找回密码
注册会员
发新帖
67_avatar_middle

1637

积分

0

好友

46

主题
online_member 发表于 2019-5-17 21:13:43 | 查看: 902| 回复: 5
为什么量子力学的测不准原理不包含质量?
online_member 发表于 2019-5-17 21:14:42
在物理学中质量就是能量,在常见的测不准关系(以下按正规物理学术语称为不确定关系)的表达式中,有一个就是“能量-时间”不确定关系:
为什么量子力学的测不准原理不包含质量?487 / 作者:星星糖SUNG / 帖子ID:46197

从这个角度说,包含质量的不确定关系是存在的。汤川秀树曾用这个关系估算过介子的质量。

为什么量子力学的测不准原理不包含质量?848 / 作者:星星糖SUNG / 帖子ID:46197

汤川秀树(1907-1981),东亚第一个诺贝尔物理奖得主,东方文化(其实就是中国传统文化)的爱好者,一生几乎从未出国,用事实证明东方文化与西方的科学思维并不冲突。
在汤川秀树的年代,量子力学已经创建并且较好地解释了原子物理中种种奇特的现象,同时物理学家开始关注原子核尺寸的物理现象,原子核的尺寸(10的-15次方米)比原子的尺寸(10的-10次方米)一下又小了五个数量级,所以很多大胆(偷懒)的物理学家设想在这么小的尺寸也许我们又需要一个全新的力学了,汤川秀树的工作则说明量子力学依然适用于原子核物理。

原子核很小,同时在原子核里面有核子,这些核子是如何被束缚在一起的呢?特别是质子还带正电,带正电的质子间会有非常强的库伦排斥力,如果原子核内的质子能够稳定地被束缚在一起的话,则说明核子之间一定存在比电磁相互作用强的多的吸引相互作用,称之为强相互作用。
为什么量子力学的测不准原理不包含质量?75 / 作者:星星糖SUNG / 帖子ID:46197
用费曼图表示的两个核子通过交换介子产生有效的吸引作用。

同时,强相互作用的作用距离又必须很短,短到只有原子核大小,一出这个范围强相互作用就没有了。换句话说强相互作用是个短程力,充当强相互作用媒介的“介子”必须具有有限大小的质量。与之相对,电磁相互作用是一种长程力(电荷之间相互作用可以到无限远),相应地负责传递电磁相互作用的“光子”的质量就是0。

现在假设介子的速度非常接近光速,但不到光速,介子从产生到湮灭掉的时间是大约r/c,这里r是原子核的大小。在这个时间的不确定度下,介子的能量是:
为什么量子力学的测不准原理不包含质量?282 / 作者:星星糖SUNG / 帖子ID:46197

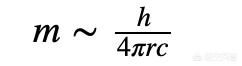
因此,介子的质量是:


为什么量子力学的测不准原理不包含质量?278 / 作者:星星糖SUNG / 帖子ID:46197
我们取r是原子核半径,即可估算出介子的质量是102兆电子伏,或电子质量的200倍。


这是一个很简单的估算,后来物理学家在实验室里发现了三种π介子,π+,π-和π0,前两种是带电荷的π介子,质量是139.6兆电子伏,第三种是中性π介子,质量是135.0兆电子伏,和汤川秀树的估算很接近。

表面看起来,汤川的工作很简单,并且有运气的成分(估算和实验值正好接近),但也说明解释原子核尺寸的物理现象并不需要发展新的物理原理,只需要使用量子力学,按照汤川的思路再往前走就可以了,这就是后来的量子场论。

回复 显示全部楼层 道具 举报

online_member 发表于 2019-5-17 21:15:25
测不准原理包含质量。
测不准原理有两条,一条是“动量——空间坐标”的测不准原理,即Δp*Δx≥h/2。还有一条是“能量——时间”的测不准原理,即ΔE*Δt≥h/2。无论是动量P,还是能量E,都有质量在里面。
根据相对论,动量就是简单的质量乘以速度,即P=mv,能量就是质量乘以光速的平方,即E=mc^2。这里m是动质量。如果换算成静质量,只需要让m乘以一个洛伦兹因子(1-v^2/c^2)即可。
也就是说,质量蕴含在动量和能量之中,包含动量和能量的两个测不准原理均包含了质量。

回复 显示全部楼层 道具 举报

online_member 发表于 2019-5-17 21:15:34
其实测不准就是测不准,压根不应该叫什么原理,哥本哈根派硬是说测不准是因为量子本来就是不确定的,弄了个所谓不确定原理,所以相应起了一个名字叫测不准原理。
如果测不准可以叫原理,学生考试是不是说,根据不确定原理,这个题随便写个答案都行呢,我一直认为这个原理是毒瘤。
量子本来就是一个概念性的东西,定义上他是最小单位的能量,能量嘛,没质量就原谅他了,可是“量子之父”都说了,人是多少多少个量子组成的,零的无数倍还是零,我读书少别骗我。
还有人们自认为捕捉到的到光量子,光量子这个词就足够流氓,你是子就是粒子,必须有质量,你怎么又是量子了呢?那好,你光量子也是最小单位的能量了吧?那么官科的同志,光子受不受温度影响?温度高了光子能不能吸收能量?电子吸收光子的能量,光子吸收谁的?既然光子是最小的能量单位了,那天只能吸收光子。那么光子是不是滚雪球那样的增加能量。
哎,量子力学发展到了唯心主义,也是够了。昨天官科的同志说亮度更高的光子,真是牛,到光子是怎么把自己搞亮的。
爱因斯坦为了计算相对准确方便,把光子静止质量等于零了,哥派把自己能推测出来最小的粒子都等于零了,你就是研究微小领域的你也四舍五入?原子说,电子太小了,舍去他的质量吧,可以吗?

回复 显示全部楼层 道具 举报

online_member 发表于 2019-5-17 21:16:21
什么是质量,先弄清楚质量的概念,物质的质量和能量本来就是物质的同一内秉属性,这也就是物质波和波粒二象性的由来,现在人类对于量子力学的本质都没搞清楚,所以在原理这个层面都存在着巨大的偏差,测不准原理本身就是个认知偏差,也许就当下人类对于物理学的认知会认为我是个神经病,50年以后,如果今日UFO中文网还存在,这条信息还被保留,未来世界的人类会发现我到底在说什么。

回复 显示全部楼层 道具 举报

00_avatar_middle
您需要登录后才可以回帖 登录 | 注册会员

手机版|UFO中文网

GMT+8, 2026-4-6 17:15

Powered by Discuz! X3.5

© 2001-2026 Discuz! Team.

快速回复 返回顶部 返回列表