找回密码
注册会员
发新帖
73_avatar_middle

251

积分

0

好友

11

主题
online_member 发表于 2018-6-13 11:50:09 | 查看: 5472| 回复: 20
大爆炸
宇宙大爆炸,其观点:宇宙是在过去有限的时间之前,由一个密度极大且温度极高的太初状态演变而来的,并经过不断的膨胀与繁衍到达今天的状态。
对于这种风格的介绍,我总觉得和女娲造人有惊人的相似。那么,这个理论设想有多少的可能是正确的呢?
online_member 发表于 2018-6-13 11:50:09
看了高票回答,不忍手痒啊。可能很多人感兴趣为什么BAO导致星系的分布在4亿光年(实际是150Mpc, 4.9亿光年)左右有一个峰。。。
首先,默认大家知道CMB和红移是怎么回事了,
那么,CMB的精确时间,大家知道是37.9万年。
CMB的精确红移峰值z,大家知道是1100.
那么。。。把37.9万光年×(1100+1)=?
………………………………………………………………
如果用一句话解释:在不精确的假设条件下,可以近似认为早期宇宙扰动传播速度(声速)是光速的,这个传播一直到宇宙大爆炸之后38万年左右,声波的波环半径膨胀到在数量级上近似是38万光年,之后传播突然停止,声波不再传播; 在之后宇宙膨胀了约1100倍,导致这个扰动的环扩大到4亿光年左右。(但是,这里面有个错误概念,也就是在一开始扰动传播的时候,认为半径=光速*时间,这是不正确的,因为没有考虑宇宙膨胀的影响,仅仅可以用于数量级估计)
~~~~~~~~~~~~~~~~~~~~~~~~~~~~
精确计算,定义a=(过去宇宙大小)/(现在宇宙大小)。早期的粒子都是相对论性粒子,其声速的大小
宇宙大爆炸的真实性有多大?240 / 作者:爱上阿南 / 帖子ID:31049
宇宙大爆炸的真实性有多大?787 / 作者:爱上阿南 / 帖子ID:31049在z很大条件下,声速大约是光速的58%。如果你真的看懂我之前的回答:如何计算可观测宇宙的大小? - 物理学 - 知乎 ,就知道声速传播的共动距离,也就是环半径,并不仅仅取决于速度*时间,而是和可观测宇宙半径一样,也随着宇宙早期膨胀一起增长,然后定格在z=1100后就不变了。所以公式还是适用的,但是早期宇宙,辐射和物质占主导,暗能量可以忽略不计。所以
宇宙大爆炸的真实性有多大?949 / 作者:爱上阿南 / 帖子ID:31049 ~150Mpc=4.9亿光年
Mathematica 验算:
宇宙大爆炸的真实性有多大?200 / 作者:爱上阿南 / 帖子ID:31049

历史上这个计算是远远领先于观测到这个峰的,算是对大爆炸理论的一个有力的注脚吧~

回复 显示全部楼层 道具 举报

online_member 发表于 2018-6-13 11:50:09
写写发现自己写长了,那等于没写,因为看这个不如直接去看书。
这个问题也是挺难答简略的,但下面这么长的整个答案的要义大概就是:
1. 宇宙大爆炸是通过物理学理论一个步骤一个步骤的推演而来的,不是非专业人士脑中随便产生的一个猜想。因此是具有科学上的可靠性的。
2. 但是大爆炸理论的含义仅仅限于物理定律仍然适用的能量和尺度范围,并不涉及普通人可能认为的数学上真正的无穷小的奇点,因为此前物理定律已经不适用了,不存在科学推论。
看了这些如果你还想稍微多了解一点天体物理学上人们对大爆炸理论的把握到底有多大,可能就需要看下面这个啰嗦的长篇了。
--------------------------------------------------------------------------
序言:
首先我想说一下,其他答案的错误。
第一,其他答主实际上都完全没有提到大爆炸的核心理论。
所谓的大爆炸理论是要直接的证明:宇宙的过去一直是在膨胀,因此必须是从无穷小膨胀而来。而完全排除了宇宙曾经是先缩小到一个有限的体积再膨胀至今的这种情况(Bouncing models)。
