找回密码
注册会员
发新帖
23_avatar_middle

1379

积分

0

好友

27

主题
online_member 发表于 2019-5-16 21:26:43 | 查看: 1726| 回复: 10
为什么科学界的两大支柱是相对论和量子力学?为什么弦理论和M理论没有上榜?
online_member 发表于 2019-5-16 21:26:48
这个问题需要从物理学的发展来解释。
物理学是研究物质的基本构成和它们之间如何相互作用的学科。经典物理学的开端是在牛顿发表他的力学三定律开始,在19世纪末,经典物理学发展到了它的巅峰。利用经典物理学已经可以解决宏观世界的绝大部分问题。
1900年4月27日,数学家、物理学家、工程师开尔文爵士在英国皇家研究院做了一个广为人知的演讲,题为《覆盖热量和光线的动力学理论的十九世纪的乌云》,“物理学大厦已经建成,以后的工作仅仅是内部的装修和粉刷”。但他又同时指出:“物理学的大厦上空还漂浮着两朵乌云……”这两朵乌云分别是麦克尔逊-莫雷试验结果和黑体辐射的紫外灾变。
为什么科学界的两大支柱是相对论和量子力学?为什么弦理论和M理论没有上榜?611 / 作者:雨云儿 / 帖子ID:46170 图:
开尔文勋爵,热力学温标(开尔文,k)就以他命名

先说麦克尔逊-莫雷试验

为什么科学界的两大支柱是相对论和量子力学?为什么弦理论和M理论没有上榜?489 / 作者:雨云儿 / 帖子ID:46170 图:
麦克尔逊-莫雷试验

当时的人们认为,光是在一种叫“以太”的物质中进行传播的。当时已经知道地球以30公里/秒的速度绕太阳公转,由于以太被认为是绝对静止的,根据经典物理学,地球在以太中运动,就必然受到30公里/秒的“以太风”的吹拂。如果是这样,光的传播就会受到这个“以太风”的影响。
于是在1887年,阿尔伯特·迈克耳孙与爱德华·莫雷合作在美国的克利夫兰进行了如上图所示的这样一个实验。按以太说,如果在地球上进行这样的实验,向右走的一束光的速度应分别加减地球相对于以太的速度。
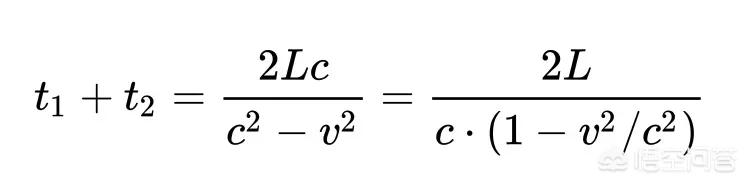
设去的时间为t1,得到:t1= L /(c  v)
返回的时间为t2,得到:t2=L /(c+v)
于是得到下面这个式子:
为什么科学界的两大支柱是相对论和量子力学?为什么弦理论和M理论没有上榜?411 / 作者:雨云儿 / 帖子ID:46170


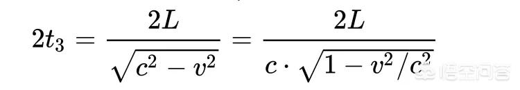
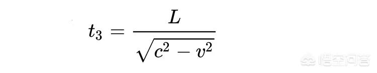
向上走的一束光,去的时间设为t3,由于镜子是在运动着的,镜子M2在这段时间里向右移动了t3×V的距离,所以光线的路径是一个直角三角形的斜边,即:
为什么科学界的两大支柱是相对论和量子力学?为什么弦理论和M理论没有上榜?330 / 作者:雨云儿 / 帖子ID:46170 所以:
为什么科学界的两大支柱是相对论和量子力学?为什么弦理论和M理论没有上榜?791 / 作者:雨云儿 / 帖子ID:46170 由于返回的时间也是一样的,所以得到的总时间是:
为什么科学界的两大支柱是相对论和量子力学?为什么弦理论和M理论没有上榜?482 / 作者:雨云儿 / 帖子ID:46170 从上面的结果可以得知:两个方向光的返回时间显然是不想等的。通过这个实验就可以测得地球在以太中运动的速度,即:30公里/秒。但实验结果却是与此不符,他得到的数据是10 km/s。他不相信这个结果是正确的。当然,由于实验设备的问题,这个数字的误差较大。而现代的测量结果光速是不变的,不会受到所谓“以太”的影响。
为了解释这个实验结果,1904年,洛伦兹将伽利略变换修改为洛伦兹变换。他提出运动物体的长度会收缩,并且收缩只发生运动方向上(在这个实验中是水平方向上),即:
为什么科学界的两大支柱是相对论和量子力学?为什么弦理论和M理论没有上榜?510 / 作者:雨云儿 / 帖子ID:46170 其中:L0为静止时的长度。
这个公式成功的解释了实验结果
。但他们还没有真正明白这个式子的意义。

