找回密码
注册会员
发新帖
62_avatar_middle

1394

积分

0

好友

27

主题
online_member 发表于 2018-10-29 19:28:18 | 查看: 5776| 回复: 10
地球质量让时空弯曲,时间变快。
online_member 发表于 2018-10-29 19:28:53
有质量的物体周围,时间流速会变慢,包括黑洞,这是广义相对论推导出来的结论,这且已经被实验所证实。
为什么黑洞会让时间变慢?201 / 作者:lzwdj / 帖子ID:42213


大家对于运动的物体时间会变慢这一结论几乎已经耳熟能详,而对于有质量物体,比如黑洞,为何会导致时间变慢却总是一头雾水。大多数人也只是记住一个这样一个结论,至于深层次的原因从未好好想过。今天我们就讲解一下有质量物体周围,时间流速为何变慢:
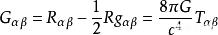
爱因斯坦再提出狭义相对论之后,发现引力无法被纳入其中。故而他又潜心研究了物体的质量问题,爱因斯坦发现物体的惯性质量和引力质量是相等的,也可以说是等同的,于是爱因斯坦设想引力本身不是一种力,而是时空的几何弯曲导致的,引力不过是一种时空的几何效应而已。基于此,爱因斯坦推导出来了广义相对论下的引力场方程:
为什么黑洞会让时间变慢?913 / 作者:lzwdj / 帖子ID:42213


此方程是一个二阶线性偏微分方程,涉及到了时空的弯曲效益。在宇宙中,时空的弯曲程度取决于物质的质量动量密度在时空中的分部。大质量的物体会导致时空负弯曲,这个弯曲即包括空间,也包括时间。空间弯曲是“凹陷式”,而时间则是流速变慢。
为什么黑洞会让时间变慢?660 / 作者:lzwdj / 帖子ID:42213


当然,仅仅依靠一句简单的质量导致时空弯曲,因而时间变慢的解释,很多人还是不明就里。这里我们不妨想象一下:有质量物体导致了空间弯曲,就类似于把平坦的空间压的“凹陷”了,而“凹陷”的结果就是原来空间长度“压缩”了。比如我们如果站在高维空间看黑洞,黑洞周围的空间维度好像都被压缩了一样,其和黑洞上方的空间尺度比例不是1:1的关系了。如果定义黑洞附近空间A,B两点测地线距离是1,那么在黑洞更远处C点看则对应的可能是100。即黑洞附近处和远处的空间曲率不一样,也导致了空间长度测量的不一样。这样,一个人小王在黑洞附近从A点走到B点,小王感觉自己就是经过了1的长度,一切都正常,但是在黑洞C点处看小王则是经过了100的长度。这样,C点测量的小王走动的时间就要长上很多,也就是说,C处需要经历更多的时间,才能够看到小王从A点到B点。显而易见,C点处的时间流速明显比黑洞附近的快。
为什么黑洞会让时间变慢?152 / 作者:lzwdj / 帖子ID:42213


这个效应还可以用引力红移说明,如果在黑洞视界附近向往发出一束光,则这时光在攀爬空间凹陷区域时,会消耗掉自己的能量。这样,光子的频率就会变低,波长就会变长。也就是说,本来只有N纳米的光,等远离黑洞飞行一段距离后,波长变成了N+dx(dx>0)纳米。很明显,黑洞附近的空间长度比上黑洞远处的要大于1,即空间是被压缩的。而光频率的降低,就表明周期被拉长。这就说明在黑洞附近光完成一个振动周期的时间只需要t,而在黑洞远处看来,光完成这个振动周期需要比t多得多的时间(频率变慢),由此可见,黑洞远处的时间流速更快。
为什么黑洞会让时间变慢?979 / 作者:lzwdj / 帖子ID:42213

回复 显示全部楼层 道具 举报

online_member 发表于 2018-10-29 19:29:35
黑洞是由德国天文学家、物理学家卡尔·史瓦西在二十世纪初发现的宇宙特殊空间或说天体,其状态是看不见摸不着。现在天文学及微观物理学认为黑洞由中子星和白矮星类似可能由发光发热的恒星演化而来。其特点是有巨大的引力场,任何物质包括电磁波、光只要进入黑洞都会消失的无影无踪。
根据爱因斯坦相对论的理论光要进人引力场其轨迹都会变成曲线。我们在地球上看到的光是直线传播,是因为地球的引力场场强很小。我们知道时间T与路程S成正比,与速度V成反比,其公式为T=S/V。因为光的速度一定30万公里/秒,路程在黑洞的引力场中会变成曲线,也就是说路程变大了,根据上面的公式光在黑洞中的时间就变大了。也就是说时间变慢了。
谢谢小秘书邀请!

回复 显示全部楼层 道具 举报

online_member 发表于 2018-10-29 19:30:05
黑洞就是宇宙的血管,是输送血液养份。和吞噬灭杀有害物体,净化宇宙身体的安全系统。黑洞就是宇宙的血管,飞船进去就。走进了宇宙身体里的另一个世界,飞船进入不同的黑洞空间,时间就会产生不同的改变。黑洞通道里拥有各种磁场,组成的是一个时空错乱的空间。就是说进入时间加速的空间,人类就会加速衰老死亡。进入境止空间时间会停止,进入逆向空间人就会返老还童。就是说如果我们掌握黑洞科技,就能够利用黑洞理论。造福人类,。就是说黑洞分部在各星球,空间里的组织,就是属于人体的毛细血管。演化变成的空间世界,这里包括着。现在过去未来的各种历史世界,这是我对黑洞理论。理解的一部分,很多东西无法说明。因为理论,沒有科学的依据。只有经过常期的探索证明,才能够找到科学的依据。我的文章只是,为搞科研的学者提供的。一种新的思路,。

回复 显示全部楼层 道具 举报

online_member 发表于 2018-10-29 19:30:35
时间和空间是人在自然宇宙中划上去的,就如人在白纸上划直线一样,这条直线不是白纸原有的东西,而是人在白纸划上去的东西,人茌白纸上划直线,首先脑中需要想到要划一条什么样的直线,然后再在白纸划出脑中想象的直线,直线划出来后,还需要找到一个方法来判定我们划出的直线是不是脑中想要划出的直线,事情就是这么一会事。空间是人在宇宙中划上去的,是使用光线作为直线在宇宙中划出的空间,如果光线因各种原因弯曲了,这时我们眼中看到的还是直线,所以我们使用这个已经弯曲的所谓直线(光线)去划一个正空间,这个正空间当然是弯曲的,我们在把这个弯曲的空间当成正空间去计量,自然会影响到时间计量,还有,这些原因能影响光线,同样也会影响时间计量,所以我们划出来的正空间,无论是空间,还是时间,都不是正的,是弯曲的。

回复 显示全部楼层 道具 举报

00_avatar_middle
您需要登录后才可以回帖 登录 | 注册会员

手机版|UFO中文网

GMT+8, 2026-4-4 09:20

Powered by Discuz! X3.5

© 2001-2026 Discuz! Team.

快速回复 返回顶部 返回列表