找回密码
注册会员
发新帖
40_avatar_middle

177

积分

0

好友

8

主题
online_member 发表于 2023-2-10 08:37:18 | 查看: 505| 回复: 5
流浪地球》中将地球推出太阳系是否可行?
online_member 发表于 2023-2-10 08:37:56
把地球推出太阳系只是浪漫主义情怀,刘慈欣自己也强调过这一点,推动地球根本不可行,这是小说,虚构的东西不要较真。如果真要谈工程学,和意淫皇帝用金锄头种地没什么区别。
流浪地球计划有两座大山:
第一是地球的材质。地壳岩石圈的厚度仅仅几十公里,地幔是熔融状态,用足以改变地球轨道的力量强推地球,下场就是毁坏地壳,而巨大的推力致使岩石圈强烈摩擦释放的热量,加上喷出的岩浆,会让地球又变成冥古宙时期的岩浆海状态。想完好无损地推动地球,必须从地核-地幔-地壳对整个星体进行彻底加固,以保证发动机的推力不会破坏地球。这样的工程和建造宇宙大帝没什么两样。
第二是发动机的推力。人类目前所了解的任何能量获取方式距离足够推动地球飞出太阳系都小了不知道多少个数量级。别说什么工程学,理论上的可能性都不存在。
假如人类真有本事推动地球,那么这么一个人类文明必定已经掌握在太空永居和恒星际航行技术,推地球对于人类生存已经毫无意义了。
还不如造死星靠谱。造死星的技术难度比推地球小太多了。

回复 显示全部楼层 道具 举报

online_member 发表于 2023-2-10 08:38:48
中国式套路都是这样的啦,你还没有习惯?
大禹治水,女娲补天,夸父逐日,精卫填海。
流浪地球也是如此,敢叫日月换新天
硬知识那么多,我来点软的。

高筑墙,广积粮,缓称王,闷声发大财,
古今通用!
中国人是唯爱种菜,小到大学宿舍楼下花坛被宿管阿姨种满小葱小白菜,门口道了水泥铺砖地的,还能在砖缝里撒种种菜,住高楼层没地的就研究阳台,随便一搜都有1w+篇阳台种菜日记,各大中老年网友谁没经历过在农场辛勤播种,

《流浪地球》中将地球推出太阳系是否可行?896 / 作者:叶505 / 帖子ID:109857
晚上还要定闹钟起床偷菜,长大了也唯爱农耕游戏,在星露谷也啥都不干,开100块地,天天研究巨型甜瓜品种和巨型花椰菜品种;
大到祝融登火星评论里还在问能不能种菜,甚至嫦娥五号登月还出了官方新闻请专家来回答“月球能不能种菜”的问题,就连新闻说土星每年都下钻石雨都勾引不了中国人(只关心能不能种菜
出彩中国人

《流浪地球》中将地球推出太阳系是否可行?569 / 作者:叶505 / 帖子ID:109857
靠山山倒靠人人跑,靠自己最好!地球不行那就换一个,总之七大姑八大姨,九大舅十大叔的一大家子,平时吵架归吵架,嫌弃归嫌弃,催婚催生子归催婚催生,这种性命攸关的时候就得以大局为重,拖家带口的,活下来要吵架再吵架,那可不得有一个能装得下一堆人的,怎么可以当夹着尾巴舍下家人自己逃跑的白眼狼?
从女娲造盘古开始,
呱呱坠地的华夏儿女,
不论是游牧民族马背上的生活,
还是小农经济下传统男耕女织,
如果做不到山河无恙,那么民安就算国泰
国观念是绝对意义上的深入每个中国人的人心的!我们的信仰就是我们的文明,这些根深蒂固于我们的骨血中,即使没有地球那有那么多行星呢?总之肯定是要一起拖家带口的逃跑了,这个没得选,姑婆七大姑八大姨,你叔你婶婶,你姨你姨丈,如果你在一个地方生活了三代人,那么你会发现整个城市都好小,七七八八牵起来就是一大家子人
“把我们的血肉,筑成我们新的长城”
不是艺术加工,是中国真实的历史。