1905年,爱因斯坦非常干脆的抛弃了“以太”说,提出了“光速不变”,并将光速不变作为了狭义相对论的一个公设。后来,爱因斯坦为了将引力纳入这个体系,几乎是独自创立了广义相对论。于是,现代物理学的一个基石诞生了。
紫外灾变

19世纪末正处于电气革命(第二次工业革命),冶金以及照明设备的制造需要人们找到辐射强度和辐射频率的关系。科学家们在研究黑体辐射时发现,利用经典物理学理论计算黑体(热量学里的一种理想研究对象,吸收多少能量就会释放多少能量)辐射强度,会随辐射频率上升,而趋向于释放出无穷大能量。计算结果与实验数据无法吻合。
由于紫色处于光的高频一端,这个实验结果与理论计算结果的巨大差异就被命名为紫外灾变。
1900年,普朗克在研究黑体辐射时提出:如果能量只能是以一个个最小单位(量子)组成的,就能与实验结果相符,于是他得到了这样一个公式:
E=hν
h为普朗克常数,v为频率。
于是现代物理学的另一个基石-量子力学诞生了。
弦理论

20世纪,量子力学和相对论在各自的领域都发展得很好。量子力学专注于微观领域,广义相对论专注于广阔的大尺度空间。量子场论已经将四种基本力的三种:强相互作用力、弱相互作用力和电磁力统一起来了,但引力还是由广义相对论来负责解释。而且量子场论和广义相对论还互不相容。这时就需要一种理论将广义相对论和量子力学统一起来。
为什么科学界的两大支柱是相对论和量子力学?为什么弦理论和M理论没有上榜?209 / 作者:雨云儿 / 帖子ID:46170 图:弦理论


弦理论就是这样一个大统一理论,当然,还有一个叫圈量子引力论的。但目前弦理论还不能称为物理理论,它目前只是一个数学框架,还无法用实验验证它。弦理论认为世界是由最基本的单位~一维的弦构成。这些开弦或闭合的弦以不同的形式震动构成了不同的基本粒子,从而形成了我们这个世界。
为什么科学界的两大支柱是相对论和量子力学?为什么弦理论和M理论没有上榜?286 / 作者:雨云儿 / 帖子ID:46170 图:
弦理论的基本物体为开弦与闭弦

M理论是弦理论的进化版本,它试图将几种可以相容的弦理论统一起来。

回复 显示全部楼层 道具 举报

online_member 发表于 2019-5-16 21:27:09
《相对论》是什么?一般人对它的印象是爱因斯坦的著名方程: E=mc,其实这是狭义相对论。真正物理科学支柱理论是广义相对论,对时间和空间的真正认识,时空是被引力弯曲的,时间不是绝对的,随着越接近光速,时间越慢,这才是相对论的核心。
《相对论》在宇宙大空间尺度上,吻合了许多的观测数据,成为人类对宇宙进行探索的基石,是继牛顿定律之后最伟大的物理理论。从当初行星轨道的计算到现在世界瞩目的引力波发现,都证明了《相对论》的正确。


