找回密码
注册会员
发新帖
90_avatar_middle

183

积分

0

好友

9

主题
online_member 发表于 2023-2-24 16:15:49 | 查看: 376| 回复: 1
「是小杜好友的可以直接和小杜索要源代码和实例数据,我希望的是:交流(Communication)!!欢迎来扰!!不要客气,要不你的加友费浪费了哦!」
加权基因共表达网络分析 (WGCNA, Weighted correlation network analysis)是用来描述不同样品之间基因关联模式的系统生物学方法,可以用来鉴定高度协同变化的基因集, 并根据基因集的内连性和基因集与表型之间的关联鉴定候补生物标记基因或治疗靶点。
<hr/>本博文,排版好的教程在:
<hr/>「WGCNA的教程总汇」
  01.加权基因共表达网络分析 (WGCNA)| 共表达网络模块构建 |生物信息学数据分析必备技能
  02.WGCNA中模块基因输出cytoscape节点信息文件| 构建模块讨论代码讨论
  03.一文看懂WGCNA 分析(来自生信技能树)
我们目前使用WGNCA分析最多的代码,应该还是来自生信技能树曾健明老师分享的教程一文看懂WGCNA 分析(来自生信技能树)。但是,在网络上各类的教程非常多,导致你可能使用不同的代码跑WGCNA流程,获得结果可能是有差异的,我在WGCNA分析,结果到底有多少迷?也提过。
但是最终有多少人自己认真的分析过自己的数据的呢?这就不知道了,只能自己问自己了。最近,也有一部分的童鞋在咨询WGCNA的教程,以及提及自己的分析获得的结果不符合预期值。对于这些问题,可以进行多方面的调整,如基因数量,表达丰度,软阈值等等一系列的操作。
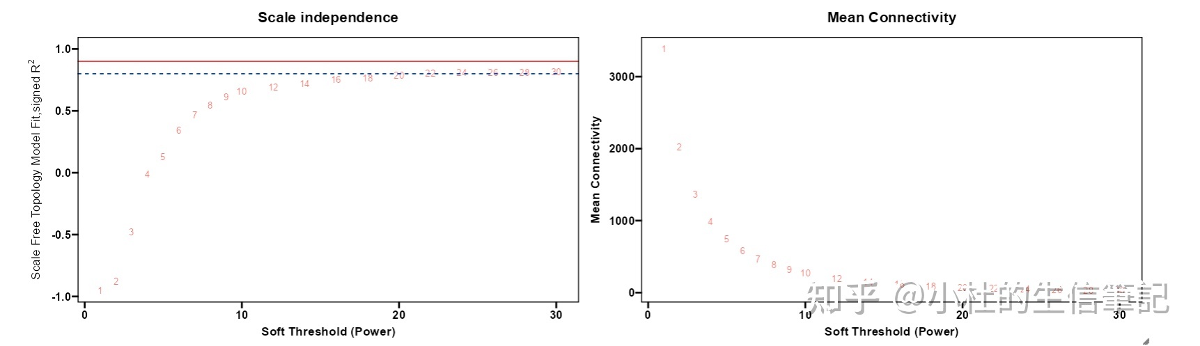
「今天不同的方法跑了WGCNA数据的,结果如下。」
<hr/>「method one:」

WGCNA分析 | 你的数据结果真的是准确的吗??642 / 作者:Holily1985 / 帖子ID:113204

WGCNA分析 | 你的数据结果真的是准确的吗??23 / 作者:Holily1985 / 帖子ID:113204

WGCNA分析 | 你的数据结果真的是准确的吗??588 / 作者:Holily1985 / 帖子ID:113204

WGCNA分析 | 你的数据结果真的是准确的吗??346 / 作者:Holily1985 / 帖子ID:113204

WGCNA分析 | 你的数据结果真的是准确的吗??105 / 作者:Holily1985 / 帖子ID:113204

WGCNA分析 | 你的数据结果真的是准确的吗??149 / 作者:Holily1985 / 帖子ID:113204

WGCNA分析 | 你的数据结果真的是准确的吗??52 / 作者:Holily1985 / 帖子ID:113204

WGCNA分析 | 你的数据结果真的是准确的吗??399 / 作者:Holily1985 / 帖子ID:113204

WGCNA分析 | 你的数据结果真的是准确的吗??261 / 作者:Holily1985 / 帖子ID:113204

WGCNA分析 | 你的数据结果真的是准确的吗??186 / 作者:Holily1985 / 帖子ID:113204

WGCNA分析 | 你的数据结果真的是准确的吗??958 / 作者:Holily1985 / 帖子ID:113204
<<< 左右滑动见更多 >>>
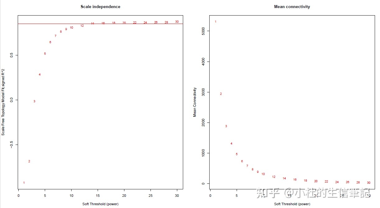
<hr/>「method two:」