抗日战争中川军保卫南京火车站,为了对抗日本鬼子的坦克,十七八岁的川军小伙子排着队向坦克冲,身前顶着打湿的棉被,身后带十个木柄手榴弹。

《流浪地球》中将地球推出太阳系是否可行?35 / 作者:叶505 / 帖子ID:109857
前面的人被机枪打死,后面的人继续,为了用手榴弹炸坦克的履带。
在张艺谋的《金陵十三钗》里有这个镜头。
田汉的《义勇军进行曲》中,中国人用血肉去挽救中华民族,冒着敌人的炮火前进!这就是我们的国歌。
川军的“死”字旗
旗的正中写着一个斗大而苍劲有力的“死”字。

右边:
我不愿你在我近前尽孝;
只愿你在民族分上尽忠。
左边:
国难当头,日寇狰狞。
国家兴亡,匹夫有分。
本欲服役,奈过年龄。
幸吾有子,自觉请缨。
赐旗一面,时刻随身。
伤时拭血,死后裹身。
勇往直前,勿忘本分!
《国家宝藏》里云南博物馆介绍聂耳小提琴时的一句话:“他们并不是因为知道自己将成为伟大的人,才选择以生命为代价爱国。”
对聂耳小提琴的评语:
所有的国宝在魂不在器
国之重器不在英雄与否,民国唯一浪漫的,只有那些为中华寻求出路舍生忘死的人
新青年的标准:
一、自主的,而非奴隶的;
二、进步的,而非保守的;
三、进取的,而非退隐的;
四、世界的,而非锁国的;
五、实利的,而非虚文的;
六、科学的,而非想象的;
七、健壮的,而非体弱的。
是你我每一个人
诺亚:辛辛苦苦造船寿命一到该死还得死
大禹:治理大水升职加薪天上当神仙

《流浪地球》中将地球推出太阳系是否可行?203 / 作者:叶505 / 帖子ID:109857
华夏儿女补天治水,亚伯拉罕废物造船逃难
所以他们在船上到底是吃啥?
中国也人会拜神,但是人神关系更类似于契约关系,我拜了你,你要做好本职工作,如果没做到,那后果就很严重了!
西方天堂地狱整天打来打去的,再看看我们,中国比较强调主观能动性,连地府都是编制内,都是单位同事,还有民选KPI有季度考核标准,
比如说拜了龙王爷,如果还是经常干旱,不仅仅是无人供奉香火差了,那龙王庙会都被拆了,龙王爷的神像会被拉出来挨打,毁他的牌位,然后丢在路边被晒!被西方视为文艺复兴后一大奇迹的“弑神”,屡见不鲜的俄狄浦斯事件屡次发生在我国的历史长河之中。不然你以为“宁拆十座庙,不毁一桩婚”是咋子来的嘞?
上帝发钱,西方人:这是上帝的恩赐
                    中国人:这神不错,信了
上帝要灭绝人类,
西方人:求求你了上帝,我这么虔诚放过我吧
中国人:去你的封建迷信,始皇的弩多做几个,一人一把,屠神,我们是专业的
神仙对我们就像我们对牛羊,压榨他们是自己跟好生存,这是被中华民族破解的条例
自古就不信邪,没有啥害怕的,我们都身有枷锁,在各种束缚中苦苦坚持本心,多得是敢同恶鬼争高下,不向恶鬼让寸分!


《流浪地球》中将地球推出太阳系是否可行?820 / 作者:叶505 / 帖子ID:109857
要知道,只有在太平盛世才有戏子出彩的权利,大家都只是把英雄放在心底并未遗忘,对英雄的隐私就是保护,因为英雄就是为我们打下如今这太平盛世的每一个先辈,凡人之躯可否比肩神明,岂曰无衣与子同袍,你且看中国,忌讳造神,也深知没有神于是创造了母亲,而我们共同的母亲就是我们的祖国,信仰存在于每个老百姓之间。
秩序和规则面对着挑战无时无刻不在拆解和重建这一过程,但其中传承万年的不变就是:
堂堂正正做人,勤勤恳恳做事
所以啊!
中华神话故事,总结起来就两个字:抗争!
一寸山河一寸血
与天斗,其乐无穷;与地斗,其乐无穷。
与自然抗争,以人为本,
最后才能得以存活下来。
与天抗争,我命由我不由天,以凡人之躯,干倒神明!中国人民以及中华人民共和国解放军就是牛逼,参军的年龄都是18、19多从地震到抗洪抢险救灾工作,他们比我们有的还小,却在前线奋斗。
比我们付出更多,必须要让他们辛苦后得到优先,谁不是血肉之躯。这其实是中华精神的主旋律,现在看看这些脑洞畅享还中二么?
如果奇迹有颜色,那一定是中国红

