找回密码
注册会员
发新帖
05_avatar_middle

237

积分

0

好友

13

主题
online_member 发表于 2023-3-2 15:49:58 | 查看: 390| 回复: 0
希尔伯特变换在信号处理中应用非常广,其最开始是由大数学家希尔伯特(David Hilbert)为解决黎曼-希尔伯特问题(the Riemann–Hilbert problem)中的一个特殊情况而引入。
该变换物理意义非常明确:把信号所有频率分量相位推迟90度。
<hr/>相关证明后续给出,比如,cos(wt)经希尔伯特变换后为sin(wt)。

希尔伯特变换详解 (the Hilbert transform)479 / 作者:梦太晚616 / 帖子ID:114575

cos(wt)经过希尔伯特变换,相位推迟90°,振幅不变

1 定义

函数 u(t) 的希尔伯特变换定义为:\mathrm{H}(u)(t)=\frac{1}{\pi} \mathrm{p} \cdot \mathrm{v} \cdot \int_{-\infty}^{+\infty} \frac{u(\tau)}{t-\tau} \mathrm{d} \tau \\ 其中, \mathrm{p} \cdot \mathrm{v} \cdot  代表柯西主值(the Cauchy principal value),也就是瑕积分的积分值。
\mathrm{p} \cdot \mathrm{v} \cdot  也可以用 P 替换。
从上面定义可以看出,某函数 u 的希尔伯特变换就是该函数和 h =\frac{1}{\pi t} 的卷积,即, \mathrm{H}(u)(t)=u*h=\frac{1}{\pi} \mathrm{p} \cdot \mathrm{v} \cdot \int_{-\infty}^{+\infty} \frac{u(\tau)}{t-\tau} \mathrm{d} \tau \\ 举个例子,计算cos(wt)的希尔伯特变换:
\begin{aligned} H\{\cos \omega t\} &  =\frac{1}{\pi} P \int_{-\infty}^{\infty} \frac{\cos \omega \tau}{t-\tau} d \tau \\ & =\frac{1}{\pi} P \int_{-\infty}^{\infty} \frac{\cos [\omega(t-y)]}{y} d y \\ & =\frac{1}{\pi}\left\{\cos \omega t (P \int_{-\infty}^{\infty} \frac{\cos \omega y}{y} d y)+\sin \omega t(P \int_{-\infty}^{\infty} \frac{\sin \omega y}{y} d y)\right\} \\ & =\sin \omega t . \end{aligned}
   由于H\{\cos \omega t\}=\sin \omega t =\cos (\omega t-\frac{\pi}{2})\\ 这表明希尔伯特变换让原信号所有频率分量相位推迟90度。
注意瑕积分, \int_{-\infty}^{\infty} \frac{\sin \omega y}{y} d y=\pi \\
更一般地,对信号 u(t)=e^{i(\omega t+\varphi)}\\利用和上面同样的推导,可得其希尔伯特变换为, H\{u(t)\} =e^{i(\omega t+\varphi -\frac{\pi}{2})}\\即:把信号所有频率分量相位推迟90度。
2 频率域性质

在频率域,对函数 f 进行希尔伯特变换,实质为在 f 的傅里叶变换结果 F(\omega) 前乘一个系数 H(\omega) , \begin{equation} \ H(\omega)= \begin{cases}i=e^{+\frac{i \pi}{2}}, & \text { for } \omega<0 \\ 0, & \text { for } \omega=0 \\ -i=e^{-\frac{i \pi}{2}}, & \text { for } \omega>0\end{cases} \end{equation}\\ 即把 F(\omega) 所有正频率向后移动90°相位,所有负频率向前移动90°相位。
此处需注意:所有正负频率合一起,才是一个我们看到的正/余弦波。
此处与时间域上希尔伯特物理意义:把信号所有频率分量相位推迟90度,不矛盾。
正负频率可理解为旋转方向,若逆时针为正频率,那顺时针就是负频率。

希尔伯特变换详解 (the Hilbert transform)261 / 作者:梦太晚616 / 帖子ID:114575
这个性质如何证明?
对函数 f 进行希尔伯特变换(f*h)后,再换到频率域为, F(f*h)\\ F 代表傅里叶变换, 利用卷积性质: F(f*h)=F(f)F(h)=F(\omega)H(\omega)\\
那么,只需证明 h =\frac{1}{\pi t} 的傅里叶变换结果 F(h) 等于 H(\omega) , \begin{equation} \ H(\omega)= \begin{cases}i=e^{+\frac{i \pi}{2}}, & \text { for } \omega<0 \\ 0, & \text { for } \omega=0 \\ -i=e^{-\frac{i \pi}{2}}, & \text { for } \omega>0\end{cases} \end{equation}\\ 仔细观察上式,不太像直接傅里叶变换后的结果,那我们这样做,
令 \begin{equation} \ G(\omega)= \begin{cases}ie^{\sigma \omega}, & \text { for } \omega<0 \\  -ie^{\sigma \omega}, & \text { for } \omega>0\end{cases} \end{equation}\\ 那么,
\lim_{\sigma\rightarrow 0}{G(\omega)}=H(\omega) \\ 那么只需要对 G(\omega) 进行傅里叶逆变换,然后让 \sigma 趋于0,
若其结果等于 \frac{1}{\pi t} ,则说明该性质成立。 \begin{aligned} g(t) & =F^{-1} G(\omega) \\ & =\frac{1}{2 \pi} \int_{-\infty}^0 i e^{\sigma \omega} e^{i \omega t} d \omega+\frac{1}{2 \pi} \int_0^{\infty}-i e^{-\sigma \omega} e^{i \omega t} d \omega \\ & =\frac{i}{2 \pi} \int_0^{\infty}\left(e^{-(\sigma+i t) \omega}-e^{-(\sigma-i t) \omega}\right) d \omega \\ & =\frac{i}{2 \pi}\left[-\frac{1}{\sigma+i t} e^{-(\sigma+i t) \omega}+\frac{1}{\sigma-i t} e^{-(\sigma-i t) \omega}\right]_0^{\infty} \\ & =\frac{t}{\pi\left(\sigma^2+t^2\right)} . \end{aligned}\\ 显然,上式当\sigma 趋于0时,g(t)=\frac{1}{\pi t}\\
3 性质

