找回密码
注册会员
发新帖
59_avatar_middle

204

积分

0

好友

12

主题
online_member 发表于 2023-3-18 19:07:44 | 查看: 550| 回复: 5
根深蒂固的观念,也可能被颠覆,以为不可能的东西,也可能是真的。你知道哪些违反直觉,或者反常识的事情,给大伙儿涨涨姿势吧
online_member 发表于 2023-3-18 19:08:33
少吃+多动,长期结果一定变胖。
某些所谓「通过少吃多动减肥成功」的人,要么吃的并不少,要么动的并不多,要么没有长期维持,要么瘦下来但已经极度不健康了。
「消耗热量>摄入热量就可以减肥」这句话并没错,是符合物理规律的。
摄入热量靠吃,没什么好说的。
但粗暴地认为消耗热量靠运动,就有很大问题了
想必你看过很多这种言论:
吃一个X需要跑步Y分钟才能消耗掉;
喝一杯A相当于走路B小时白走了。
还真没夸张,运动能直接消耗的热量就是那么少。
如果你有可穿戴设备的话,也能发现,往往运动半天才消耗了几十、一百多卡,一杯奶茶就「抵消」了。
那大部分的热量都是怎么消耗的?
答案是,飘走的。
就像刹车时,动能被转化为热能(摩擦生热)飘走了一样,摄入的热量一部分用来维持人体的正常运行,多余的也都转化为热能飘散到空气中了。
至于飘多少,那就要看你的代谢水平了。
有两个指标可以简单评估,一个是心率,一个是体温。
心率的数值不重要(因为每人情况不同),看变化的趋势才重要。
体温的数值不重要(健康人的体温上下变动就那么一两度),看体感才重要。
如果一段时间内,平均心率越来越高,体感温度也越来越暖,那么代谢就是处在上升中。
反之若心率越来越低,手脚也总是冰凉、身上感觉发冷发虚,那么代谢就是正在降低。
代谢受内分泌(甲状腺、肾上腺等)以及各种维生素和矿物质影响,不在这里展开说。
你只需记住,虽然少吃+多动很牛逼,却是逆天而行,变胖是正常的结果
因为你的身体自古以来就是这么设定的——在面对压力时,通过囤积脂肪来增大生存几率
有时还会关闭身体一些相对不重要的功能来节能,比如节食掉头发,熬夜也掉头发……比如女生还可能不来月经。
少吃+多动,相当于把人扔到了食物缺乏的极度恶劣的环境(我称之为「压力谷」),压力能不大吗。
那么问题来了:最开始是怎么胖的?
答案是,最开始压力已经大了。
工作疲劳,家庭争吵,信息爆炸,外貌焦虑,熬夜不睡,晒不到太阳,吃得太少……都可能是压力源。
如果挺住了这一切还能保持健康和身材,那说明你的身体进化的更适合当今的社会。
但大部分人还是在这个过程中日渐圆润。
这才是正常人啊。。。
想减肥,就要先减压。
而不是在已经背负压力的情况下,还把自己丢到压力谷去试炼。
相反,还要多吃,要吃到满足。
热量能够帮人减压,还能提高代谢,最关键的是可以带来活力。
否则就算瘦了,但整天虚弱的如行尸走肉,活着有意思吗。况且还不一定能瘦。
运动有用吗?有的,但有两点要注意。
第一,要逐步提高训练强度,而非训练量。因为没有难度的话,身体是不需要发生改变的。正常跳绳就算跳2000个也太简单了,还不如20个双摇的效果更好。或者哪怕只是把普通单摇加快速度,也是好的。
第二,要不断变化训练动作。越不熟悉的动作,就越需要调动更多肌肉来完成,也就相当于提高了难度,也就回到了上面说的第一点。

关于「少吃多动」的迷思就写到这。

减肥如何调整饮食?看这一篇就够:
减脂期间正确的饮食结构是怎样的?具体怎么搭配?