而哈勃定律仅仅是说明宇宙现在在膨胀,对于宇宙的过去是没有限定的。因此哈勃定律并不是大爆炸的证据。只是证据的最小一部分——宇宙体积在当今时刻的导数大于零。正是由于拿哈勃定律做答案的人太多,人们才会觉得天体物理学理论完全不靠谱。这绝对冤枉,大爆炸理论是经过严格数学推导的。
这个推导是本答案的核心,具体推导在下文 Part c. 位置,请参见下边的目录。
第二,有的同学确实了解一些相关知识,说大爆炸核元素生成或CMB观测(乃至尚未被观测到的原初引力波)是大爆炸理论的明证。认为,理论预测和现实符合的这么好,还不是完美的证据嘛,这还有什么可怀疑的。但是很可惜,这是错误的。务请注意,科学结论的因果逻辑。
大爆炸元素生成(科班叫 BBN 即 Big Bang Nucleosynthesis)是首先假设大爆炸理论正确而做出的推演。推演的结果与现实相符,这很好,但仅仅说明理论没有被证否,而不能作为理论本身的证明。因为你不能排除其他理论符合同样现实的可能性。
打个比方,你和你爸长得很像,这是有道理的,这个观测结果对你是你爸的儿子这一理论没有产生威胁,但并不能因为某个人跟你长得像,就不得不认他做你父亲。这是同样的逻辑,错不了吧。
真不是开玩笑,很多“科研”人员很容易就犯这个错误。先假设自己的理论为真(某人是他爸爸),然后逮着一个观测跟自己的理论预测符合(他们长得像),就大肆宣扬自己的理论,认为自己对的没边了。太多人这么干。
我拿相对论举个例子,爱爷爷相信自己的理论,不是因为他做了那个著名的靠近太阳的星星的观测,如果你去翻历史就知道,这个观测事实上由多组人尝试了很多次,期间被天气实验失败和战争打断,时间跨度非常大(因为要等日食,还要去那个有日食的国家),头N次试验都没得到符合相对论预言的结果。
那么爱因斯坦为什么相信相对论。因为他相信相对论的基本假设,光速不变原理和相对性原理,其他的理论都是这两条原理的推论,原理对,推论就必然对,推论不对必然有原理不对。
(今儿查了一下,广义相对论有四条假设:1.弱场低速近似下回归牛顿定律。2. 能量动量局域守恒。 3. 等价性原理——自由落体等价于处于惯性系 4. 广义协变——坐标变换不改变物理定律形式)
所以实验验证,只是在实验精度内给了你理论与现实符合的上限,但这有可能是凑巧,有可能是歪打正着。日心说建立之初与观测的符合度并没有被完善了很久的地心说好,如果只看观测是否符合理论,那么地心说分分钟干掉日心说(好像从相对论跑题到日心说了)。
所以,真正支持你理论的不是所谓的“符合观测”,而是推导过程中所使用的那些假设(实际上就是假设的刚性)。每用一条假设,你理论的置信度就要下降一定的值。如果你非常坚信自己假设的正确性,比如从哲学或者数学层次上,证明不满足这条假设的系统是不自洽的,那么你才可能认为这条假设对理论的置信度没有影响(比如你的推导要用到基本数学,1+1=2,使用数学逻辑一般不会被认为存在问题)。然后你就能像爱爷爷一样,脱离开实验验证而相信自己理论的“真实性”。
我再加两句,什么是理论的刚性,为什么刚性是衡量理论“真实性”的唯一标准,有兴趣可以看看这篇文章科学与宗教的区别(二)


跑远了,下面开始正文,比较长。
而且还在编辑中。。。。
============正文=============
没有什么理论一定正确。但是我会尝试给一个精确而足够令人满意的答案。
目录
一、什么是理论的“真实性”
二、什么是“宇宙大爆炸理论”
三、“宇宙大爆炸理论”是怎么推导来的
Part a. 宇宙是各向同性且去中心化的。
Part b. 宇宙在有人类观测记录的这几百年间都在膨胀。(写到这儿了)
Part c. 宇宙的可知过去一直在膨胀。
Part d. 这一膨胀过程的早期很可能经历了一个膨胀速度特别快的所谓“暴涨”时期。
四、结语什么的


一、什么是理论的“真实性”
题主说“真实性”,下文我都用“可信度”来代替(也叫“置信度”,不过我想尽量写的白话一点),一般我们会避免使用“真”这个字所组的词。
那么什么是可信度呢?