《流浪地球》中将地球推出太阳系是否可行?431 / 作者:叶505 / 帖子ID:109857
大国有难,人有担当,壮我中华,昂扬不灭
搞出争气弹 挺直腰杆子
没有计算机当时用算盘打出来的数据
其实我们是有计算工具,但是其他部门也要用,根本没有余力给核研究组
最后的最后
诸君,且听这龙吟
外国神话故事,诺亚方舟等,概括起来就是等神来救,所以我一直不明白西西弗斯推那个石头干嘛?力气那么大,干点什么不好呢?
这就是中西方文化差别,
伟大的人民一直在牺牲,
这也是是西方国家和非农垦文明所不能理解的
2019到2020年的疫情又一次见证了这一切
另外那些说病毒能避免的,
你可能对一个R0 5.7的传染病缺少概念
你知道世界上最强大的武器是什么吗?

《流浪地球》中将地球推出太阳系是否可行?613 / 作者:叶505 / 帖子ID:109857
枪?
不是
原子弹?
不是
那是什么?
是众志成城,万众一心,众生同心 可破万物 驾驭乾坤 ,众生虽为蝼蚁 ,种菜第一名的庄稼汉,可同心为天不可力敌也。
伟大的是劳动人民本身

《流浪地球》中将地球推出太阳系是否可行?61 / 作者:叶505 / 帖子ID:109857
一切悲剧都是是生产力不足所致,只要有足够的生产力,一切问题都将不复存在~
鲁滨逊漂流记??反正幼儿园时期极度痴迷!他为什么能种水稻晒葡萄干养家畜在荒岛上过得这么滋润啊?
疫情防控期间的买菜难屯天价粮还不够警醒?
我们连玩个植物大战僵尸都首先得种满两排,白天一排半向日葵,晚上一排蘑菇一排向日葵,又或者两排双发向日葵加南瓜壳,前面一排高坚果。
完成“高筑墙,广积粮”才有心情考虑战斗力。
更别说其他经营养成游戏了~
连网文都有一大类叫种田文
真爱种田,没毛病!

《流浪地球》中将地球推出太阳系是否可行?329 / 作者:叶505 / 帖子ID:109857
而末日文,国外类似生化危机那种,重点突出在打丧尸,拎个锤子掏把枪就上了。
而国内网文内容有一半要写屯资源和发展战斗力,主角要是有携带空间还肯定能用来种地
即使世界末日丧尸到来,我们也是种地屯粮,然后再慢慢打丧尸,毕竟吃饱了才有力气干活,你吃好喝好难道不幸福吗?
荒原,看吴彦祖的深入恶土吧,难受为啥要种罂粟?你种粮食,搞生产,不是啥都解决了,还有啥阶级斗争啊?底层人民不就想着吃饱过日子吗
穿越原始时期兽人文,不想着攻打部落统统都是种地增加生产力
还有什么穿越文啊重生文
都钟爱置田产买商铺,有了家底才安心,这种已经根深蒂固在我们基因里了
小学时期红极一时的“偷菜”了解一下!
甚至玩游戏都是,

《流浪地球》中将地球推出太阳系是否可行?218 / 作者:叶505 / 帖子ID:109857
甚至玩个吃鸡。很少打架,只想一直搜装备,背包满了也不舍得扔里面没用的道具,决赛圈杀了人看着几盒子的装备捡不下就很心痛,恨不得三个三级包合成,然后跳来跳去被人打死了
帝国时代:基本上森林砍光,田地种满,矿挖光,开荒开到山顶上,插秧插到湖中央!能用的资源全用完,才开始打敌人
魔兽世界:双采加种地,成堆的资源摆在仓库里看着有一种家里有粮不愁的感觉你说欧美在南极呆那么多年,为什么中国人去了就种菜嘛
辐射:除非我死,否则就算扔核弹了,劳资也要在辐射地上种土豆和萝卜
文明系列:种地抢奇观!
打仗,传教,那是啥?
不管什么路线就爱提高生产力,无论哪一代,国家都是路网最发达的,每一格都要修路!基建工程!开局选秦皇,政策农奴制,抢一块沙漠建金字塔,一工人有7生产力,特色区域首选军营、工业区、航空港,目标就一个,增加生产力