回复 显示全部楼层 道具 举报

online_member 发表于 2023-3-18 19:08:41
有个乍看起来很反常识的结论:即,有时向网络中添加额外的路径,实际上会减慢该网络的整体流动速度;相反,关闭道路反而可以帮助减少交通流动时间——而这便是布雷斯悖论的全部内容。

有哪些反常识的科学结论,或者反直觉的科学事实?905 / 作者:一品菊花茶酪 / 帖子ID:115485
布雷斯悖论(Braess's paradox),是1968年由德国数学家迪特里希·布雷斯提出的一个悖论,它是指,在一个交通网络上增加一条路段,反而会使得网络上的通行时间增加[1]。
因而,理论上,在一些情况下,去除网络的一部分可能可以改善网络,而现有主要道路关闭后交通反而会得已改善。
这种出力不讨好,且与人们直观感受相背的现象,主要源于:纳什均衡并不一定使社会最优化。

有哪些反常识的科学结论,或者反直觉的科学事实?638 / 作者:一品菊花茶酪 / 帖子ID:115485
悖论的叙述如下:
对于路网中的每一点,给定从该点出发的车辆数量和车辆的目的地。在这些条件下,人们希望预估交通流的分布。一条街道是否优于另一条,不仅取决于道路品质,还取决于车流密度。
如果每个司机都选择看起来对他们最优的道路,由此产生的交通时间未必是最小的。以下例子能够表明这点:道路网络的扩展可能导致交通重新分配,导致个人交通时间变长。
因而,这一附加路段,不但没有减少交通延滞,反而降低了整个交通网络的服务水准。(此时,城市天际线玩家含泪路过
目前,这个悖论已被用来解释现有主要道路关闭时交通流量改善的例子[2]。此外,也有相关的文章在研究这方面的内容[3],不仅仅局限于交通,还有电力[4]、半导体上、路由[5]、以及生物学方面,都有类似的现象值得研究[6]。

有哪些反常识的科学结论,或者反直觉的科学事实?518 / 作者:一品菊花茶酪 / 帖子ID:115485
这个发现,初看是很反直觉的,即向网络添加额外的路径实际上却减慢了网络的整体流动速度,例如:修建一条连接现有道路的新道路会导致时间变长;或者相反,关闭道路反而可以帮助减少交通流通时间。
举个例子来看看这背后的数学原理,现在假设某条路段的起点和终点间有两条道路:

有哪些反常识的科学结论,或者反直觉的科学事实?271 / 作者:一品菊花茶酪 / 帖子ID:115485
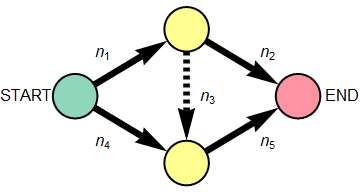
考虑如上图所示的道路网络,现有4000名司机希望在该道路网络上从起点行驶到终点。
然而,这些路线所花费的时间并不是相同的:任何一段旅程所花费的时间是由这条路线的长度、道路的条件以及在这条路线上行驶的汽车数量等因素决定的[7]。

有哪些反常识的科学结论,或者反直觉的科学事实?931 / 作者:一品菊花茶酪 / 帖子ID:115485
假设Start-A 道路上的行驶时间(以分钟为单位)是出行人数 (n) 除以 100,Start-B 上是恒定的 45 分钟(另一侧则对调相反)。
那么,行驶 Start-A-End 路线的人数为 有哪些反常识的科学结论,或者反直觉的科学事实?872 / 作者:一品菊花茶酪 / 帖子ID:115485 时,行驶的时间  将是有哪些反常识的科学结论,或者反直觉的科学事实?25 / 作者:一品菊花茶酪 / 帖子ID:115485 ,驾驶 Start-B-End 路线的人数为 有哪些反常识的科学结论,或者反直觉的科学事实?994 / 作者:一品菊花茶酪 / 帖子ID:115485 时,所需时间  将是 有哪些反常识的科学结论,或者反直觉的科学事实?180 / 作者:一品菊花茶酪 / 帖子ID:115485 。由于有4000名司机,事实上 有哪些反常识的科学结论,或者反直觉的科学事实?246 / 作者:一品菊花茶酪 / 帖子ID:115485 可以用来推导出这样一个事实:即 有哪些反常识的科学结论,或者反直觉的科学事实?291 / 作者:一品菊花茶酪 / 帖子ID:115485 时,系统处于平衡状态时。

有哪些反常识的科学结论,或者反直觉的科学事实?826 / 作者:一品菊花茶酪 / 帖子ID:115485
因此,每条路线采取 有哪些反常识的科学结论,或者反直觉的科学事实?3 / 作者:一品菊花茶酪 / 帖子ID:115485 分钟时达到纳什均衡,即平衡状态。如果任一路线花费的时间更少,这将不是纳什均衡,于是,理性的司机会从较长的路线切换到较短的路线,来使得系统恢复至平衡状态。
到目前为止,一切都还显得很正常。
现在,假设城市决定在最高点和最低点之间修建一条新的超高速公路,沿着这条高速公路行驶只需10分钟。