一个理论如果有两个逻辑步骤,每个逻辑步骤的可信度为50%,那么这个理论的整体可信度就是50%*50%=25%
所以下面我来说一下,天体物理学家是如何得出大爆炸这个结论的。其中经历了哪几个步骤,每个步骤的可信度是多少,这样最后一乘,你就得到自己想要的答案了。不过需要注意的是,一个逻辑步骤的可信度并没有所有人公认的确定值。每一步的可信度你要自己决定。
比如“引力质量等于惯性质量”这个陈述,实验物理学家会说,没问题,我们可以通过实验来确定它的可信度。首先他们会明确定义这两种质量的概念为某种实验可观测量,然后设计实验来测两种定义的质量是不是相等,最后如果得到误差范围内相等的结果,那么所做实验的测量精度就是可信度的下限了。
但是理论物理学家会质疑,你一开始进行的定义也许压根就存在逻辑漏洞,三体读者会担忧你的实验过程是不是被外星文明所操控,而上帝的子民则会含蓄的向你表露,一切一切实验结果都是上帝给予你的等等。
所以每个人对同一个逻辑步骤会有不同的信任程度,我只把步骤写出来,至于你是否相信,对每一步的推导信任多少,就都是个人自己的事情了。
整个科学界也是这样运行并产生“主流观点”的,科学界从不产生可信度100%的“正确观点”,也不会给每个理论注明,该理论的可信度为多少多少。


二、什么是宇宙大爆炸理论
首先什么是“理论”?
关于宇宙大爆炸或任何一个理论学说的逻辑推导,都是从观测开始。人们做实验或观测,得到的是一种经验,当经验呈现某种模式重复出现时,我们就把这种模式命名(符合某种相互关系,对称性,守恒性,乃至模式比较模糊的“美”或“简洁”等等)并作为所谓“对现象的解释”来传颂。这样所有人都面带微笑,点头不止。
所以所谓理论即是经验,而经验即是故事。当然,科学故事的特殊性在于,它具有特殊的教育意义,而且这种意义可以被验证。


题主已经提到了宇宙大爆炸的观点,我再重复一遍基本相同的意思以作明确。
现代宇宙学认为:
a. 宇宙是各向同性且去中心化的。
翻译成人话就是,不存在一个特殊的宇宙中心,在宇宙内任意位置向任意方向观察,看到的宇宙是基本一样的。
b. 宇宙在有人类观测记录的这几百年间都在膨胀。
“在膨胀”的意思就是,心理学时间箭头(以人对过去未来的感知为时间的定义)和宇宙学时间箭头(以宇宙的大小作为时间的定义)方向一致。这话说的有点悬了,总之意思就是,你觉得自己活得越老,宇宙就膨胀的越大,不存在你越活宇宙越小的时期。
c. 宇宙的可知过去一直在膨胀。
反过来说,如果我们把时间向回追溯,宇宙就一直在缩小,直到某一刻宇宙密度极大(根据绝热膨胀理论或者一般叫打气筒升温原理,温度也就极高),以至于已知的全部物理定律失效,于是这一时刻就是人类通过它们已知经验能推测出的最早历史。此前的一切通过目前的物理学是不可知的,除非我们知晓了适用于更高密度和能量的世界经验。而我们目前对于极高能的世界经验大多是从大型粒子对撞机得来的,这是一种人类制造可重复发生的极高能量环境的机器,目前制造出的最高能量的特征温度为太阳核心温度的10^10倍。也即是说,宇宙是从一个温度达到这么高的极高温度密度的状态膨胀而来的。而在此之前它是膨胀还是曾经缩小,我们一无所知。但是我们知道,如果已知物理定律失效前宇宙也是膨胀的,而且膨胀速度不变,那么只需要再追溯微秒量级的时间就抵达宇宙体积为零的时间零点(不一定是微秒,回头再确定)。
d. 这一膨胀过程的早期很可能经历了一个膨胀速度特别快的所谓“暴涨”时期。
是真心的特殊的值得作为单独一条结论的“特别快”..........


