找回密码
注册会员
发新帖
44_avatar_middle

300

积分

0

好友

20

主题
online_member 发表于 2019-4-16 21:42:15 | 查看: 383| 回复: 2
就是宇宙中代黑洞?
作者:一点资讯
online_member 发表于 2019-4-16 21:43:03
谢邀。
黑洞,英文black hole,因为在黑洞中,光都无法逃离,因此从外界无法观察黑洞,因此将其比作一个永远漆黑的洞。黑洞的重要特点是,质量足够大,体积足够小,光也无法从黑洞中逃脱。
在宇宙中,恒星(天文学词汇) - 搜狗百科具有极大的质量,也会有超大的体积(如太阳),但是恒星也有生老病死,当恒星死亡时(这里的恒星是大质量恒星,质量是太阳的几倍到几十倍),因为恒星所能提供的压力不足以平衡引力(引力坍缩_百度百科),导致恒星迅速向内部塌陷,进而导致爆炸,释放大量能量(超新星爆炸)。
黑洞怎样形成的?248 / 作者:xNYYWeZq / 帖子ID:45508 要形成黑洞,首先要保证恒星是大质量恒星。
大质量恒星在坍缩过程中,大量物质开始向中心汇聚,此时,再也无法依靠我们熟悉的力来维持平衡,此时,依靠的是粒子(电子等)之间的引力和斥力(此处我用了常见的词汇,但正确称呼应该是简并压力)来保持平衡。
伴随着坍缩过程的加剧,此时大量粒子被压缩在一起,此时引力变得越强,而斥力也渐渐无法对抗引力,此时,就相当于电池被完全挤压,正负极碰在了一起,发生了短路(电子和质子碰撞),一阵火花之后(爆炸),停电了(形成了中子,不带正负电荷)。
爆炸就对了
对于质量不是特别大的恒星,演变到这个过程就算是给它们的一生画上了句号。
黑洞怎样形成的?380 / 作者:xNYYWeZq / 帖子ID:45508 但是如果质量特别大,仍然在向内挤压,这个时候,中子之间的斥力(中子简并压力)也无法对抗压缩了,这个时候,中子被挤压,变形,开始粉碎,成了目前我们所知道的最小物质,夸克。
黑洞怎样形成的?828 / 作者:xNYYWeZq / 帖子ID:45508 如果再持续压缩下去(夸克可能会继续被压缩,但是目前人类所了解的最小组成物质就是夸克),那么就会出现质量不变的情况下,体积持续变小的情况。
黑洞怎样形成的?511 / 作者:xNYYWeZq / 帖子ID:45508 最终,当体积坍缩到足够小时,黑洞诞生了。
黑洞怎样形成的?190 / 作者:xNYYWeZq / 帖子ID:45508 太阳这么大的恒星,如果变成黑洞(当然,太阳的质量是不足以变成黑洞的),它大概只有一颗乒乓球那么大。
黑洞怎样形成的?794 / 作者:xNYYWeZq / 帖子ID:45508 //*************************************分割线************************************
下面是一段基于高中物理的简单推导,有兴趣的朋友可以看一看,没有兴趣的请忽略。
在经典的万有引力定律中,两个物体之间的引力按照如下公式计算:
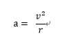
黑洞怎样形成的?735 / 作者:xNYYWeZq / 帖子ID:45508 对于一个围绕着地球运动的物体来说,这个物体如果要稳定的在某个轨道上运行,必须要保持相应的向心力。
黑洞怎样形成的?321 / 作者:xNYYWeZq / 帖子ID:45508 这里的向心力转换为速度表示
黑洞怎样形成的?204 / 作者:xNYYWeZq / 帖子ID:45508 那么可以看到,物体必须要保持v的速度,才能在距离地心为r的距离上运动。
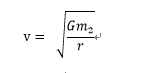
对于一个物体,其距离中心位置为r的轨道上,其速度为
黑洞怎样形成的?954 / 作者:xNYYWeZq / 帖子ID:45508 当m2足够大,且r足够小的时候,在距离中心位置为r的轨道上,物体要能够在该轨道上运转,需要的速度就达到了光速,伴随着r越小,那么所需要的速度就越大,而当v = c(光速)时,这个r指的就是史瓦西半径。

回复 显示全部楼层 道具 举报

online_member 发表于 2019-4-16 21:43:39
大质量恒星爆炸形成

回复 显示全部楼层 道具 举报

00_avatar_middle
您需要登录后才可以回帖 登录 | 注册会员

手机版|UFO中文网

GMT+8, 2026-5-10 11:16

Powered by Discuz! X3.5

© 2001-2026 Discuz! Team.

快速回复 返回顶部 返回列表