找回密码
注册会员
发新帖
20_avatar_middle

1387

积分

0

好友

25

主题
online_member 发表于 2019-4-19 22:39:11 | 查看: 7876| 回复: 10
量子力学是什么?有哪些用途?
online_member 发表于 2019-4-19 22:39:20
虽然本人是量子力学学渣级OG,但是论到做做最基础的科普工作,还是很愿意勉力而为之的。
如果用一句话描述量子力学,我觉得它是人类打开微观世界奥秘之门的那把钥匙。下面我就量子力学怎么产生的、到底是什么、有哪些用途这几点来详细说明一下:
量子力学是什么?有哪些用途?759 / 作者:lzwdj / 帖子ID:45593
一、量子力学的发端

19世纪末,人类的科研水平越来越高,对微观世界的研究也越来越深入,众多旧经典力学框架下无法解决的问题也就逐渐浮出了水面。这里重点说说直接导致旧量子力学产生的“紫外灾难”和普朗克公式。
这里要先说一下黑体,黑体就是外来的电磁波(包括红外线,可见光,紫外线,等等等等)全都能被它吸收的家伙,而不会有任何的反射与透射。
但是有温度的物体都会对外产生热辐射(由于具有温度而产生电磁波),黑体也不例外,它的热辐射可以说是100%来自于他自己。因此,黑体就成为了研究物体热辐射现象的极佳对象。
当然,黑体的特性是理想的状态,实验室只能高度近似地做出来。
那么就开始研究呗,瑞利和金斯这两位物理学家在研究黑体辐射的强度时,根据一系列的假设条件和严格的数学推导(需要数学、物理功底,这里不再赘述)得到了如下的公式—— 量子力学是什么?有哪些用途?278 / 作者:lzwdj / 帖子ID:45593
式中k是玻尔兹曼常数,с是真空中光速,T是热力学温度,v是频率,而w(v,T)就是要推导的能量密度了。
后来,这个根据经典物理学推导出的公式在实验中遇到了麻烦,人们发现它在电磁波频率趋向无限大(波长趋向无穷小)时是不适用的,你会得到短波产生的辐射强度也趋向于无穷大的荒谬结论(实验时却发现强度接近于0),这被称为“紫外灾难”。
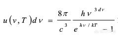
为了解释现实和理论的矛盾,普朗克站出来了。
他打破了能量是连续的框架,假设黑体辐射是一份一份地进行的,辐射能量是某个小能量元的整数倍,重新修正了瑞利-金斯公式,公式如下:
量子力学是什么?有哪些用途?477 / 作者:lzwdj / 帖子ID:45593
于是乎,新的公式可以解释所有波长的辐射,问题搞定!
二、量子力学是什么?

问题虽然解决了,但普朗克和物理界却不淡定了。
一开始,抛弃了旧框架的普朗克陷入了孤立无援的境地,大家都不相信“能量是分份儿”的这种奇怪的概念。据说,连他自己也不相信……
后来,爱因斯坦也加入了普朗克的阵营,提出了光量子学说。
再后来,玻尔提出了原子结构的玻尔模型,他的学生沃纳-海森堡据此提出了矩阵量子力学,而埃尔温-薛定谔、狄拉克他们又搞出来波动量子力学,等等等等,量子力学这门学问就越来越复杂、越来越庞大了。
量子力学是什么?有哪些用途?947 / 作者:lzwdj / 帖子ID:45593
神仙聚会,左二为爱因斯坦,中间为普朗克
所以说,量子力学到底是什么呢?
这里我不想用规范的学术性语言来表达,我个人觉得,量子力学就是人类在科技发展到现代,发现微观世界里有如此多我们不理解的现象时,用规范的数学框架对微观量子态世界的描述和统计诠释。
量子力学的诞生标志着我们人类开始打开高速运转的微观世界的黑匣子,它是人类现代科技继续向前发展的根基之一。可以这样说,如果你不能掌握量子力学的体系和工具,就无法理解或者研究现代物理。
三、量子力学的用途