但是在微观世界,相对论却无法使用,于是科学家们发现了量子力学。量子物理描述的世界是模糊不稳定的,无法像经典物理那样容易理解,导致我们普通人根本无法想象量子的世界。
但是量子力学的理论却很好的在现实中得到运用。因为所有的芯片都基于量子理论产生的,所以我们手中的每一件电子产品都是量子理论的实际运用。天气的预测、武器的研究等等,还有很多方面都在运用量子力学。我们的生活早就离不开它了。


但是最大的问题是相对论和量子力学无法统一,同时运用两个理论的方程求解,就会陷入无穷大的无解之中。于是科学家们要不断追求可以统一两者的万物理论。科学家们相信,宇宙不应该有两个不统一的基础理论存在,一定会有新的理论可以解释这两者。


为了更好的统一相对论和量子力学,弦理论和M理论就是这样产生了。弦理论是认为最基本的粒子是一段闭合的一维弦,弦的波动产生了不同的微观粒子。后来又产生的M理论,于是从弦理论的10维时空变成了更难以想象的11维时空。虽然M理论更好的结合了相对论和量子力学,但是始终存在很多问题。而且弦理论的系列始终是科学家们自己的理论假设,无法像相对论和量子力学一样得到现实的论证和运用,所以无法得到所有科学家的认同。


另一部分科学家在量子理论的基础上,研究出了圈理论或者成为圈量子引力,认为弦理论的存在是不必要的。圈理论并没有引入相对论和量子力学以外的任何假设,只是进行了重写来使二者相容,其结果却是颠覆性的。
圈理论的核心是预言空间不是连续体,不是无限可分的,它由“空间原子”组成,比最小的原子核的十亿分之十亿分之一还要小。圈理论以精确的数学形式来描述这一空间的原子与分立量子结构。通过把狄拉克量子力学的一般方程应用到爱因斯坦引力场可以得到这个结果。


所以弦理论和M理论并没有得到广大的认同,自然不能成为科学界的支柱理论。

回复 显示全部楼层 道具 举报

online_member 发表于 2019-5-16 21:28:01
相对论和量子力学是因为人为的因素比较少,人们相对的好理解。而弦理论和M理论过于奇特,就是它们人为的因素太多,几乎完全是人造的理论。虽然都是描述物理现象,前者好像是从物理而后用数学来描述;而后者好像根基扎在数学中往物理上应用一样,人们感觉不靠谱。特别是用到十维和十一维空间,感觉很别扭,不愿意接受。
其实,不管是相对论和量子力学或这是弦理论和M理论也好,都是对宇宙现象的不准确描述,是不正确的。也就是物理学家们玩一玩而已,不要把这些当真,离真正的事实差得太远了。物理学家们从内心里从来没有把他们的理论当作真理,只是互相争斗,出人头地。科学家也是一种职业,总得有成果啊。

回复 显示全部楼层 道具 举报

online_member 发表于 2019-5-16 21:28:26
这个问题本身有问题,各种回答也是驴唇不对马嘴。
       经典物理学仍然是目前物理学的支柱,但它是片面的和不准确的,只适用于很窄的范围,比如在高速状态、微观状态它是不正确或不准确的。
       科学本就不是真理,自称真理的肯定不是科学,但科学一直在接近于真理。
       量子力学和相对论对世界的解释更接近于真理,也有更广泛的适用范围,是经典物理学的发展和补充,就像日心说和新宇宙理论。但相对论和量子力学目前都不像经典物理学有完备度和自洽性,通俗讲就是不够成熟和完整,尤其量子力学,目前有十多种解释,但没有一个解释是完美的。比如:哥本哈根解释,多世界解释(平行世界),多历史解释,隐变量理论,m理论,弦理论等等。
       m理论和弦理论只是量子力学的解释理论之一。

回复 显示全部楼层 道具 举报

00_avatar_middle
您需要登录后才可以回帖 登录 | 注册会员

手机版|UFO中文网

GMT+8, 2026-4-4 15:29

Powered by Discuz! X3.5

© 2001-2026 Discuz! Team.

快速回复 返回顶部 返回列表