这四个结论合起来大概就是一般人所说的“大爆炸理论”了。其中前三个一般天体物理学家会认为把握比较大,而最后一个结论有理由也有风险。下面我们具体说每个结论是如何得来的,以及为什么认为它们可信度比较高。


三、“宇宙大爆炸”理论是怎么推导来的
这就涉及到宇宙学。也就是把宇宙作为对象进行研究的学科。这个学科最特殊的一点在于,不能进行任何重复实验,因为宇宙本身就包含了一切时间和空间。从这个意义上来说,宇宙学不是一门科学而是一个描述。
其次,由于宇宙的复杂性,我们肯定要做一些近似假设,忽略那些影响不大的成分,我们不会考虑你打个喷嚏对宇宙演化有什么影响。
所以实际上,在宇宙学中,我们把宇宙想象成一个沙盘,或者盒子,里面虽然装了各种烂七八糟的东西,但是大致能分成几类。然后再假设这个盒子里的东西遵循某些已知的规律演化。根据某个时间点宇宙内东西的状态,就能推知任意时刻宇宙内东西的状态,也就是宇宙的整个演化过程。
以上描述必然为真,因为这里不存在任何验证理论的部分,你只是拿所有已知(可观测量)作为已知,带入一个既定的规律,推测全部不可知(不可观测量)。
这样看,宇宙学就好像只是一个故事而已,没有真假可言。但是宇宙学妙的地方在于,你不需要把全部已知放入宇宙学,你可以只放入一部分,而宇宙学自动会告诉你,你没有放入的那部分应该是怎样的。然后你会发现,宇宙学所预测的,正好符合你的观测。而且所有这些参数,你可以带入任意一些项而得到其他那些项。这就是宇宙学作为一个理论体系的刚性。
而且人类也并没有掌握全部已知,也就是我们并没有真的完全观测记录现在时刻宇宙中的全部可观测量。我们只做了一部分,随着观测手段的发展会不断有新的观测出现。
比如宇宙学曾经在微波背景辐射被发现前成功预言了它,现在宇宙学预言的原初引力波和中微子背景辐射,都是现在的观测水平尚未能达到的,但是我们预期也许十年以内我们的仪器就将有足够的精度来探测它们,届时我们就能知晓观测和宇宙学的预言是否一致。
如果一致,就说明我们根据之前的观测代入的已知量,以及我们所假设的演化规律没有问题,如果不一致,我们就要看看是我们代入的已知量不准确,还是我们使用的规律不准确。
下面我们就从宇宙学的基本假设开始谈起。


Part a. 宇宙是各向同性且去中心化的。
“各向同性”与“去中心化”是宇宙学最底层的两条基本假设。非常重要。一切现代宇宙学结论都是建立在这两条假设之上的。我分别进行解释。
首先“各向同性”(isotropic)。
即是说,我们向宇宙各方向看去,观测结果是非常近似的。
这里我用地砖来打比方。如果是正方形紧密排列的地砖,那么你站在房间中心,沿着方形边界方向和对角方向看去,地砖在你的视野中呈现的样子不同,使你能明确区分出这两种情况,而如果是随机方向不紧密排列的地砖,那么你向任意方向看去都差不多,你无法分辨方向。这就是各向同性。
相同的词在材料物理里常有涉及,意思有一点差别。
如果把宇宙当做某种材料,各向同性材料即是说你从任意方向看它是一样的。比如没有特定熔点的物质是各向同性的,而有一定熔点的晶体比如冰就不是各向同性的。
而这里只是强调,你从材料中某个特定点向周围看是一样的。而换了一个点后就不保证是否一样。比如,这个材料可能是围着某个点圆圈包围排列的,那么只有你在圆心的时候才观测到各向同性,不在圆心就是各向异性。
那么这个假设有多靠谱呢?我们直接看天就行了。
从地球上向任意方向的天空看去,经过大尺度的平均后,宇宙都是差不多的。比如有些地方有星星有些地方没有,但是如果你统计足够大区域内星星的数量,会发现各方向是近似的。