有哪些反常识的科学结论,或者反直觉的科学事实?53 / 作者:一品菊花茶酪 / 帖子ID:115485
最初,当第一位司机开始尝试时,会发现自己所需时间是 有哪些反常识的科学结论,或者反直觉的科学事实?28 / 作者:一品菊花茶酪 / 帖子ID:115485 分钟,比起上面的65分钟来说,节省了将近 15 分钟。
那么,新的平衡是什么呢?

有哪些反常识的科学结论,或者反直觉的科学事实?844 / 作者:一品菊花茶酪 / 帖子ID:115485
此时此刻,每个人都有三种选择,所需时间分别如下:
有哪些反常识的科学结论,或者反直觉的科学事实?237 / 作者:一品菊花茶酪 / 帖子ID:115485

此外,我们还知道:
有哪些反常识的科学结论,或者反直觉的科学事实?578 / 作者:一品菊花茶酪 / 帖子ID:115485

有哪些反常识的科学结论,或者反直觉的科学事实?801 / 作者:一品菊花茶酪 / 帖子ID:115485
达到纳什均衡时,三者通行时常要相等,联立求解可以得到: 有哪些反常识的科学结论,或者反直觉的科学事实?594 / 作者:一品菊花茶酪 / 帖子ID:115485
这时:
有哪些反常识的科学结论,或者反直觉的科学事实?280 / 作者:一品菊花茶酪 / 帖子ID:115485
在布雷斯悖论的情景下,尽管整体性能下降,但司机仍会继续切换路线,直至达到纳什均衡。
此时,可以看到,新的均衡状态下,新增加的道路对于整体的平均通行时长起到了负面的作用,比之前均衡模式下的65min要足足高出15min。背后的想法是,纳什均衡的达成,可能不等同于通过网络的最佳整体流量[8]。
这就是原因所在,即纳什均衡可能并不意味着通过网络的整体流量最佳。初看还是比较“反常识”或者“反直觉”的,不知道各位有无同样的感受?

有哪些反常识的科学结论,或者反直觉的科学事实?329 / 作者:一品菊花茶酪 / 帖子ID:115485

回复 显示全部楼层 道具 举报

online_member 发表于 2023-3-18 19:09:38
导语:三门问题,也被称为蒙提霍尔问题,是一道著名的概率问题:一个游戏节目中共三扇门,一扇门后有汽车,另两门后只有山羊,你选择了一扇门但不打开,这时主持人会在另两门中打开一个后面是山羊的门,现在你换不换自己刚才选择的门?30年前这一问题被美国一知名杂志刊登后引发了热议,因为直觉告诉我们换不换都是一样的,但答题人选择换。数学爱好者、专业人士纷纷加入讨论,进行了一场旷日持久的论战,还发展出了诸多变种。现在让我们来回顾一下这道经典问题,来看看直觉到底哪出错了,信息又是如何影响结果的。

撰文 | 张和持



问题背景

在美国的一档节目Let's Make a Deal 中,主持人蒙提·霍尔设置了一项小游戏:
在你的面前有三扇门,其中一扇背后藏有一辆价值不菲的汽车;剩下的两扇背后则分别是两头山羊。你现在有机会选择一扇门,选好之后先不要打开,这时主持人会在另外两扇门中,开启一扇山羊门。现在你有两个选择,是应该维持原来的选择,还是转而选择另一扇没有开启的门?

