找回密码
注册会员
发新帖
98_avatar_middle

236

积分

0

好友

15

主题
online_member 发表于 2023-1-8 15:30:50 | 查看: 270| 回复: 0
作者:一叶知秋叶若秋  等
佛经中说的“四大部洲”以及“须弥山”是宇宙中的哪里?首先上结论:就在太阳系啦。
要了解印度的宇宙观,要看吠陀和佛教的记录,保存有不少上古的知识,是那些往返于星际的天神传下的,涉及到不少我们现在还搞不清楚的星际高科技,不过流传太久了,加上传说的扭曲,描述上变的莫名其妙,所以我们先把传说的描述放到一边,只提取关键点。
一、我们所在的星系,是一个很大的“平的圆盘”,中心是“须弥山”,一个巨大的长柱形,两头大,中间细,呈漏斗形。所谓的“平的圆盘”指的是行星盘,而“须弥山”指的是磁场部分,一个星系就是一个立体旋涡,所流者非是水,而是虚空(等离子体),自然呈漏斗形。

娑婆银河的推测711 / 作者:瞬间遗失梢 / 帖子ID:102655
二、以须弥山为中心,外围有八大山、八大海,依此交替排列,顺次环绕,整个世界之形相团圆,说白了,就是太阳星系图。在上古,山指代星球,海指代虚空(星尘大海)。

娑婆银河的推测779 / 作者:瞬间遗失梢 / 帖子ID:102655

太阳星系图

“须弥山”四方各有“四大洲”,佛经称为:东胜神洲、北俱卢洲、南赡部洲、西牛贺洲。除四大部洲之外,有铁围山,周匝如轮。
铁围山有大小之分,小铁围山包围着“四大洲”,大铁围山包围着“八山八海”。
小铁围山对应是小行星带,包围的四大洲就是水星、金星、地球、火星。
大铁围山对应是柯伊伯带(或许包括奥尔特云),所谓的八山就是水星、金星、地球、火星,木星、土星、天王星、海王星。
其中南赡部洲,就是我们生活的地球。此一小世界被称为“须弥世界”,相当于一个“太阳系”。

娑婆银河的推测263 / 作者:瞬间遗失梢 / 帖子ID:102655
小铁围山和大铁围山中间这个区域,日月照耀不到,「二山中间,窈窈冥冥,日月神天有大威力,不能以光照及于彼」,传说中的地狱在这个区域。木星的光照程度只有地球的1/30,土星为1/80,天王星甚至达到1/300,而离太阳最远的那些星体,如1845年发现的海王星,光照程度只有地球的1/900。

娑婆银河的推测826 / 作者:瞬间遗失梢 / 帖子ID:102655
<起世经>云:诸比丘,世界中间复有诸风,名曰热恼。诸比丘,彼等诸风若来至此四洲界者,此四洲界所有众生,生者住者,一切身分,悉皆散坏,消灭无余……但以内铁围山大铁围山二山所障,是故彼风不来到此。
翻译成现代科学语言,所谓的“热恼”之风,不过是宇宙射线。宇宙射线是极高能量的亚原子粒子(主要是伴随有电磁辐射的质子和原子核)。
宇宙射线有两类:银河宇宙射线和太阳宇宙射线。

娑婆银河的推测661 / 作者:瞬间遗失梢 / 帖子ID:102655

对抗“银河风”的太阳磁场

娑婆银河的推测740 / 作者:瞬间遗失梢 / 帖子ID:102655

对抗“太阳风”的地球磁场

银河宇宙辐射来自超新星的残留物,超新星是坍缩成黑洞或被摧毁的大质量恒星最后阶段的大爆炸。
太阳宇宙辐射由太阳发射的带电粒子组成,主要是电子、质子和氦核。其中一些辐射是从太阳的日冕中不断发射出来的,因此科学家们将其称为“太阳风”。其余辐射来自太阳粒子事件,即带电粒子的突然和零星爆发,并伴随有太阳表面的磁场拉伸和扭曲时发生的电磁辐射。
当太阳风向外流数十亿公里时,它创造了一个围绕我们整个太阳系的能量泡沫。在这个泡沫的边缘,太阳风最终与穿过星际空间的强大的宇宙射线碰撞,有一道热而厚的等离子体墙,叫做"日光层"。这个宇宙边界距离太阳大约120AU,它有助于偏转和稀释遥远恒星和天体爆炸释放的强大辐射。该防护罩阻止了约70%的宇宙辐射侵入太阳系,相对而言,不受在星际空间飞行宇宙射线的蹂躏。
宇宙射线以大约每秒30万公里接近光速的速度行进,穿过太空,最终轰击地球表面。
地球被磁场屏蔽,磁场使带电粒子在两极间反弹,形成由高能电子和高能质子组成的两个巨大的甜甜圈形状的带。地球磁层偏转宇宙射线并保护我们免受太阳耀斑的伤害。有时,宇宙辐射确实会触及我们,但不会造成任何伤害,就像我们经常接触到的其他低水平辐射一样。
三、古印度人设想的“七金山、七香水海”的精确尺寸。