正因为量子力学如此基础和重要,所以它在现代科技中的应用基本上是无处不在。
——通信、卫星
量子力学是什么?有哪些用途?426 / 作者:lzwdj / 帖子ID:45593
潘建伟院士
中国科大的潘建伟院士所领衔的团队在量子保密通信方面做出了突出的贡献,如果“量子科学实验卫星”工程进展顺利,中国将在2030年率先建成全球化量子通信卫星网络!由于量子的测不准属性,这样的通信是100%保密而安全的!
——量子传输
还是潘建伟院士领衔,他所做的实验当中,一个量子态在八达岭消失后,在并没有经过任何载体的情况下,瞬间出现在了16公里以外。想想吧,如果科技进一步发展,或许大件物体甚至人类都可以瞬间移动了!
——量子计算机
这个东西目前还是概念,但是潘教授团队已经做出了计算原型机。为什么要做量子计算机,量子的状态下不需要任何计算过程啊!如果最终能做出来,这就是最强CPU!
上面说一些的应用大部分还不太成熟,我们再看看我们已有的世界和量子力学有多大关系。
○你现在使用的计算机、手机——
因为量子力学的突破性进展,晶体管的出现了,这才有了你现在用的CPU芯片!
——激光
激光器工作的原理,实际上就是激发一个特定量子散发能量,感谢普朗克和量子力学吧,否则我们在医疗、工业生产时会少一把很有用的刀!
量子力学是什么?有哪些用途?513 / 作者:lzwdj / 帖子ID:45593
——其他
随机数字发生器、原子钟、电子显微镜、核磁共振显示器等等等等科技产品的背后,也离不开量子力学的身影,甚至核武器背后也有量子力学的概念。量子力学对于哲学、科幻文学、宗教、个人修行都有广泛而深刻的影响,我这里就不多谈了。
在教育界方面,清华经济管理学院的钱颖一院长在和特斯拉联合创始人马斯克对话时表示会考虑把量子力学列入他们学院的正式课程。请注意经济管理和量子力学的差距有多大!很显然,基于现实研究的,从经典力学到量子力学的人类思维跨越和思维框架转型值得任何行业的精英去学习、去借鉴。
最后再说一句话吧,如果你的孩子有理科天赋,即使不上物理系,千万也要试着让他学习学习量子力学。谁知道那个最不可思议的量子世界能让孩子绽放出什么样的光芒呢???
作为有态度的思想者,不虚伪的修行者,采药君欢迎您的关注。

回复 显示全部楼层 道具 举报

online_member 发表于 2019-4-19 22:40:05
现代科学自我欺骗与自嗨而已。
我看见一位解释过,我就那句话,公式不够,数学来凑,数学不够,调整参数。
如果原来的公式本身就是一种错误呢?
那通过错误的公式与对错误公式的理解而产生的理论,只能是错上加错。
科学家你以为不无耻,其实都一样。
现在很多所谓的假说,都不过是科学家的意淫与自嗨,科学早已经走进虚幻了。
知道中国哲学在宋朝走向死亡,那是太过于具体化,以至于中国人几千年都翻过来身。
现在西方哲学正走向死亡,因为科学越来越虚幻。
一个角度哲学必然死亡,这没什么好担心的,但新的哲学角度不会那么快建立。
中国哲学在宋朝死了,还要僵持一千年左右,才在西方产生新的哲学。
或许没有新的哲学,人类被自己所塑造虚幻给迷惑,如果人类毁灭,对于地球也不算个事,就别说宇宙了。
呵呵呵,说不上人类会被自己幻象的生物杀死,因为西方哲学太能意淫了。
这不是科学的错误,而是一个哲学角度必然带来的结果。

回复 显示全部楼层 道具 举报

online_member 发表于 2019-4-19 22:40:24
学问是一个硬币的两面,这个问,学没跟上。没法答!

凯迪

量子故事the quantum story
高老叹世界
高老叹世界
2011.11.13 15:52 原创发表在 开心科普
有历史性的四十个时空点a history in 40 moments
吉姆 百高特著jim baggott
牛津大学出版社2011年版Oxford University Press 2011
国际标准书号ISBN 978–0–19–956684–6
开场白 暴风雨前的乌云;

1900年四月 伦敦

二十世纪初开始时有很多理由相信物理学发展已快到头了。

经典物理学的大厦建立在十七世纪牛顿奠定的基础上。后来二百年科学进步创造了一个看似坚不可摧的世界模型。它可以解释一切,从力学中的相互作用力和物质运动,热力学、光学、电、磁、与引力,其范围之广,从地球上日常熟悉的物体到远在天际的星云,都解释的通。要发现经典物理学基础也可疑,似乎很难。

回复 显示全部楼层 道具 举报

online_member 发表于 2019-4-19 22:40:49
谢谢邀请,量子力学是现代物理学的基础之一。应用非常广泛,具体的可以自行百科。
我想说的是,对于我们认知的世界,大无其外,小无其内。如果说某个东西最大那么肯定会产生它的外面是什么的问题,同样说什么最小也会产生继续分下去会如何的问题。也许人类某阶段的科技水平无法继续细分下去,但以后可以更进一步将物质分解的更小。
时间的问题也一样,时间也许是均匀的流逝的,但均匀流逝却是很不方便的。时间单位需要一个合适的度。
量子力学就是为了解决这些问题而产生的。
简单回答到此。

回复 显示全部楼层 道具 举报

00_avatar_middle
您需要登录后才可以回帖 登录 | 注册会员

手机版|UFO中文网

GMT+8, 2026-4-4 13:53

Powered by Discuz! X3.5

© 2001-2026 Discuz! Team.

快速回复 返回顶部 返回列表