WGCNA分析 | 你的数据结果真的是准确的吗??419 / 作者:Holily1985 / 帖子ID:113204

WGCNA分析 | 你的数据结果真的是准确的吗??83 / 作者:Holily1985 / 帖子ID:113204

WGCNA分析 | 你的数据结果真的是准确的吗??444 / 作者:Holily1985 / 帖子ID:113204

WGCNA分析 | 你的数据结果真的是准确的吗??362 / 作者:Holily1985 / 帖子ID:113204

WGCNA分析 | 你的数据结果真的是准确的吗??741 / 作者:Holily1985 / 帖子ID:113204

WGCNA分析 | 你的数据结果真的是准确的吗??984 / 作者:Holily1985 / 帖子ID:113204

WGCNA分析 | 你的数据结果真的是准确的吗??366 / 作者:Holily1985 / 帖子ID:113204

WGCNA分析 | 你的数据结果真的是准确的吗??726 / 作者:Holily1985 / 帖子ID:113204

WGCNA分析 | 你的数据结果真的是准确的吗??898 / 作者:Holily1985 / 帖子ID:113204

WGCNA分析 | 你的数据结果真的是准确的吗??572 / 作者:Holily1985 / 帖子ID:113204
<<< 左右滑动见更多 >>>
<hr/>「method three:」

WGCNA分析 | 你的数据结果真的是准确的吗??276 / 作者:Holily1985 / 帖子ID:113204

WGCNA分析 | 你的数据结果真的是准确的吗??118 / 作者:Holily1985 / 帖子ID:113204

WGCNA分析 | 你的数据结果真的是准确的吗??951 / 作者:Holily1985 / 帖子ID:113204

WGCNA分析 | 你的数据结果真的是准确的吗??819 / 作者:Holily1985 / 帖子ID:113204

WGCNA分析 | 你的数据结果真的是准确的吗??801 / 作者:Holily1985 / 帖子ID:113204

WGCNA分析 | 你的数据结果真的是准确的吗??312 / 作者:Holily1985 / 帖子ID:113204

WGCNA分析 | 你的数据结果真的是准确的吗??348 / 作者:Holily1985 / 帖子ID:113204

WGCNA分析 | 你的数据结果真的是准确的吗??821 / 作者:Holily1985 / 帖子ID:113204
<hr/>
WGCNA分析本来就不是一个一次性就可以获得结果的分析过程,需要不断参数调整。
那么这么多分析教程,誰的结果才是正确的呢?这也许就是个迷吧!今天的教程到这里就结束了。
「最后,做个统计。有多少同学想要获得这些代码的呢???」
「对于WGCNA的结果你有什么感想呢??哈哈哈哈哈.....(这是个有坑的问题!)」
「往期回顾:」
01-[R语言可视化-精美图形绘制系列]--精美火山图
02-[R语言可视化-精美图形绘制系列--柱状图
03-[R语言可视化-精美图形绘制系列--功能富集分析
04-[R语言可视化-精美图形绘制系列—多组GO富集可视化
05-[R语言可视化-精美图形绘制系列--堆积图]
06-[R语言可视化-精美图形绘制系列--组间相关性分析]
07-[R语言可视化-精美图形绘制系列]--Mental分析
08-[R语言可视化-精美图形绘制系列--复杂热图+两图渐变连线]-【转载】
09-[R语言可视化-精美图形绘制系列--桑基图(Sankey)]
10-[R语言可视化-精美图形绘制系列--柱状图误差线标记]11-跟着NC学作图 | 柱状图与相关性图12-[R语言可视化-精美图形绘制系列--GO、KEGG富集通路关联图]
13-[跟着“基迪奥生物学”作图]--截断图14-[R语言可视化-精美图形绘制系列]--显著性箱线图
14-2[R语言可视化]--箱线图不同的画法及参数设置 | 学习笔记15-[R语言可视化-精美图形绘制系列]--组内相关性分析
16-[R语言可视化-精美图形绘制系列]--主成分分析(PCA)
17-[跟着NC学作图]--箱线图(一个函数获得Mean、SD、P值)
18-[跟着NC学作图]--生存分析(Survival analysis)
19-[跟着NC学作图]--散点图20-[R语言可视化-精美图形绘制系列]--散点图+箱线图组合图
21-[跟着NC学作图]-柱状堆积图22-[跟着NC学作图]-绘制频率分布图(图中图)
22-[R语言可视化-精美图形绘制系列]--FPI箱线图
23-跟着NC做基因组数据分析24-使用OmicCircos包--绘制基因圈图25-跟着iMeta学作图 | 棒棒图和显著相关性散点图26-跟着iMeta学作图 | 三元相图
<hr/>
  小杜的生信筆記 ,主要发表或收录生物信息学的教程,以及基于R的分析和可视化(包括数据分析,图形绘制等);分享感兴趣的文献和学习资料!!
online_member 发表于 2023-2-24 16:16:03
我想要[抱抱]

回复 显示全部楼层 道具 举报

00_avatar_middle
您需要登录后才可以回帖 登录 | 注册会员

手机版|UFO中文网

GMT+8, 2026-4-5 21:52

Powered by Discuz! X3.5

© 2001-2026 Discuz! Team.

快速回复 返回顶部 返回列表