娑婆银河的推测624 / 作者:瞬间遗失梢 / 帖子ID:102655
大家会发现:明显地运用了倍数。
其实,太阳系的行星轨道间距确实有特殊的规律——提丢斯-波得定则(Titius-Bode law),其他星系就不是这样啦。
这个定则是一套纯粹的经验关系,它起源于一个简单的数学游戏。
这个公式可以表述为:

娑婆银河的推测178 / 作者:瞬间遗失梢 / 帖子ID:102655
其中n = 0, 3, 6, 12, 24, 48...(n≥3时,后一个数字为前一个数字的2倍)
如果你去查一下太阳系各大行星到太阳的平均距离(以天文单位AU为单位),你会得到水星为0.39,金星为0.72,地球是1.00,火星是1.52,小行星带散布于2.17到3.64之间,均值为2.9,木星是5.20,土星是9.55,天王星是19.22……。
构造这种“类提丢斯数列”的出发点往往是一组等比数列,其公比是2或者3。这意味着,在这个定则所刻画的卫星或行星系统中,相邻两个成员间的轨道半径有个近似的等比关系(比如木星到太阳的距离差不多是火星的两倍,土星又是木星的两倍,等等)。
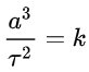
读者不妨回忆开普勒第三定律,也称为周期定律:各个行星绕太阳公转周期的平方及其椭圆轨道的半长轴的立方成正比。用公式表示为

娑婆银河的推测745 / 作者:瞬间遗失梢 / 帖子ID:102655
;其中K是常量,它只与中心天体有关。
因此,受这个定则约束的行星系统,其任意两个成员之间的公转周期之比都不太可能是有理数,自然也就不存在轨道共振关系。
不过,真正的逻辑应该是反过来的,即太阳系早期的数个大行星胚胎在公转过程中相互影响,主要是依靠轨道共振相互推挤,逐渐清空了共振轨道附近的小天体,最后只留下了在这个定则数列所指示的位置附近的大行星候选者。
照此看来,这个定则存在反例就不奇怪了,因为它并非脱胎于某个严格的物理定律,说到底也只是解决轨道共振不稳定性的一个方案而已。
换句话说,只要各大行星间的轨道不存在共振,当前的布局就能稳定存在下去,不一定非要严格遵循定则所指示的位置。
四、娑婆大千世界
大千世界中千世界小千世界小世界
1,000,000,000个1,000,000个1,000个1个太阳系
10亿个100万个1千个
娑婆银河的推测116 / 作者:瞬间遗失梢 / 帖子ID:102655
ALMA上空盘旋的银河
https://www.zhihu.com/video/1592215932415459328
银河星系(古称银河、天河、星河、天汉、银汉等),是一个包含太阳系的棒旋星系。银河系是由被气体、尘埃和恒星组成的盘面,环绕着中央的棒状核心区组成的星系。直径介于100,000至180,000光年。太阳系距离银河中心约24,000至28,000光年,在有着浓密气体和尘埃,被称为猎户臂的螺旋臂的内侧边缘。在太阳的位置,公转周期大约是2亿4,000万年。从地球看,因为是从盘状结构的内部向外观看,因此银河系呈现在天球上环绕一圈的带状。
推测银河星系应该是娑婆世界。华严经第八九十卷明之,谓华藏世界品,上下二十重,周围十一周。娑婆世界正当第十三重,依种种色风轮所持莲华网而住,佛号毗卢遮那如来。

娑婆银河的推测283 / 作者:瞬间遗失梢 / 帖子ID:102655

银河系结构图
00_avatar_middle
您需要登录后才可以回帖 登录 | 注册会员

手机版|UFO中文网

GMT+8, 2026-5-8 06:39

Powered by Discuz! X3.5

© 2001-2026 Discuz! Team.

快速回复 返回顶部 返回列表