有哪些反常识的科学结论,或者反直觉的科学事实?990 / 作者:连天风火_268 / 帖子ID:115485
这看起来似乎是一个没有深度的问题。可供选择的两扇门之间没有什么不同。不管选哪个,概率都应当是相同的才对。果真如此吗?
实际上这个问题有很古老的历史,可以追溯到法国数学家伯特兰(Joseph Bertand)的盒子悖论,后来著名的数学科普大师马丁·加德纳(Martin Gardner)也提出过与三门问题相似的囚徒问题。1975年美国统计学家塞尔文(Steve Selvin)根据电视节目改编提出了这一问题,投给了《美国统计学家》,这也是蒙提霍尔问题名称的由来。而真正引发讨论是到了1990年,一位读者向当时美国知名杂志《游行》Parade)的专栏“交给玛丽莲”提出了关于这一问题的询问。
玛丽莲·莎凡特(Marilyn vos Savant)曾被吉尼斯世界纪录认定为世界上智商最高的人,后来成为这家杂志社的专栏作者专门回答各类问题。她给出的回答是:应该换门,而且换门后,开出汽车的概率将变为原来的两倍。
玛丽莲的吉尼斯记录颇受争议,她给出的这个答案也同样。人们纷纷向她写信,质疑她的结论。一时间,社会各界都在谈论这诡异的概率。来信表示反对的占了92%,其中有将近  人拿过博士学位;65%来自大学,特别是数学等院系的信,都反对她的答案。蒙提·霍尔问题,或称三门问题,一下子成为了关注的焦点。90年代的十年间,40多种学术刊物发表了关于这一问题超过75篇论文。
反对并不是毫无根据。关于问题和答案的表述不甚严谨,表面上看,我们也看不出换不换门究竟有什么决定性的区别。玛丽莲为了说服反对者,专程组织了几次实验,其结果都证实了她的结论。
笔者听说这个问题,是在多年以前看的另一档美国电视节目 MythBusters ,中文译为 流言终结者 。两位主持人演示过的诸多实验令人印象深刻。这一次他们也同样忠实地再现了三扇门和山羊。最终他们的实验结果证实了玛丽莲的答案:不换门,概率1/3  ;换门,概率2/3  。

有哪些反常识的科学结论,或者反直觉的科学事实?372 / 作者:连天风火_268 / 帖子ID:115485

流言终结者节目

其实我们不一定非得大张旗鼓地搞些花里胡哨的东西,用电脑也能模拟,得出的答案没有不同。

有哪些反常识的科学结论,或者反直觉的科学事实?966 / 作者:连天风火_268 / 帖子ID:115485

计算机模拟29次的结果/图片来源:维基百科

那么这样看来,玛丽莲的答案是对的了。现在的问题是,我们应该如何解释这样的结果?是我们的直觉究竟出了问题吗?接下来我们并不打算解释谁的观点为什么对,谁的观点又为什么错;我们细细来看问题的前因后果,把所有条件和结论整理清楚。


简单直观的图示解答
最不动脑的方法是把所有可能列出来,如下图所示,当玩家选择1号门的情况下所有的可能性。

有哪些反常识的科学结论,或者反直觉的科学事实?132 / 作者:连天风火_268 / 帖子ID:115485

玩家最初选择1号门时的所有可能/图片来源:维基百科

但这并不代表我们真正理解了问题所在。为了解答疑惑,我们先一步一步理清思路。首先,三门问题与两扇门二选一究竟有何不同?或者说,我们刚刚开始选定的这扇门究竟产生了什么样的影响?
第一次的选择,的确是随机的。如果这时候把门打开,那么有车的概率就是1/3  。而剩下的两扇门中,必然有一扇山羊门。所以打开的山羊门不会影响这个1/3  。那么这样说来,用总的 1去减 1/3 ,就应该是剩下那扇门开出汽车的概率,2/3  。这样的确说得过去:一开始概率分布是均匀的:

有哪些反常识的科学结论,或者反直觉的科学事实?273 / 作者:连天风火_268 / 帖子ID:115485
打开山羊门之后,  2/3的概率被“挤”到另一个门上了:

有哪些反常识的科学结论,或者反直觉的科学事实?648 / 作者:连天风火_268 / 帖子ID:115485
回到一开始的疑问:我们一开始的选择对结果产生了什么影响?

用条件概率来直接计算

有哪些反常识的科学结论,或者反直觉的科学事实?707 / 作者:连天风火_268 / 帖子ID:115485

用贝叶斯公式来追本溯源

有哪些反常识的科学结论,或者反直觉的科学事实?569 / 作者:连天风火_268 / 帖子ID:115485
看!果不其然,概率是1/2  。第二个等号其实也算是全概率公式。这个结果符合我们的直觉:如果主持人跟我们一样什么也不知道,那不管换不换门概率都是一样的。至此,我们已经完全搞清楚了这个问题。我们看到,一个看似毫无意义的行为,竟然能为决策者提供如此多的信息。那么在更为复杂的博弈中,找到对手留下的蛛丝马迹便尤为重要。
下面详细说一下这个算式。