《流浪地球》中将地球推出太阳系是否可行?752 / 作者:叶505 / 帖子ID:109857
剑与家园里是老外也永远在打架……
真是印证了那句欧洲老话,三代出一个贵族。
第一代当海盗,打家劫舍奸淫掳掠,攒够资本。

第二代拿着打家劫舍的钱当绅士,坑蒙拐骗无恶不作,扩大产业。

第三代就成了贵族了,开始学艺术搞学术,占据文化话语权,和下等人拉开差距。
大鹰博物馆和卢浮,世上最大赃物展览馆,真不知道这些导游怎么解说里面的文物,这是我们那帮强盗祖先从各国抢的?
要想凝聚全人类的力量进入星际时代

只有先解决掉掠夺式奴隶主反人类匪帮

强盗的子孙后代不以为耻反以为荣,由此可见不管再怎么伪装文明人,强盗骨子里始终都是强盗,衣冠禽兽就是这样了,一边立人设自诩文明人一边到处抢夺,强盗起家却自诩绅士,本性如此,旧世纪以神之名发动东侵掠夺他国,什么十字军东征啦巴拉巴拉各种名头,近代依赖工业格命发育领先了一波更是丧心病狂的侵略。带上面具装文明人也不到一百年,怎么可能转变?
战后至今也是,换形式继续吸血,一旦竞争不过,立马就露出丑态急眼了。
甚至到今天也确实如此,
屯粮不屯枪,你家是粮仓
屯枪不屯粮,处处是粮仓
两种文明注定孕育两种不一样的结果

《流浪地球》中将地球推出太阳系是否可行?901 / 作者:叶505 / 帖子ID:109857
中二么,或许吧,不过
洪水泛滥,挖渠治水,烈日晙烤,弯弓射日
仙人尝百草以身试药,
怎么外国没有像中医这样发展出来的学科,
这不哐哐直接拿人开刀做实验了么?
有山挡路也有愚公发出子孙无穷匮也的呐喊
英雄永垂不朽  但英雄从来不是某个人
而是千千万万默默付出的我们的祖祖辈辈
金刚川
「有一天啊俺還真的遇到一個美國老兵他到現在都還記得那座人橋

他說我知道你們不信神但你們卻創造了神蹟

那不是人類能夠完成的事但是你們做到了」
以及
我们
俊后生!
朋友们,感动之余也别忘记内省,如果灾难之后世界上只剩下赞美诗,那么灾难本身也失去了仅有的教育意义,不要过于自我感动了....
而相应的冷静是对的,但是自以为很清醒过度的冷漠也是大可不必,理智和感恩是两码事,如果不是真实的参与者肯定不懂这种情绪的释放,如果没参加过各种抗疫抗战前线,肯定不理解为什么这么不容易,因为幸福的来之不易,所以人们才会谨慎对待以后。
计划分为五个阶段:
第一阶段,人类倾尽所有建造一万座驱使地球前进的行星发动机和一万座庇护人类生息的地下城。
第二阶段围绕赤道一周的转向发动机相继开启驱使地球停止自转,地球停转导致滔天海啸席卷全球,全球人口锐减近半。
第三阶段地球将利用太阳和木星完成最后的加速冲刺,同时踏上流浪之旅。第四阶段地球脱离太阳系后行星发动机全功率开启,将用五百年的时间加速至光速的千分之五并滑行1300米随后调转发动机的方向再用700年进行减速。第五阶段地球薄弱目标恒星系抵达新家园成为目标恒星系的新行星。

