找回密码
注册会员
发新帖
26_avatar_middle

6081

积分

25

好友

210

主题
online_member 发表于 2016-1-5 20:37:04 | 查看: 2396| 回复: 3
解析天文学探索成果:螺旋星系NGC 2857
编号:ZHOU 2016001
时间:2016年1月5日
作者:周坚
作者简介:2008年发现周坚定律,2009年创建解析天文学(民间理论)。
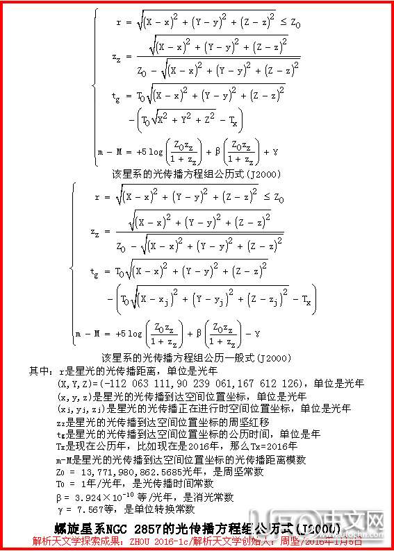
观测结果(依据:美国河外星系数据库/IPAC EXTRAGALACTIC DATABASE):   
天体名称:NGC 2857/ARP 1
天体属性:特殊星系
经度(2000):141.157170°
纬度(2000):49.357064°
视亮度:mv=12.27 mag;mB=12.90 mag
观测红移:zg=0.016301
解析结果(依据:解析天文学):   
周坚红移:zz=0.016301±0.000571
光传播距离:r=220,896,231±7,613,670光年(2.209±0.076亿光年)
光传播时间:t=220,896,231±7,613,670年(2.209±0.076亿年)
光传播距离模数:m-M=34.24±0.08 mag
绝对亮度:Mv=-21.97±0.08 mag;MB=-21.34±0.08 mag
误差来源:多普勒效应
多普勒红移:0±0.000571(负值为多普勒蓝移)
背离视向速度:0±171.231千米/秒(负值为朝向视向速度)
天文解析原理示意图:
解析天文学探索成果:螺旋星系NGC 2857644 / 作者:周坚 / 帖子ID:21125
酷酷的真相:依据Ia超新星哈勃图,将目前认为的空间膨胀产生的宇宙学红移,视作光传播自身行为红移,发现者将这种红移自命名为周坚红移,再借助数轴理论,就能够创建这样一个天文数轴,并对螺旋星系NGC 2857进行天文解析,该主题图表达的就是该星系的天文解析原理示意图。
天文解析坐标及光传播方程组(J2000):
解析天文学探索成果:螺旋星系NGC 285747 / 作者:周坚 / 帖子ID:21125
酷酷的真相:将三个天文数轴做成互为直角,就构成天文空间直角坐标系,再按照J2000经纬度定标,就能够对星系NGC 2857进行空间坐标定位,并创建该星系的光传播方程组,以该主题图反映为证。有了该星系的光传播方程组,我们通过计算就能够获知该星系的光在宇宙空间中向四面八方传播达到任何空间位置的光传播特征等光信息。
光传播方程组公历式(J2000):
解析天文学探索成果:螺旋星系NGC 2857365 / 作者:周坚 / 帖子ID:21125
酷酷的真相:在以J2000经纬度定标的光传播方程组中,只要我们设定银河系在坐标原点上,这是为简单起见而设定我们作为观测者在坐标原点上进行观测,再以我们现在的公历年(现在是2016年,那么现在的公历年就是2016年)为基准来设定星系NGC 2857的光传播时间,由此就创建了该星系的光传播方程组公历式和光传播方程组公历一般式。有了该星系的光传播方程组公历式和光传播方程组公历一般式,我们就能够依据这两个方程组来求解我们所看到的或没有看到的该星系之光,在过去、现在和将来的如何公历年份的光传播特征等光信息。

online_member 发表于 2016-1-5 21:39:05
专家!解析天文学探索成果:螺旋星系NGC 2857147 / 作者:ILUFO / 帖子ID:21125解析天文学探索成果:螺旋星系NGC 2857902 / 作者:ILUFO / 帖子ID:21125解析天文学探索成果:螺旋星系NGC 2857908 / 作者:ILUFO / 帖子ID:21125

回复 显示全部楼层 道具 举报

online_member 发表于 2016-1-6 19:06:34
厉害

回复 显示全部楼层 道具 举报

online_member 发表于 2016-1-7 20:34:42
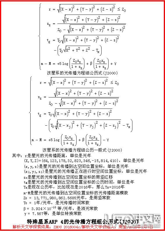
解析天文学探索成果:特殊星系ARP 4
编号:ZHOU 2016004
时间:2016年1月7日
作者:周坚
作者简介:2008年发现周坚定律,2009年创建解析天文学(民间理论)。
观测结果(依据:美国河外星系数据库/IPAC EXTRAGALACTIC DATABASE):   
天体名称:ARP 4/PGC 6626
天体属性:特殊星系
经度(2000):27.106980°
纬度(2000):-12.382030°
视亮度:mv=13.24 mag;mB=13.71 mag
观测红移:zg=0.005384
解析结果(依据:解析天文学):   
周坚红移:zz=0.005384±0.000483
光传播距离:r=73,751,268±6,583,018光年(7.375±0.658千万光年)
光传播时间:t=73,751,268±6,583,018年(7.375±0.658千万年)
光传播距离模数:m-M=31.80±0.19 mag
绝对亮度:Mv=-18.56±0.19 mag;MB=-18.09±0.19 mag
误差来源:多普勒效应
多普勒红移:0±0.000483(负值为多普勒蓝移)
背离视向速度:0±144.883千米/秒(负值为朝向视向速度)
天文解析原理示意图:
解析天文学探索成果:螺旋星系NGC 285779 / 作者:周坚 / 帖子ID:21125
天文解析坐标及光传播方程组(J2000):
解析天文学探索成果:螺旋星系NGC 2857415 / 作者:周坚 / 帖子ID:21125
光传播方程组公历式(J2000):
解析天文学探索成果:螺旋星系NGC 2857825 / 作者:周坚 / 帖子ID:21125


回复 显示全部楼层 道具 举报

00_avatar_middle
您需要登录后才可以回帖 登录 | 注册会员

手机版|UFO中文网

GMT+8, 2026-5-6 07:07

Powered by Discuz! X3.5

© 2001-2026 Discuz! Team.

快速回复 返回顶部 返回列表