找回密码
注册会员
发新帖
39_avatar_middle

226

积分

0

好友

12

主题
online_member 发表于 2020-1-14 20:59:00 | 查看: 972| 回复: 9
相关论文于2020年1月5日发表在astrophysical jounal上。 这次延世大学团队历时9年,利用智利拉斯坎帕纳斯天文台的2.5米望远镜和美国亚利桑那州的6.5米多镜面望远镜(MMT)完成了高质量的光谱观测,覆盖了人类已知的绝大多数含有la型超新星的星系。 他们发现,超新星的亮度与恒星群年龄存在显著的相关性,置信水平达到99.5%。也就是说,超新星本身亮度就会演化出红移,如果不考虑到这一点,基于超新星红移的计算结果必然会出现系…
作者:一点资讯
online_member 发表于 2020-1-14 20:59:54
最关键的一点,暗能量存在这个结论并不仅仅依赖于超新星。BAO和CMB也有力证明了暗能量的存在。
如何看待延世大学天文学家发表的研究质疑暗能量存在的基本证据?51 / 作者:赤脚晓涛 / 帖子ID:56002 二,2.3个sigma(斜率偏离0)太小了,一共就30多个数据点,不是很充分
如何看待延世大学天文学家发表的研究质疑暗能量存在的基本证据?755 / 作者:赤脚晓涛 / 帖子ID:56002 三,原文作者考察的超新星的宿主星系为早型星系,而在晚型星系内发现的Ia型超新星数量是远远多于早型星系的。从小样本外推到整体,不是很合理。小样本的异常也不会对整体造成大的影响。
四,宇宙学家在挑选超新星样本的时候是很慎重的,只取“表现正常”的超新星(超新星光度的弥散比大多数人想象的要大),像原文作者研究的这一类,#听说#是直接排除掉的。

回复 显示全部楼层 道具 举报

online_member 发表于 2020-1-14 21:00:43
Ia型超新星亮度与宿主星系很长时间都被认为是宇宙学测量中的一大误差,因为统计上的超新星性质和星系性质,譬如恒星种类分布或金属丰度,相关是一件物理上非常自然的事。比如这篇文章最早提出hubble redisual(Ia型超新星测距结果与模型拟合的偏差)和星系质量相关
https://arxiv.org/pdf/0912.0929.pdf 如何看待延世大学天文学家发表的研究质疑暗能量存在的基本证据?530 / 作者:凡尘莲花1 / 帖子ID:56002 hubble residual 就是测量的点相对于宇宙学模型拟合后的偏差
后续的大规模的宇宙测距研究发现这个相关性体现在一个叫hubble step的突跃的存在上,目前原因不明
如何看待延世大学天文学家发表的研究质疑暗能量存在的基本证据?996 / 作者:凡尘莲花1 / 帖子ID:56002 图1 scolnic et al 2018 星系恒星质量和hubble residual的相关性,注意到在10^10太阳质量处有一个突跃,称为hubble step
有其他测量别的星系性质的相关性的,比如星系金属丰度,但我印象里结果并不显著。这一点也使得人们认为Ia超新星的性质和恒星种类或年龄关系不大。韩国团队的这篇文章很好的补充上了这个认知空白,即Ia超新星的性质很有可能和恒星族的年龄有关。
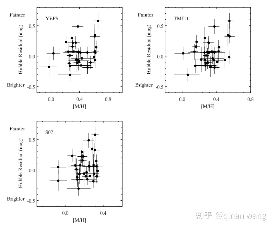
如何看待延世大学天文学家发表的研究质疑暗能量存在的基本证据?912 / 作者:凡尘莲花1 / 帖子ID:56002 图2 文章中星系恒星族年龄和hubble residual的关系,白点是排除在外的数据,有待星系大佬看了这篇文章来解释一下排除原因。三组图是基于不同的恒星族年龄估计方法来的。
如何看待延世大学天文学家发表的研究质疑暗能量存在的基本证据?301 / 作者:凡尘莲花1 / 帖子ID:56002 图3 文章中说金属丰度和hubble residual没有显著关系(可我看着似乎也有啊!)
然后根据拟合结果,他们模拟了较高红移处Ia SNe 相对于无暗能量宇宙学模型的residual,发现这与现在标准冷暗物质模型与这个模型的residual相符,因而得出Ia超新星测距得出的宇宙学模型(注意,这篇文章并不影响高红移观测得出的结论,如CMB, BAO)结果受这种偏差的影响很大。
如何看待延世大学天文学家发表的研究质疑暗能量存在的基本证据?161 / 作者:凡尘莲花1 / 帖子ID:56002 图4 蓝点是之前的观测,红绿线是他们计算的偏差影响,作为基准的虚线对应无暗能量模型(Omega_Lambda = 0),黑线对应现在的标准冷暗物质模型(Omega_Lambda = 0.73)。
如何看待延世大学天文学家发表的研究质疑暗能量存在的基本证据?170 / 作者:凡尘莲花1 / 帖子ID:56002 图5 不知为何他们把误差范围搁另一张图里了。。我看着怎么都感觉这个纠正叠上上图的黑线也还是在误差范围内。
若干想法
    数据集有没有选择偏差或是样本太小?图2中的趋势似乎受若干个孤立点的影响较大星系恒星群年龄估计在我印象里是较难并且误差较大的,这个方法是否可靠?最后的hubble residual 图里,似乎现有的模型叠加上这个效应也会在误差范围内?(因为是对数坐标所以其实误差范围很大)结论不一定对,但adam riess应该会对可能产生的结论感兴趣,譬如对哈勃常数测量的新的提升方法。又或者,对他正热衷的hubble tension问题有什么帮助。碰见他了可以问问有什么想法。
附个现在哈勃常数测量中的主要误差来源
如何看待延世大学天文学家发表的研究质疑暗能量存在的基本证据?290 / 作者:凡尘莲花1 / 帖子ID:56002 H_0误差的演变,棕色为可能由星系性质导致的系统误差

回复 显示全部楼层 道具 举报

online_member 发表于 2020-1-14 21:01:14
宇宙加速的一个证据是观测到高红移的星系显得比预期要亮,用的是type Ia超新星当作标准烛光,我们一直认为type Ia超新星的光度是可预测的。paper里面观测到的type Ia超新星的亮度跟年龄有关,导致标准烛光不够标准。paper里面越年轻的星系超新星亮度越高,而越远的星系越年轻,所以加速膨胀的证据可以部分用这个解释。所以我们之前对加速度的估计有偏差,但还不够说明加速膨胀不存在,只能challenge一下

回复 显示全部楼层 道具 举报

online_member 发表于 2020-1-14 21:02:06
有请大家在这个问题的回答还未完善起来的时候,共赏民科盛宴。(逃(狗头保护

回复 显示全部楼层 道具 举报

00_avatar_middle
您需要登录后才可以回帖 登录 | 注册会员

手机版|UFO中文网

GMT+8, 2026-5-8 21:35

Powered by Discuz! X3.5

© 2001-2026 Discuz! Team.

快速回复 返回顶部 返回列表