找回密码
注册会员
发新帖
74_avatar_middle

911

积分

0

好友

85

主题
online_member 发表于 2019-5-29 21:54:36 | 查看: 893| 回复: 6
飞碟超光速飞行吗?


飞碟能超光速飞行吗?超光速能“蹿出”本宇宙空间吗?587 / 作者:lillian0630 / 帖子ID:46515



按照现有认识和实践水平,在本宇宙有静止质量的物体超光速运动是不可能的,飞碟无论如何也达不到超光速,甚至连光速也达不到。别说达不到光速,实际上连飞碟也不存在,存在的只是奥运会上的射击项目。

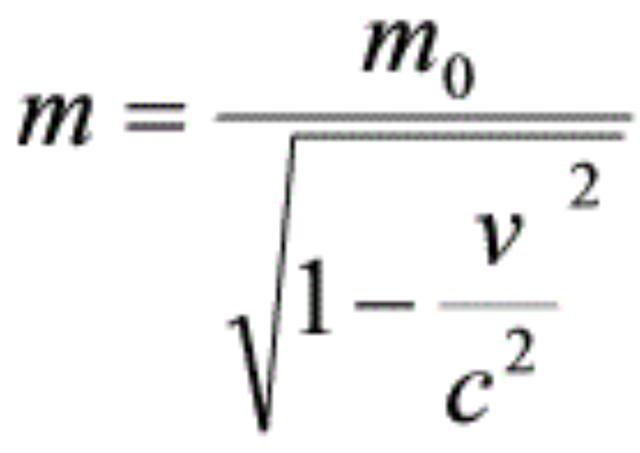
根据狭义相对论质量效应公式:

飞碟能超光速飞行吗?超光速能“蹿出”本宇宙空间吗?495 / 作者:lillian0630 / 帖子ID:46515



其中m为物体的质量,m0为物体的静质量,Ⅴ为物体运动速度,C为光速。当V→C时,分母根式→0,则m→+∞,也就是说随着物体速度接近光速,物体的质量将变得无穷大,这样为了推动物体的运动,所需能量也是无穷大,如果宇宙是有限的,全宇宙的能量都不够用来加速的,因而达到光速是不可能的。这就是光速不变原理的深刻体现。因此光速及超光速飞碟是不可能存在的。

飞碟能超光速“蹿出”宇宙空间吗?

根据第一个问题的答案,第二个问题便很好回答:飞碟等物体是“蹿”不出本宇宙空间的。因为第一,在本宇宙中超光速是不存在的,也就不存在超多少光速的问题。第二,空间只在宇宙之里,宇宙“之外”是没有空间的,“蹿出来”也是个空间概念,因此没有空间就没法“蹿出来”。如果能蹿出来,那蹿出来的地方就还是宇宙。

飞碟能超光速飞行吗?超光速能“蹿出”本宇宙空间吗?934 / 作者:lillian0630 / 帖子ID:46515



?总而言之,在我们的宇宙空间超光速是不可能的。

光速的确是本宇宙的逃逸速度

按常理讲,如果非想蹿出来,只要超一点光速就行,因为光速是这个宇宙的极限速度。也可以理解为光速是本宇宙的逃逸速度。包括光在内的所有物质的运动都是在时空中的运动,都不会超出时空,光速再快也是在时空中的运动,离开时空就没有什么光速可言,而光与时空有内在联系,光速就是时空的属性,因此所有物质的速度不会超过光速。有超光速思想的人就是把光速与时空割裂开来,把光速看成是独立于时空而骨子里是相对于某种绝对不变东西的,或者是把时空就看成是这种东西,把这种东西只看作是光速的背景。这种思想当然是错误的。

“超光速”的条件和存在结果

实际上想超光速也不是一点希望没有,那就是能量,只要有无穷大的能量就能超光速,这是种脱离时空令宇宙崩塌的能量,一旦达到就会脱离时空,这个飞碟物质就不以时空方式存在了,是以一种“非时空”的方式存在,比如像我们至今还没弄清的宇宙大爆炸前的“奇点”状态。

飞碟能超光速飞行吗?超光速能“蹿出”本宇宙空间吗?54 / 作者:lillian0630 / 帖子ID:46515



当然严格意义上说,没有时空就不是真正的超光速,因为就在达到光速的那一刻脱离时空了,还怎么超?因此这个“超光速”要加引号。当然没有时空更没有“蹿出来”的问题,总之,在我们生活的时空宇宙是没法超光速的,那撇开宇宙,世界(世界的概念当然要大于宇宙)上到底有没有成功“超光速”的,答案是肯定的,如果认为宇宙是有限的,时间和空间就有起点和终点,那时空产生“之前”的宇宙状态就可以看作是“超光速”的状态效果,在这个客观存在的物性世界里,像这种状态的存在应该比比皆是才符合客观实在性。否则就是否定了宇宙的有限性,在逻辑上和哲学上走向了死胡同。


本文选自:今日头条
online_member 发表于 2019-5-29 21:55:32
超光速飞行应理解为超光速传递,任何变化的物质都应理解为动态传递,反之为静态传递,静态传递和动态递都是明态传递,宇宙中应还存在隐态传递。明态传递和隐态传递最终组成宇宙大爆炸的根本。化学变化其实不存在,所谓的化学变化只是传递摡念中的一部分,只是在一定条件下物质又向内或向外传出了积存的物质。

回复 显示全部楼层 道具 举报

online_member 发表于 2019-5-29 21:55:52
小编你证明了如果有飞碟,那么你怎么知晓不超光速

回复 显示全部楼层 道具 举报

online_member 发表于 2019-5-29 21:56:40
物体在现行物理理论下确实无法达到光速,但是我们忽略了暗物质和暗能量存在的条件。除去暗物质暗能量的作用。物体可以超光速运行。我们可观测宇宙就在超光速膨胀。

回复 显示全部楼层 道具 举报

online_member 发表于 2019-5-29 21:57:09
飞碟不是已速度飞跃星际,是将时间重叠而穿越~

回复 显示全部楼层 道具 举报

00_avatar_middle
您需要登录后才可以回帖 登录 | 注册会员

手机版|UFO中文网

GMT+8, 2026-5-17 03:33

Powered by Discuz! X3.5

© 2001-2026 Discuz! Team.

快速回复 返回顶部 返回列表