找回密码
注册会员
发新帖
77_avatar_middle

169

积分

0

好友

10

主题
online_member 发表于 2023-2-8 08:24:24 | 查看: 251| 回复: 0
免疫系统人源化小鼠是研究人造血和免疫功能的有力工具。在B-NDG小鼠或B-NDG hIL15小鼠中移植人CD34+ HSCs后,可以很好地重建人淋系细胞包括T细胞、B细胞和NK细胞,用于各类淋系细胞的作用机制研究及药效评价。但在这些人源化小鼠模型中,人髓系细胞包括单核/巨噬细胞、树突状细胞、粒细胞和红细胞等重建不足,主要原因是促进各类髓系细胞重建的细胞因子在人和鼠之间的交叉反应不足。

已有的数据表明:人细胞因子IL3、人粒细胞-巨噬细胞集落刺激因子 (GM-CSF) 和人巨噬细胞集落刺激因子(M-CSF) 在小鼠中的表达可以促进树突状细胞、单核/巨噬细胞的发育与分化;人血小板生成素(THPO)能促进功能性人造血干细胞维持其多向分化潜能并促进其在小鼠骨髓中的长期植入。

成熟血细胞的寿命是有限的,需要不断更新。造血从骨髓中一小部分多能造血干细胞的增殖和分化开始。造血程序异常会破坏体内平衡,并促使骨髓、血液或外周淋巴器官中中间祖细胞或成熟细胞的积累,从而导致各种恶性肿瘤。

什么?髓系细胞重建难?看这个大招!920 / 作者:叶小琛小m / 帖子ID:109513

图1.造血作用机制[1]

IL3
1981年Ihle等发现ConA刺激小鼠脾细胞的培养上清中含有一种因子,能提高裸鼠脾脏淋巴细胞成熟标志物20-α-羟固醇氢酸阳性率。这个因子被称为白细胞介素3 (IL-3);因其功能可刺激多功能干细胞和多种祖细胞的增殖与分化,又称为多重集落刺激因子(multi-CSF)。IL-3可刺激皮肤上皮细胞、CD4-CD8-TCRαβ细胞、肥大细胞、嗜碱性粒细胞增殖,并阻止肥大细胞发生程序性细胞死亡等。

GM-CSF
GM-CSF,又称CSF-2,是一种分泌型细胞因子。GM-CSF有广泛的生理功能,主要参与髓细胞的生成和分化成熟、促进M1型巨噬细胞极化、激活中性粒细胞、参与血管形成、肿瘤进展、炎症发生等。GM-CSF的异常表达会导致过度的炎症、疼痛和组织损伤,并促进其他炎症细胞因子的产生。
新冠病毒感染通常会引起淋巴细胞减少和炎症性细胞因子的释放,炎症风暴被认为是患者死亡的重要原因之一,一些医院正在尝试通过IL-6单抗应对新冠病毒引发的炎症风暴。但中科院魏海明教授等人的发现,GM-CSF在新冠病毒感染重症患者中或许更重要。

M-CSF
巨噬细胞集落刺激因子为M-CSF,又称为集落刺激因子-1(CSF-1)。最初发现于血清、尿或其它体液中,能刺激骨髓造血细胞巨噬细胞集落的形成。M-CSF对破骨细胞的分化与调节,单核细胞的增殖,分化及维持活性有重要作用。

THPO
促血小板生成素(THPO)能够促进巨核细胞形成和分化,并向外周血释放成熟的血小板,而肿瘤细胞分泌的一种细胞因子白细胞介素-6(IL-6)能够刺激肝脏分泌更多的THPO,因而提高癌症病患血浆血小板浓度。

什么?髓系细胞重建难?看这个大招!250 / 作者:叶小琛小m / 帖子ID:109513

图2.肿瘤细胞利用血小板促进自身的侵袭和迁移[2]

百奥动物将重度免疫缺陷小鼠B-NDG mice的IL3、GM-CSF、M-CSF、THPO基因的全长序列分别替换为相应人基因的全长编码序列,并通过二次基因编辑及相互交配的方式获得4种细胞因子人源化的的重度免疫缺陷小鼠,即B-NDG MGMT3 mice。移植人CD34+HSCs后,与B-NDG小鼠相比,B-NDG MGMT3 mice中各类人髓系细胞的重建明显增强,包括单核/巨噬细胞、树突状细胞;人淋系细胞包括CD4+ T细胞、Tregs和NK细胞的重建水平也有增加。B-NDG MGMT3 mice可用于研究造血系统的发育与分化机制、研究肿瘤、自免、感染与代谢等免疫相关疾病的致病机制与药效评价。