有哪些反常识的科学结论,或者反直觉的科学事实?804 / 作者:连天风火_268 / 帖子ID:115485
这种由果溯因的思路一般称为贝叶斯推断。这种方法最早的特例是托马斯·贝叶斯证明的,后来拉普拉斯将其推广,并应用于天体力学、医疗统计学等方面面。在面对未知的自然界时,我们无法知晓其背后的法则,但能观察到现象,比如天体力学中,就是可观测天体的大小、数量与过去的轨迹;医疗统计学中,则是患者的症状、化验结果、CT数据等,有了这些数据,我们就可以猜测,是否存在一个我们尚未观测到的天体,或是患者是否得了某种病。猜测自然有可能是错的,现在我们有了贝叶斯推断,就能反过来计算我们所作假设成立的概率。
这一方法近几十年来更多应用于机器学习领域,或者更窄的概念:统计学习。任何包含了模式识别的算法,基本上都能用上贝叶斯推断,包括人脸识别,自动驾驶,他们会用到更加复杂的概念:当事先不存在假设时,就需要人为设定一项先验分布。不过总的来说,思想与最经典的贝叶斯公式一脉相承。如今,以此为基础的统计学仍在飞速发展。

回复 显示全部楼层 道具 举报

online_member 发表于 2023-3-18 19:09:50
事实上,很多今天在我们看来是“常识”,最初都是“反常识”。


例如,在哥白尼提出日心说之前,人们普遍相信“地心说”,判断地球就是宇宙的中心,而太阳和月亮是围绕着地球运动的,
随着科技的不断发展,经过历史和科学的循环往复验证,
证明了“日心说”的正确性,人们这才从传统的认识误区中“超脱”出来。


有哪些反常识的科学结论,或者反直觉的科学事实?649 / 作者:桃花朵朵149 / 帖子ID:115485

在我们的工作和生活中,常识所带来的思维陷阱无处不在。
很多被普遍认同的所谓科学知识和常识,往往并不“易见”其庐山真面目。


有哪些反常识的科学结论,或者反直觉的科学事实?367 / 作者:桃花朵朵149 / 帖子ID:115485

下面,就和小荒一起来look一look吧!

一、人类只使用10%的大脑?

【误区可能来源】:
心理学家威廉·詹姆斯(William James)1908年的经典著作《人的能量》(The Energies of Men)一书中,表示人类只使用了大脑很小的一部分,但他并未给出具体的百分比。
在此基础上,广为流传着:“我们只使用了大脑的10%”这一说法。

有哪些反常识的科学结论,或者反直觉的科学事实?688 / 作者:桃花朵朵149 / 帖子ID:115485

【事实是】:
科学家已经证明,人类绝不只仅使用10%的大脑容量,
经过MRI机扫描,人脑就连说话这样最简单的任务都需要使用10%以上的大脑。
“人脑仍有90%的巨大潜力等待开发”并不准确!

二、听莫扎特音乐可以改善儿童智力?

【误区可能来源】:
此所谓莫扎特效,应是从1991年美国加州大学发表的一篇论文中演变而来的。
论文中详细记述了对36名学生的研究,
在让他们进行一项任务之前,先听10分钟的莫扎特音乐,结果显示这组人在随后的智能技能测试中表现更好

有哪些反常识的科学结论,或者反直觉的科学事实?560 / 作者:桃花朵朵149 / 帖子ID:115485

【事实是】:
该试验的规模非常小,而且没有任何儿童参加。
却由此应运而生了一大批产品,向有孩子的父母宣传音乐如何能增加孩子的智商。
2010年,综合多项研究的一次大规模分析显示,
听音乐对大脑分析图形能力可能有短期的影响,但没有证据支持对长期智商的影响

有哪些反常识的科学结论,或者反直觉的科学事实?273 / 作者:桃花朵朵149 / 帖子ID:115485

三、据说斗牛表演时,公牛是被红布激怒,这是真的吗?

【误区】:
在观看斗牛表演时,人们发现斗牛士经常用一块红布来吸引公牛的注意,而公牛也常因此发怒,开始攻击人。
流传:“牛很容易被红色的东西激怒,因为红色是鲜血的颜色,而公牛是一种暴躁嗜血的动物。”
【事实是】:
其实不管是红色、蓝色、绿色还是黄色,公牛根本就识别不了鲜艳的颜色
它们像很多动物一样都是【色】盲
在牛眼中的世界,各种颜色统统都表现为红褐色,只是深浅程度不同而已。

有哪些反常识的科学结论,或者反直觉的科学事实?444 / 作者:桃花朵朵149 / 帖子ID:115485
公牛之所以面对斗牛士挥舞的那块红布那么激动,
实际上是因为布的快速运动激怒了它,公牛认为这是来自其它动物的挑衅。

四、食物掉在地上,5秒内捡起来就可以吃?

