找回密码
注册会员
发新帖
79_avatar_middle

247

积分

0

好友

13

主题
online_member 发表于 2023-2-27 17:05:24 | 查看: 558| 回复: 5
文章《我天文学家在「黑洞吸积」领域取得重要进展》中提到:
然而,袁峰科研团队的最新研究却表明,进入黑洞「势力范围」的气体大概有接近 99% 都通过风损失掉了,只有 1% 最终进入了黑洞。这一关于热吸积流中存在风的理论,得到了实际观测的完全证实。袁峰说,「黑洞吸积盘存在很强的风,大部分气体都以风的形式被黑洞抛出去了,没有进入黑洞。距离黑洞越远,通过风被黑洞抛出去的几率就越大」。
这个「风」要怎么理解?
online_member 发表于 2023-2-27 17:06:12
三年前的问题,尽管我现在才看到,但还是想答一下。
首先,宇宙中有风吗?
如果你是指“Wind”这个词的话,那答案是,而且还有很多种,比如星风Stellar Wind),以及问题描述中提到的盘风disk wind)。既然问题描述是关于盘风的,那我就介绍一下盘风好了。
什么是盘风?它与地球上的风又有什么不同?

从吸积流的温度的角度进行划分的话,黑洞吸积盘被分为“”和“”两种。其中热吸积盘模型被认为可以很好的诠释低光度活动星系核的机制以及黑洞X射线双星的低/硬态。
研究表明黑洞热吸积流中存在着很强的外流,外流产生的物理原因是由于吸积流的熵随着半径的减小而增大,因此吸积流是对流不稳定的,会产生对流的外流。因此,与地球上风的定义不同,热吸积流中的风可以被理解为是一种非准直的外流
也就是说,气体在被黑洞吸积、落入黑洞的同时,会产生风。没错,和黑洞热吸积流中产生的喷流的很像,但区别在于以下两点:

  • 喷流是准直性很强的结构,而风是非准直性的,风的立体角很大
  • 喷流的速度可以达到相对论速度或接近光速,而相比来说,风的速度很慢
而按照问题描述中提到的袁峰老师本人的解释,风“指的是非常发散(即张开的立体角很大,如几十度),运动速度远低于光速的物质外流”。

宇宙里是否有风?701 / 作者:123457923 / 帖子ID:113937

图一:黑洞吸积过程中产生的风。黑洞位于中心,赤道面附近是内流主导,极向区域则存在显著的旋风。

那么天文学家是怎么发现风的存在的?
这要从1999年说起了,那一年萨比星人入侵...咳咳不好意思拿错剧本了。
1999年,普林斯顿大学James.Stone利用他们自己开发的Zeus-2D程序完成了第一个黑洞吸积流的整体数值模拟工作。这一开创性的工作最重要的发现是,吸积率并不是大家之前认为的是半径的常数,而是随着半径的减小而减小。
在这项工作中,Stone首先在Zeus-2D中采用球坐标系 宇宙里是否有风?506 / 作者:123457923 / 帖子ID:113937 设置黑洞的初始条件。设定一个中心位于宇宙里是否有风?704 / 作者:123457923 / 帖子ID:113937 处的具有一定角动量和密度分布的厚的环面,其所处环境气体压强 宇宙里是否有风?675 / 作者:123457923 / 帖子ID:113937宇宙里是否有风?405 / 作者:123457923 / 帖子ID:113937宇宙里是否有风?322 / 作者:123457923 / 帖子ID:113937 为给定的系数, 宇宙里是否有风?566 / 作者:123457923 / 帖子ID:113937 为密度,且有如下关系式:

  • 宇宙里是否有风?702 / 作者:123457923 / 帖子ID:113937
  • 宇宙里是否有风?656 / 作者:123457923 / 帖子ID:113937
其中 宇宙里是否有风?614 / 作者:123457923 / 帖子ID:113937 是多方指数, 宇宙里是否有风?190 / 作者:123457923 / 帖子ID:113937 是环面的中心也是密度最大的位置, 宇宙里是否有风?333 / 作者:123457923 / 帖子ID:113937 是给定的畸变参数,取 宇宙里是否有风?82 / 作者:123457923 / 帖子ID:113937宇宙里是否有风?849 / 作者:123457923 / 帖子ID:113937 以及 宇宙里是否有风?703 / 作者:123457923 / 帖子ID:113937 ,并通过计算的出环面中星际物质所具有的角动量是一个常数,该常数为 宇宙里是否有风?313 / 作者:123457923 / 帖子ID:113937
设置好参数之后利用超级计算机计算便得出了环面密度在吸积过程随时间演化的图像:

宇宙里是否有风?961 / 作者:123457923 / 帖子ID:113937

图二:颜色越深密度越大,左侧中心位置为黑洞奇点。

随后Stone通过计算得出了质量内流率、外流率和净吸积率的表达式:

  • 宇宙里是否有风?425 / 作者:123457923 / 帖子ID:113937
  • 宇宙里是否有风?659 / 作者:123457923 / 帖子ID:113937
  • 宇宙里是否有风?598 / 作者:123457923 / 帖子ID:113937
  • 宇宙里是否有风?505 / 作者:123457923 / 帖子ID:113937
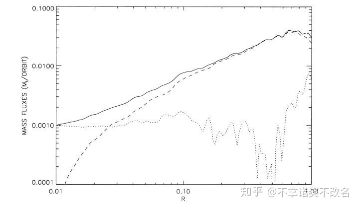
然后根据之前的数值模拟所得出的数据计算质量内流率、外流率和净吸积率,得到吸积率的图像:

宇宙里是否有风?432 / 作者:123457923 / 帖子ID:113937

图三:实线代表内流率,虚线代表外流率,点线代表净吸积率。

从图中我们可以发现,质量内流率和外流率都随着半径的减小而降低。质量外流率和内流率可以近似看做半径的幂律函数。这是很令人吃惊的结果,因为以前的解析研究几乎无一例外全都假设黑洞吸积的质量吸积率是半径的常数。
为解释这一数值模拟结果,国际上两个著名的研究组提出了两个竞争性的模型。这两个模型分别为斯坦福大学Blandford与他的合作者提出的ADIOS模型 (adiabaticinflow-outflow solution),以及哈佛大学Narayan与他的合作者们提出的CDAF模型(convection-dominated accretion flow)。
在 ADIOS 模型中,作者假设由于的存在,使得吸积气体逐渐损失,导致吸积率随着半径减小而减小。至于风是怎样产生的,ADIOS模型没有给出解释。
CDAF模型则是基于基于热吸积流是对流不稳定的假设而建立的。在CDAF模型中,对流向内转移角动量的效率和粘滞向外转移角动量的效率相同,互相抵消。因此,在黑洞附近会形成一个对流元包。对流元包中,气体始终在向内和向外做对流运动,气体逐渐被锁在对流元包中而没有被吸积进入黑洞,这导致了吸积率随半径的变化。
这两个模型相互竞争了十几年的时间,期间邵逸夫天文奖获得者Hawley教授和原作者Stone教授等著名吸积盘专家也都加入了对该问题的讨论,但一直没有得出明确的结论。
直到2012年,问题描述中提到的中国科学院上海天文台袁峰老师在与导师Narayan教授合写一篇ARA&AAnnual Review of Astronomy and Astrophysics)的约稿时发现,自己老师的模型也许是错误的!
随后袁峰老师等人运用磁流体力学数值模拟方法,对这一问题进行了研究。问题的关键在于,数值模拟中,真正的外流 (风) 到底有多少比例。在外吸积率公式中,只要速度 宇宙里是否有风?189 / 作者:123457923 / 帖子ID:113937,我们就将这部分气体看做外流。在吸积流中,真正的外流和对流元包中向外运动的成分同时存在,因此,外吸积流公式计算的外流率既包含真正的外流也包含对流成分。他随后计算和比较了外流和内流的各种物理性质,如温度径向速度转动速度等。他发现,外流和内流的性质差别巨大。如果内吸积流公式和外吸积流公式给出的内外流率是对流元包对流运动所主导,可以预期,内流和外流的性质差别不大。随后他还研究了含磁场的吸积流的对流稳定性,发现吸积流是对流稳定的,也就是说CDAF模型的基础假设存在问题。基于这两方面的原因,袁峰老师得出结论,Stone给出的外流率中,真正的外流,即风,应该是主导的。吸积率随半径的变化原因在于外流而不是对流,即ADIOS模型是正确的。这一研究解决了黑洞吸积的一个基本问题,结束了在该问题上的争论。
同时,幸运的是,2013年,国际上一个由60余人组成的国际合作研究团队一起申请到了针对银河系中心黑洞吸积流的钱德拉X射线太空望远镜的长达300万秒的观测时间。这次国际合作成果发表在了Science上,主要成果就是证明热吸积流的确存在外流,证实了袁峰老师上一年的理论研究结果。
吾爱吾师吾更爱真理
参考文献:

[1]. Note:关于黑洞吸积率的数值模拟工作
[2]. Stone, J., Pringle, J. & Begelman, M. 1999, MNRAS, 310,1002.
[3]. 袁峰:黑洞周围发生了什么?
[4]. Yuan, F. & Narayan, R. 2014, ARA&A, 52, 529.

回复 显示全部楼层 道具 举报

online_member 发表于 2023-2-27 17:06:42
你可以这样来理解黑洞吸积过程产生的风:当你在用猛火烧水的时候,你会发现一部分水获得热量向上涌出。类似的过程也发生在黑洞的吸积系统:被吸积气体下落过程中引力势能转换为动能,动能又转化为气体内能和磁场能量,部分气体(尤其是在吸积盘表面的气体)在气压、磁压、磁离心力作用下克服引力向外运动,形成了风。如果吸积盘光度很大,那么辐射压也可以驱动气体向外运动。具体哪种驱动力占主导要根据具体情况分析。这就是黑洞盘风的由来。

宇宙里是否有风?675 / 作者:小饱1 / 帖子ID:113937
      (图片: Stone et al. 1999, MNRAS, 310, 1002)

回复 显示全部楼层 道具 举报

online_member 发表于 2023-2-27 17:06:55
恒星风

回复 显示全部楼层 道具 举报

online_member 发表于 2023-2-27 17:07:27
@刘博洋 童鞋指正说disk wind通常翻译成「盘风」,所以记者同志只是少听了一个字(虽然是重要的字)
===============================
上海天文台的报道里说的是「外流」
看到原论文里段落3.4提到: “Outside the quasi-relativistic disk jet and above the main disk body lies the disk wind, which is the bulk of the mass outflow from the disk.”
大略翻译: 在准相对论性吸积盘喷流外,吸积盘主体之上存在「外流」,即正在从吸积盘向外流动的物质。
个人觉得直译成风一点都不准确,应该是记者的想当然,或者是听研究人员浅显说明时抓错了要点。这又一次说明了报道科学的记者们提高科学素养的必要性。
附一: 应该是新闻来源的新华网报道。
我国天文学家探究“黑洞吸积”获重要进展
附二: 中国科学院上海天文台的报道,比新华网早了两个半月。
上海天文台的黑洞吸积研究获国际同行高度认可----中国科学院上海天文台
附三: 袁峰研究员的论文原文。发布于今年6月18日,后刊登于 《天文和天体物理年度综述》杂志上(《Annual Review of Astronomy and Astrophysics》 ARA&A )
Hot Accretion Flows Around Black Holes

回复 显示全部楼层 道具 举报

00_avatar_middle
您需要登录后才可以回帖 登录 | 注册会员

手机版|UFO中文网

GMT+8, 2026-4-4 10:48

Powered by Discuz! X3.5

© 2001-2026 Discuz! Team.

快速回复 返回顶部 返回列表