《流浪地球》中将地球推出太阳系是否可行?306 / 作者:叶505 / 帖子ID:109857
本计划将持续一百代人,尽管我们不知道4.2光年外的新太阳会带来什么样的家园,但从今天开始人类的勇气与坚毅将永刻于星空之下,这一绝望与希望并存持续2500年的漫长宇宙之旅史称流浪地球之旅计划!
我一直不认为这件事过后,会有人膨胀或过度自信,只有经历过的人才知道过程的煎熬
如果奇迹有颜色,那一定是中国红
“生当作人杰,死亦为鬼雄。”
此生无悔入华夏
生既死兮神以灵,魂魄毅兮为鬼雄
你不是土生土长的中国人
你当然
不懂

回复 显示全部楼层 道具 举报

online_member 发表于 2023-2-10 08:39:35
中国第一部科幻大片《流浪地球》中,由于太阳即将毁灭,面对绝境,全人类开启了“流浪地球”计划,孤注一掷,带着地球一起逃离太阳系寻找人类新家园。本部影片在国内引起了极大关注,激起了国人对空间探索的空前热情。网络上各路大神亦各显神通,从各种角度,对影片做出分析。
作为一名科技工作者,石头非常关心《流浪地球》中的技术细节,也在此分析个一二三。希望引起读者对科学探索的兴趣。

《流浪地球》中将地球推出太阳系是否可行?169 / 作者:文叶儿 / 帖子ID:109857

流浪地球 | 流浪地球电影

问题:流浪地球当中有哪些Bug?01

推进器间距好像不大对
电影里面的上帝视角的行星推进器是这样的:

《流浪地球》中将地球推出太阳系是否可行?812 / 作者:文叶儿 / 帖子ID:109857
笔者看见这张图第一感觉是推进器好像有点少。大刘原文中的描述是10000+个,目测图中这么大范围内也就百个左右。
那么如果真的有10000+个的话,从上帝视角看起来应该是什么样子的呢?
试试:
我在球面上均匀随机生成10000个点,是这样的(密集恐惧症慎看)。

《流浪地球》中将地球推出太阳系是否可行?330 / 作者:文叶儿 / 帖子ID:109857
一看就比电影里密集好多。
又想起来,海里不能搞推进器,固定不住,那在陆地部分生成10000个随机点:

《流浪地球》中将地球推出太阳系是否可行?125 / 作者:文叶儿 / 帖子ID:109857
更密集了,连太平洋中间的夏威夷巴掌大地方都有推进器。这让笔者深刻怀疑岛上够不够建比太行山还大的推进器。
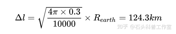
稍微算一下,球面有4π立体角。
考虑球面上只有 30% 的区域是陆地,所以建立10000个站的话平均每两个站之间的距离是:

《流浪地球》中将地球推出太阳系是否可行?688 / 作者:文叶儿 / 帖子ID:109857
这个是个最保守的估计,考虑北极冰原以及沼泽地貌不适合建推进器以及原文中说海平面上升陆地面积减少,推进器之间的间距会更小。
所以实际的视觉效果应该是:

《流浪地球》中将地球推出太阳系是否可行?191 / 作者:文叶儿 / 帖子ID:109857
而不是:

《流浪地球》中将地球推出太阳系是否可行?581 / 作者:文叶儿 / 帖子ID:109857
洛希极限导致地球破碎02

电影中提到地球要经过木星(Jupiter),用弹弓效应加速。

《流浪地球》中将地球推出太阳系是否可行?392 / 作者:文叶儿 / 帖子ID:109857
换句话说就是快速掠过木星,使用引力相互作用获得动能。
结果经过木星的时候由于引力变化引发的地面灾害破坏了地面推进,导致偏离既定路线,轨道离木星太近,导致近木点(轨道上最接近木星的位置)离木星中心的位置超过洛希极限,地球会被撕裂。
而这个Roche Limit(洛希极限)讲的是卫星在行星引力场中,会受到潮汐力,也就是卫星的不同部分在不同位置受到的合力不同(如下图)。

《流浪地球》中将地球推出太阳系是否可行?480 / 作者:文叶儿 / 帖子ID:109857
这会导致卫星会受到总的张力,这个张力在大到一定程度的时候,有可能会撕裂卫星。
在流浪地球这个场景中,地球是木星的小卫星。