【五秒法则】
当我们不慎把食物掉在地板上,第一反应通常是下意识的——赶快捡起来!
如果动作麻利,食物足够美味,地面又很干净,很多人恐怕舍不得把食物丢进垃圾桶。
这种广泛存在的观念背后是“五秒法则”—— 只要手够快,细菌就来不及污染它

有哪些反常识的科学结论,或者反直觉的科学事实?167 / 作者:桃花朵朵149 / 帖子ID:115485
在判断掉在地上的食物是否可吃,我们可以从食物污染程度来判断,以下是几个指标:

  • 在地板上停留的时间越长,有害微生物就越多
  • 食物的种类会影响吸附微生物的数量
  • 地板的材质会影响转移微生物的数量

和大家share两个实验:

早在2007年,美国南卡罗来纳州克莱姆森大学的专家们就决定,看看在接触地毯、木材、瓷砖、地板后,鼠伤寒沙门氏菌(引起食物中毒的主要菌种之一)能否附着在腊肠和面包上。
他们的实验发现:

  • 细菌的转移是瞬时发生的,食物在地板上停留的时间越长,有害微生物就越多
【当食物接触刚刚被细菌污染的木头或瓷砖时, 细菌转移率(即食物上沾到的细菌数 与 食物和地板上所有细菌数的比值)可达到50%-70%】

  • 腊肠比面包更容易吸附细菌
  • 地毯转移到食物上的细菌最少,只有不到1%
不过,由于地毯的环境更适合细菌生长,即便细菌转移率如此之低,转移过去的绝对数量还是跟木头和瓷砖所差无几。

有哪些反常识的科学结论,或者反直觉的科学事实?267 / 作者:桃花朵朵149 / 帖子ID:115485

2014年,美国新泽西州的罗格斯大学的研究人员做了类似的实验。
他们选择了4种地板材质、4类食物,外加4个接触时间(1秒、5秒、30秒和300秒),得出了总计2560个测量值。
研究结论表明:

  • 地毯转移细菌最少,钢制品转移细菌最多;
  • 表面潮湿的食物(如水果)最容易被污染;
  • 细菌“搬家”的速度极快;
  • 食物停留的时间越长,情况越不乐观。

有哪些反常识的科学结论,或者反直觉的科学事实?385 / 作者:桃花朵朵149 / 帖子ID:115485

那么,吃下掉在地板上的食物会不会生病呢?
到目前为止,所有研究都没有就此问题给出明确答案。
不过,据专家们的说法,一般民宅内的细菌绝大部分是无害的,其中不少种类来自人类自己的皮肤,而不是来自灰尘。
我们频繁使用的物品,如手机和毛巾,往往是微生物繁衍的温床。
不常使用的物品,往往吸附的微生物数量较少。
在家中,厨房和浴室的地板比较脏,水槽的受污染情况最严重,是细菌的聚集地。

有哪些反常识的科学结论,或者反直觉的科学事实?19 / 作者:桃花朵朵149 / 帖子ID:115485
五、火灾逃生时,尿尿在衣物上捂住口鼻真的有效吗?

前不久,电影《八佰》在影院热播,
影片中有一段描写日军向仓库投掷毒气(氯气)弹,八十八师的士兵们纷纷撒尿润湿毛巾自救,
唯独“老算盘”大喊:“我尿不出来!”

有哪些反常识的科学结论,或者反直觉的科学事实?429 / 作者:桃花朵朵149 / 帖子ID:115485

(危机时刻,尿不出来可真要命呀!)

等等,我们回到这里的关注点,尿液在这里真的能起到吸收毒气(氯气)的作用吗?
【尿液吸收毒气这一说法的可能来源】:
在第一次世界大战早期,对于毒气的防护还没有很好的办法,防护措施十分简陋;
加拿大军队在同德军作战时,就在氯气弹袭来时在衣服上小便,然后用浸着尿液的衣服捂住口鼻来避免吸入氯气。


有哪些反常识的科学结论,或者反直觉的科学事实?140 / 作者:桃花朵朵149 / 帖子ID:115485

【真相是】:
一般来说,正常人的尿液呈弱酸性,不会与氯气中和;
不过尿液中含有氨,是会和氯气反应的,再加上氯气本身比较容易溶于水,
所以,关键时刻尿尿浸湿毛巾,还是能够起到一定的防护作用!