1)线性: H(f)=H(c_1f_1+c_2f_2)=c_1H(f_1)+c_2H(f_2)\\ 该式子利用定义易证。
2)多重变换: H^2(f)=-f \\ 该式子表示对同一个函数做两次希尔伯特变换,得到负的该式子。
可这样理解,
H(\cos(\omega t)) = \sin(\omega t)\\
H(H(\cos(\omega t)))=H(\sin(\omega t))= \sin(\omega t-\frac{\pi}{2})=-\cos(\omega t) \\ 进一步, H^4(f)=f \\ 3)希尔伯特逆变换: H^4(f)=HH^3(f)=f \Rightarrow  H^{-1}(f)=H^3(f)\\ 即:一次为希尔伯特变换,二次得负的原式子,三次得希尔伯特逆变换,四次返回原式子。
在频率域:
H^{(n)}f(t) \stackrel{F}{\Leftrightarrow} (-i \mathrm{sgn}(\omega))^nF(\omega) \\ \Leftrightarrow 上面的F表示对 H^{(n)}f(t)  进行傅里叶变换。
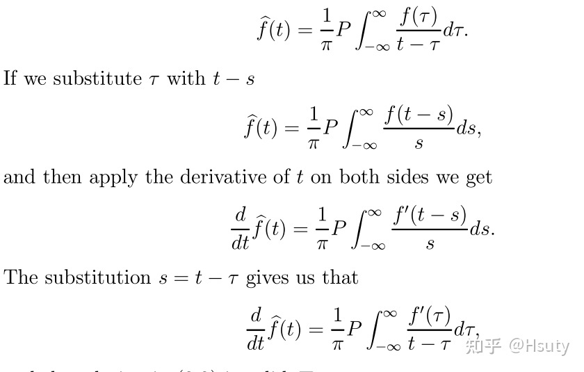
4) 导数: f^{'}(t) \stackrel{H}{\Leftrightarrow}\frac{d}{dt}H(f(t))\\ 先求导数,再变换=先变换,再求导数。
证明

希尔伯特变换详解 (the Hilbert transform)640 / 作者:梦太晚616 / 帖子ID:114575
5)正交性: \int_{-\infty}^{+\infty}f(t)H(f(t))dt=0\\ 正交性证明需要利用Plancherel公式

希尔伯特变换详解 (the Hilbert transform)363 / 作者:梦太晚616 / 帖子ID:114575
证明正交性: \begin{equation} \begin{aligned} \int_{-\infty}^{\infty} f(t) \hat{f}(t) d t & =\frac{1}{2 \pi} \int_{-\infty}^{\infty} F(\omega)(-i \operatorname{sgn}(\omega) F(\omega))^* d \omega \\ & =\frac{i}{2 \pi} \int_{-\infty}^{\infty} \operatorname{sgn}(\omega) F(\omega) F^*(\omega) d \omega \\ & =\frac{i}{2 \pi} \int_{-\infty}^{\infty} \operatorname{sgn}(\omega)|F(\omega)|^2 d \omega,\\ & = 0. \end{aligned} \end{equation} \\
4 常见函数希尔伯特变换


希尔伯特变换详解 (the Hilbert transform)663 / 作者:梦太晚616 / 帖子ID:114575
图像

希尔伯特变换详解 (the Hilbert transform)621 / 作者:梦太晚616 / 帖子ID:114575

希尔伯特变换详解 (the Hilbert transform)912 / 作者:梦太晚616 / 帖子ID:114575
5 尾声

在无限半空间,三型破裂恒定速度破裂过程中,剪切应力是断层滑动速度的希尔伯特变换,再乘常数。
此处见定量地震学539页,公式11.3, \begin{equation} \tau_{y z}\left(x^{\prime}\right)=-\frac{\mu}{2 \pi} \sqrt{1-v^2 / \beta^2} \int_{-\infty}^0 \frac{\partial \Delta w / \partial \xi}{x^{\prime}-\xi} d \xi=-\frac{\mu}{2 \pi} \frac{\sqrt{1-v^2 / \beta^2}}{v} \int_{-\infty}^0 \frac{\Delta \dot{w}}{\xi-x^{\prime}} d \xi \end{equation}\\ 这意味着:剪切应力和滑动速度变换趋势一致,只是慢半拍?
推荐阅读

Hsuty:从傅里叶级数到傅里叶变换 (From Fourier Series to Fourier transform)
Hsuty:卷积, 相关与反卷积
Hsuty:复变函数基本概念与定理
Hsuty:希尔伯特变换(Hilbert Transform)在地震学中的应用
参考资料

https://en.wikipedia.org/wiki/Hilbert_transform
https://courses.mai.liu.se/GU/TATA57/tata57_fo07.pdf
The Hilbert transform-Mathias Johansson
00_avatar_middle
您需要登录后才可以回帖 登录 | 注册会员

手机版|UFO中文网

GMT+8, 2026-4-3 06:42

Powered by Discuz! X3.5

© 2001-2026 Discuz! Team.

快速回复 返回顶部 返回列表