找回密码
注册会员
发新帖
85_avatar_middle

907

积分

0

好友

85

主题
online_member 发表于 2019-5-15 22:08:03 | 查看: 1701| 回复: 12
怎样通过哈勃常数来计算宇宙的年龄?998 / 作者:gooobooo / 帖子ID:46127



在20世纪20年代末,美国天文学家哈勃有了重大的宇宙学发现,这直接导致爱因斯坦称自己犯了一生最大的错误。哈勃根据星系的退行速度和距离关系,推导出了哈勃定律,基于其中的哈勃常数就能估算出宇宙的诞生时间。

在哈勃确认河外星系的存在之后,哈勃又发现,星系光谱的红移值和距离存在线性关系,越远离银河系的星系,红移值越高。根据多普勒效应,星系的光谱出现红移现象是因为星系正在远离银河系,并且红移值越高表明星系的退行速度越快。由此,哈勃得到了著名的哈勃定律,即星系的退行速度V和星系与银河系的距离D成正比例关系:

v=H0·D

其中H0表示哈勃常数。

怎样通过哈勃常数来计算宇宙的年龄?702 / 作者:gooobooo / 帖子ID:46127



根据哈勃定律,宇宙空间在均匀地膨胀。宇宙并非静态的,时间往前回溯,早期宇宙比现在更小。如果时间回到宇宙诞生之初,宇宙空间缩小为一个奇点,这就是宇宙的开端。

假设宇宙空间膨胀的速率自宇宙诞生以来没有发生过变化,那么,星系的退行距离除以退行速度,得到的是星系的退行时间。因此,哈勃常数的倒数,也就是哈勃时间,代表的正是宇宙膨胀时间尺度,可以近似认为这是宇宙的年龄:

tH=1/H0

只要知道哈勃常数,就能估算出宇宙的起源时间。根据NASA(NASA)的费米伽玛射线太空望远镜在2019年的观测结果[1],哈勃常数的测量值约为68(千米/秒)/百万秒差距,也就是说,星系与银河系的距离每增加1百万秒差距(326万光年),其远离银河系的速度会随之增加68千米/秒。由此可以估算出,宇宙的年龄大约为143.7亿年。

怎样通过哈勃常数来计算宇宙的年龄?932 / 作者:gooobooo / 帖子ID:46127



不过,哈勃常数并非一个真正意义上的常数,因为宇宙空间的膨胀速率在不断发生变化,目前的宇宙正在经历加速膨胀过程。

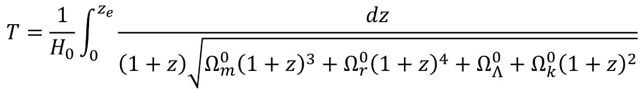
在现代宇宙学中,Λ-CDM模型(基于从广义相对论中推导出来的弗里德曼方程)给出了目前为止最为精确的宇宙年龄计算公式:

怎样通过哈勃常数来计算宇宙的年龄?430 / 作者:gooobooo / 帖子ID:46127



通过测量出公式中的各项参数,可以知道宇宙的诞生时间大约为138亿年前,这与哈勃时间相接近。

参考文献

[1] Alberto Domínguez, Radoslaw Wojtak, Justin Finke, et al., A new measurement of the Hubble constant and matter content of the Universe using extragalactic background light γ-ray attenuation, arXiv:1903.12097.


本文选自:今日头条
online_member 发表于 2019-5-15 22:08:52
我想问一下,是谁创造了宇宙

回复 显示全部楼层 道具 举报

online_member 发表于 2019-5-15 22:09:06
138亿,地球出生了嘛

回复 显示全部楼层 道具 举报

online_member 发表于 2019-5-15 22:09:25
哎,夏虫总想语冰

回复 显示全部楼层 道具 举报

online_member 发表于 2019-5-15 22:10:13
地球南极北极与赤道在旋转过程中谁的速度快

回复 显示全部楼层 道具 举报

00_avatar_middle
您需要登录后才可以回帖 登录 | 注册会员

手机版|UFO中文网

GMT+8, 2026-5-10 07:20

Powered by Discuz! X3.5

© 2001-2026 Discuz! Team.

快速回复 返回顶部 返回列表