不过,一般来说氯气泄漏的时候,最好用防毒口罩
没有的话可以用弱碱性的物质,如苏打水或者浸毛巾轻捂口鼻(毛巾要拧得略干一点);
但不要用强碱,强碱会灼烧皮肤。

有哪些反常识的科学结论,或者反直觉的科学事实?642 / 作者:桃花朵朵149 / 帖子ID:115485

这里小编还想强调一点:

在火灾疏散时,千万不要用 湿 毛 巾 捂住口鼻“穿越浓烟”逃生!!!
湿毛巾捂住口鼻虽然能抵挡一定的刺鼻气味,
但在充满浓烟的场景中,人体吸收进浓烟而出现窒息的可能性更大,
再者,火灾现场产生的一氧化碳是无法溶于水的,这就是湿毛巾捂口鼻这一方法的局限性。
正确做法是尽量不穿过浓烟,寻找能够安全逃生或等待救援的地方。
去年,在国家博物馆举行消防综合演练活动上,
应急管理部消防救援局社会消防工作指导处负责人司戈现场讲解消防安全知识时谈到:

有哪些反常识的科学结论,或者反直觉的科学事实?799 / 作者:桃花朵朵149 / 帖子ID:115485

有哪些反常识的科学结论,或者反直觉的科学事实?764 / 作者:桃花朵朵149 / 帖子ID:115485
总结起来就是:
千万不要以为有湿毛巾就可以无所顾忌的穿越浓烟!
湿毛巾是否有效得看具体情形,在高温和浓烟条件下,湿毛巾确实起不到多大作用!

六、刮得越多,胡子/眉毛就会长得越浓密?

【误区】
我们经常可以听到∶"不要每天刮胡子,胡子会越刮长得越浓的"。

【事实是】:
NO.
每个人的体毛 ,不论头发、眉毛、腋毛、阴毛及男性的胡子,均是有一定数量的,
受到营养状况、健康状况、遗传因素和内分泌影响,遗传因素在其中起着决定性作用,而与是否经常刮胡子、刮体毛的关系不大。
体毛的数量可以在一定小范围内波动,但绝不会因刮、剃而数量越来越多。

有哪些反常识的科学结论,或者反直觉的科学事实?34 / 作者:桃花朵朵149 / 帖子ID:115485

美国费列休教授也说∶"常刮体毛就能促进生长的说法,缺乏现实性的证据。"
这时候,有些人就会反驳说∶
为什么我的眉毛原来稀稀拉拉,刮过之后就显得浓密了呢?”

这其实涉及到体毛的“脱落”时间
我们的体毛每时每刻都在缓慢地生长着,
在生长过程中,常会自然脱落,如在洗脸、洗澡和穿、脱衣服时因外力而脱落,
脱落的发生通常是对于生长到一定长度的体毛而言。

有哪些反常识的科学结论,或者反直觉的科学事实?110 / 作者:桃花朵朵149 / 帖子ID:115485
刮毛之后新生长出来的体毛在一定时间内是不易脱落的,
所以在数量上比较多,看起来似乎比以前黑了,显得比刮毛之前浓密。
但是,当这些体毛过了长到一定程度之后,就会发生脱落,浓密的体毛又逐渐变得稀疏了。
所以,刮毛之后体毛变浓只是一个暂时的现象,它并不能证明"越刮越浓"。
<hr/>世界无穷  慢慢了解!


有哪些反常识的科学结论,或者反直觉的科学事实?150 / 作者:桃花朵朵149 / 帖子ID:115485
<hr/>
有哪些反常识的科学结论,或者反直觉的科学事实?805 / 作者:桃花朵朵149 / 帖子ID:115485

回复 显示全部楼层 道具 举报

00_avatar_middle
您需要登录后才可以回帖 登录 | 注册会员

手机版|UFO中文网

GMT+8, 2026-4-4 09:21

Powered by Discuz! X3.5

© 2001-2026 Discuz! Team.

快速回复 返回顶部 返回列表