《流浪地球》中将地球推出太阳系是否可行?849 / 作者:文叶儿 / 帖子ID:109857
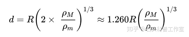
Roche Limit 的描述详见(Roche limit - Wikipedia),可以总结成两个公式:


  • 对于固体的卫星(比如地球,其实不严格,因为地幔以下不是严格刚体):

《流浪地球》中将地球推出太阳系是否可行?507 / 作者:文叶儿 / 帖子ID:109857

  • 对于流体的卫星(比如气态行星),因为流体在轻微形变之后会加大潮汐矩,所以流体卫星会在更远的地方破碎:

《流浪地球》中将地球推出太阳系是否可行?561 / 作者:文叶儿 / 帖子ID:109857
这里的ρM和ρm分别是主行星和卫星的密度。
木星质量大约是地球的300倍,半径是地球的11倍, 地球的密度是5.514 g/cm 木星的密度是1.326 g/cm。

《流浪地球》中将地球推出太阳系是否可行?210 / 作者:文叶儿 / 帖子ID:109857

地球与木星在太阳系中位置 | EarthSky

根据以上公式,木地的固态和流体Roche Limit分别是 0.78和1.5倍木星半径。
所以如果要木星的引力潮汐撕裂固态地球,地球的近木点需要在木星内部。
从这个角度看,即使真的是轨道近木点过近导致地球破碎也是由于地球撞木星而不是木星对地球的引力潮汐撕裂地球。
有人说木星是个气态行星,地球转过去不就完了。这里还是不行,近木点这么快的速度,深层大气的高密度流体足以拍碎地球。
所以这里使用洛希极限衡量地球毁灭临界值还是有点欠妥,还是地球坠毁木星比较合适。
03地球木星比例

木星半径是地球半径的11倍左右,所以比例看起来应该是这个样子:

《流浪地球》中将地球推出太阳系是否可行?303 / 作者:文叶儿 / 帖子ID:109857

地球与木星大小对比 | nasa.gov

从截图的像素测:
从地球绕木星转的一段里目测截取地球和木星大致在同一视平面(尽量减小近大远小的视差影响)的一张然后测一下:

《流浪地球》中将地球推出太阳系是否可行?857 / 作者:文叶儿 / 帖子ID:109857

《流浪地球》中将地球推出太阳系是否可行?189 / 作者:文叶儿 / 帖子ID:109857
30倍。
有人也许会说是视角问题,近大远小,所以这里为了尽量避免近大远小,截取大致木星地球在同一视平面的情况。
另外,印象里电影中这一幕是飞船视角,飞船是地球的护航,应该离地球近点儿,这样的话视觉效果应该是地球比1/11木星更大。
而这里应该是为了显示地球在木星面前非常渺小,有夸大木星的尺寸。
点燃木星大气产生激波推开地球04

这个大概是笔者感觉最不可思议的部分。
氢气和地球上的氧气混合,然后化学点燃,产生激波,因为相比于核能,化学能的单位质量的能量释放率简直是可以忽略不计。
首先是地球氧气损失,由于木星引力潮汐导致的气体损失会聚集在轨道附近,而不是被输运到木星上

《流浪地球》中将地球推出太阳系是否可行?436 / 作者:文叶儿 / 帖子ID:109857
木星磁场结构爆炸产物中的等离子体成分在磁场中会出现磁约束的现象,这会阻止等离子体激波向上。这进一步限制了可以用于推动地球的能量。
综上,在现实情况中点燃木星大气来炸出去地球的难度还是很大的。


《流浪地球》中将地球推出太阳系是否可行?683 / 作者:文叶儿 / 帖子ID:109857

点燃木星很酷炫哇!| 流浪地球剧照结语

石头认为bug归bug,电影还是超棒的,非常推荐一看!
文学作品脱离不了艺术与想象,正因为严谨科学与大胆想象的结合,人类才创作出如此多的佳作名篇。
正如大刘所说:但从文学角度看,这篇作品的美学核心是科学推动世界在宇宙中流浪这样一个意象,而飞船逃亡则产生一个完全不同的逃离世界的意象,其科幻美感远低于前者。
——刘慈欣

宇宙那么大,我想去看看。

《流浪地球》中将地球推出太阳系是否可行?375 / 作者:文叶儿 / 帖子ID:109857

图源:1ZOOM.ME

撰稿:张沛锦
美编:渡鸦

本文原版首发于知乎 @Pjer
石头科普工作室出品
转载请注明出处
更多相关 戳文章:
石头科普工作室:关于《流浪地球》不得不说的细节石头科普工作室:地球去流浪了,月球怎么办?