B-NDG MGMT3 mice
蛋白表达分析

什么?髓系细胞重建难?看这个大招!833 / 作者:叶小琛小m / 帖子ID:109513
ELISA法检测野生型B-NDG小鼠和纯合B-NDG MGMT3小鼠中种属特异性GM-CSF、CSF1和THPO的表达。采集LPS刺激小鼠血清,进行ELISA分析(n=3)。小鼠GM-CSF、CSF1和THPO仅在B-NDG小鼠(+/+)中检测到,而在B-NDG MGMT3小鼠(H/H)中检测不到。人GM-CSF、CSF1和THPO仅在B-NDG MGMT3小鼠中检测到。由于IL3主要在活化的T细胞中表达,而B-NDG背景小鼠中没有成熟的T细胞,因此在两种小鼠中均未检测到小鼠或人IL3。

利用B-NDG MGMT3 mice移植人CD34+HSCs重建人淋系和髓系细胞

什么?髓系细胞重建难?看这个大招!19 / 作者:叶小琛小m / 帖子ID:109513
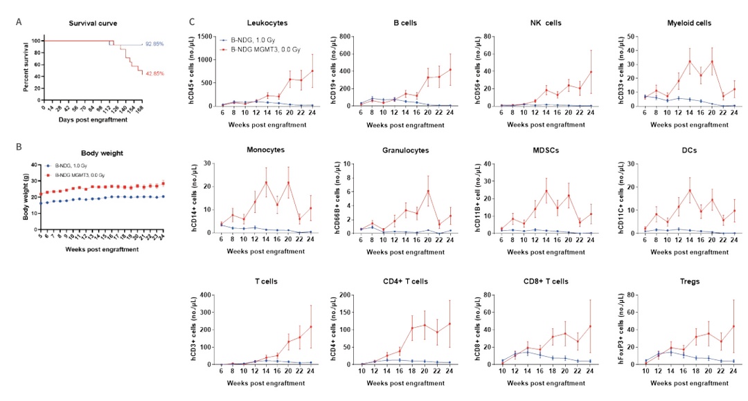
将人CD34+HSC(3E4)分别经面部颞静脉植入出生24-72小时的B-NDG小鼠和B-NDG MGMT3小鼠(雌雄均有,n=15)。B-NDG小鼠提前经1.0 gy辐照预处理;B-NDG MGMT3小鼠不做辐照预处理。结果显示:与B-NDG小鼠相比,B-NDG MGMT3小鼠未辐照,移植人HSCs 24周后,其生存率从移植18周开始降低,24周结实验时达到42.85%;但小鼠体重明显较大,重建过程中稳定增长。B-NDG MGMT3小鼠中重建的所有淋系及髓系人免疫细胞数量从重建12周开始显著高于在B-NDG小鼠中的重建水平。

B-NDGmice
B-NDG小鼠是百奥赛图自主研发,通过在NOD scid背景上敲除IL2rg基因构建而成的重度免疫缺陷小鼠。该小鼠缺乏成熟的T、B和功能性的NK细胞,并表现出细胞因子信号转导功能缺失,其重度免疫缺陷表型使得该小鼠能够被用来进行包括人免疫细胞在内的异种细胞移植实验。该模型广泛应用于肿瘤学、肿瘤免疫学、传染病和干细胞生物学等领域的研究和药物发现。

免疫缺陷系列大小鼠列表

什么?髓系细胞重建难?看这个大招!472 / 作者:叶小琛小m / 帖子ID:109513
参考文献
[1] Springuel L, Renauld JC, Knoops L. JAK kinase targeting in hematologic malignancies: a sinuous pathway from identification of genetic alterations towards clinical indications. Haematologica. 2015 Oct;100(10):1240-53. doi: 10.3324/haematol.2015.132142. PMID: 26432382; PMCID: PMC4591756.
[2] Monika Haemmerle,Rebecca L. Stone,David G. Menter. The Platelet Lifeline to Cancer: Challenges and Opportunities. Cancer cell. VOLUME 33, ISSUE 6, P965-983, JUNE 11, 201
00_avatar_middle
您需要登录后才可以回帖 登录 | 注册会员

手机版|UFO中文网

GMT+8, 2026-4-6 00:40

Powered by Discuz! X3.5

© 2001-2026 Discuz! Team.

快速回复 返回顶部 返回列表