刘徽创造“牟合方盖”,祖冲之用它求出球体的体积公式610 / 作者:ananokok / 帖子ID:46656



当然,我们一眼就可以看出这个公式是错误的。可是我们应该知道任何一个数学公式,无论看起来多么简单,都是一代代数学家不多努力而得到的劳动成果。既然我们都看出了错误,更别提那些数学家们了。其中,魏晋时期数学家刘徽在为《九章算术》作注时便发现了其中的错误。

刘徽发现如果取兀等于3,所求球的体积则会比实际少;如果按兀等于4来计算的话,球的体积又会比实际的要多。二者之间虽有一定差异,但也可以互相通补。如果直接以十六分之九的比率来计算,误差则要大了许多。经过不断的钻研,刘徽创造了一个独特的立体图形,并希望通过这个图形求出球体的体积公式。

古代数学家刘徽创造“牟合方盖”,祖冲之用它求出球体的体积公式497 / 作者:ananokok / 帖子ID:46656



由于这个图形上下像两把对称的伞,总体又像一个牟合的方形盒子,故称为牟合方盖。据刘徽所作的《九章算术注》记载,刘徽构造了一个每个横切面都是正方形的立体图形,然后再构造一个与横切面在同一高度的圆形,总的来说,就是两个相同的圆柱体垂直相交得到的几何图形,刘徽将这个图形命名为“牟合方盖”。

古代数学家刘徽创造“牟合方盖”,祖冲之用它求出球体的体积公式95 / 作者:ananokok / 帖子ID:46656



当时刘徽已经推算出圆周率为3.1416,他也可以通过圆周率得出圆及它的外接正方形的面积比为兀:4,他希望通过类比推理证实证实《九章算术》中公式是错误的,并由此求出球体的体积公式。

刘徽通过计算证实了《九章算术》的错误,至于怎么得出的就不详细说明了,毕竟咱聊的是历史而非数学。与此同时,刘徽还希望通过“牟合方盖”求出球的体积,因为“牟合方盖”的体积跟其内接球体体积有极大的相关性。可惜,刘徽一生都没有解决这个问题,直到200年后这个问题才被彻底解决。

解决此问题的人便是南北朝时期杰出的数学家袓冲之及他的儿子祖暅,他们沿用了刘徽的思想,将原来的“牟合方盖”分为完全相同的八份,取八分之一进行研究。这个思想与著名的迪卡尔坐标系极为类似,这也验证了一个重要结论:人类文明发展的总体趋势都是朝着同一方向发展。

古代数学家刘徽创造“牟合方盖”,祖冲之用它求出球体的体积公式120 / 作者:ananokok / 帖子ID:46656



祖氏父子经过一系列的研究,彻底的解决的球体的体积问题。虽然,这个公式的得出比欧洲的阿基米德要晚一段时间,但是推导的方法却截然不同,刘徽及祖氏父子所使用的方法也是数学领域的一项杰出成就。其中,祖冲之计算过程还使用了一个他发现的结论:“缘幂势既同,则积不容异。”,也就是意大利数学家卡瓦列利命名的卡瓦列利原理。但祖冲之所在的时代比卡瓦列利要早一千年,这就说明第一个发现此原理的人应该是祖氏父子。
读乏味的书,作趣味的文。——最新思维


本文选自:今日头条
00_avatar_middle
您需要登录后才可以回帖 登录 | 注册会员

手机版|UFO中文网

GMT+8, 2026-4-6 17:15

Powered by Discuz! X3.5

© 2001-2026 Discuz! Team.

快速回复 返回顶部 返回列表