回复 显示全部楼层 道具 举报

online_member 发表于 2023-2-10 08:39:48
地球不行,但月球可以!
1 月球已经停止地质活动了,高含量钛合金外壳,结构强度大的多;
2熔岩冷却后,内部很大可能有巨大的空洞,方便利用;
3 而且月球真的够大,矮行星尺寸,实在太难得了;
4 近;
5 质量大,如果真有重衰变发动机,够烧。
6 我都怀疑这是事先给地球人准备好的,地球居然有颗直径3000公里以上的太阳系第五大卫星,这很不科学。
占领月球,用2000年的时间,逐步改造月球成为一艘星际世代飞船,流浪月球完全可以成为新人类的星际流浪文明,其可行性高的多。
脑洞下改造路线图:
月球基本参数:
1 质量:7.35千亿亿吨
2 表面积:3790万平方公里
3 直径:3476.28公里
改造初期能量来源:太阳能,月球表面没有大气,有大量纯净的太阳能资源,环月赤道设立多个太阳能电站,用激光器融化月球岩石层向下开凿隧道,融化的月岩可用于3D打印普通构件,或者精炼铁,钛等金属。
改造:表面100公里防护层,1400-0公里可以逐步开发出10-20万层。
星际航行能源:从木星大气提炼的氢和氘,压缩成固体,填充在核心区。
插个新闻:
近日,科学家整理月亮女神探测器数据,发现整个月球表面几乎都在释放出碳离子。
科学家对其解释是:月球形成的时候,温度比较低!
但是,更大的谜团来自于月球这颗星球的结构本身。
月球的结构在岩石行星里面非常特殊,甚至在整个太阳系内也是独一无二的。
太阳系内侧轨道的4颗岩石行星,火星、地球、金星和水星结构都差不多,都是有一层岩石外壳,下面有融化的岩浆,进入最深处有一个铁镍的重金属核心。
如果按照星球的大小比例来说,地球外面这层地壳的厚度和整个地球的直径相比,比鸡蛋壳还要薄。
60亿吨重的陨石,就可以击穿地球的地壳,引起火山爆发。
但是月球的结构就奇了怪了。首先月球表面上有一个20~30公里后的岩石层。地球的地壳的平均厚度也是20公里左右。
但是,月球表面下20公里还有一层更加坚硬的壳!
这层硬壳的坚硬程度无与伦比,挡住了撞击在月球表面的所有的陨石,包括铁陨石。
曾经有一颗直径几百公里的铁陨石撞击在月球表面,被这个硬壳挡住以后,融化的铁浆糊在了这个硬壳的表面,形成了一个面积有江苏省一半那么大的大铁饼。
要知道陨石撞击的速度高达每秒钟20公里到40公里。

《流浪地球》中将地球推出太阳系是否可行?893 / 作者:鹏尚思密达 / 帖子ID:109857
除此以外,月球表面还会释放出神奇的闪光。这些闪光短的有几分钟,长的可以达几个小时。

《流浪地球》中将地球推出太阳系是否可行?709 / 作者:鹏尚思密达 / 帖子ID:109857
同时,月球的密度只有3.2,而地球的平均密度有5.5。
而且月震的证据也证明了,月球好像是空心的,因为震动波会在月球表面绕行好久,而且是慢慢的消失。
这就好像一口钟被敲了一下余音回响的效果。

回复 显示全部楼层 道具 举报

00_avatar_middle
您需要登录后才可以回帖 登录 | 注册会员

手机版|UFO中文网

GMT+8, 2026-5-5 11:42

Powered by Discuz! X3.5

© 2001-2026 Discuz! Team.

快速回复 返回顶部 返回列表