实际上我们数的是距离很远的星系团数量,而不是离我们相对近的多的恒星。如果你看距离自己很近的地方,一边有大地,一边没有,这是很大的差别。如果你看的远一点,银河系内散落着很多恒星,它们形成了一个盘状结构,在天空上形成分隔了牛郎织女的银河,银河的位置光源密集一些,之外的地方稀疏一些,不过已经比天空大地的区别要小的多了。如果我们看的更远一些,星系和星系团在天空上也只是一个小点,我们可以数它们在天空上一个区域内的数量(比如占月亮那么大的一个区域)和其他区域做比较,那么区别就更小。
而且我们知道,光的传播是需要时间的,所以我们看到的实际上是处于光锥面上的过去的宇宙。我们看更远的宇宙,也就是看的更早期的宇宙。所以我们不仅能知道宇宙最近一段时间内是各向同性的,还知道宇宙所能观测到的过去也都是各向同性的。
而且实际上越到过去各向同性的性质就越好。
人类能观测到的最早的光波就是宇宙微波背景辐射(CMB)。更早的电磁波无法观测不是因为技术限制,而是因为更早期的宇宙不是电中性的,光波无法传播。例如太阳温度很高将物质电离为带正负电的等离子体,就是不透光的,我们无法看到太阳内部。把CMB观测结果扣除地球的自行速度造成的多普勒效应、银河系所发出的辐射、以及个别辐射较强的点源,如附近的星系或超新星爆发等等之后,我们发现CMB的辐射强度波动仅为10^-5量级。所以说在CMB辐射产生的那个早期的宇宙,整个宇宙各个方向的不均匀性只有这么大。
而现如今,宇宙的均匀性已经大不如前。如果以你观测的星系团物质密度和宇宙平均物质密度做比较,会发现它们至少相差了一百倍。也就是不均匀性从CMB的10^-5上升了8个数量级。你仰望星空的时候看到的已经是一个一个的星系团而非均匀布满天空的辐射了。
不过凡事都有例外,天上就是有这么些活见鬼的区域没有星星。参见:Incredible image appears to show massive black hole in the sky。出现大区域物质密度反常的这种现象在目前标准宇宙学模型中发生的概率是极小的。目前也没有很好的解释。


这里插一句,最高票答案(Lightwing)介绍CMB是什么时写到
简单说,就是宇宙的背景图。是一种微力辐射,来自宇宙的任何方向。
一直存在,也不变,永远在任何其它天文对象的背后。
一直不变是不对的。CMB的基本特征变化不大但是本身图像是会随时间改变的。
修宇宙学的同学大概会遇到一考题,假如数万年前地球上曾存在过另一个智慧文明。他们观测到的CMB和我们今天观测到的有哪几点不同,类似这样的。好像是答出四点满分。


下面说第二个假设,去中心化。
一般被称为均匀性假设(homogeneous)。均匀性假设是各向同性假设加上去中心化的必然结果。如果你所在的点向各个方向看都是一样的,同时你又认为自己所在的点并不特殊,那么整个世界就是均匀的。
所以关键在于去中心化,而这是不可能通过观测证实的,是纯粹的哲学观点。这是科学近百年发展而来的倾向,即,只要没有证据证明自己的特殊性,就不事先假设存在这种特殊性而产生推论。
只要没有证据证明神灵对你的实验能造成影响,我们就不会在设计实验时考虑神灵的存在,只要没有证据证明地球所处的宇宙位置和宇宙其他位置有区别,我们就假设地球处于一个普通的位置,周围的天空看起来一样不是因为它们环绕着我们排布,而是因为我们处于均匀分布的宇宙之中。
当然没有任何证据保证我们所处的位置不特殊,我们的位置完全有可能是特殊的。比如在宇宙大尺度上可能存在密度大一些的区域和密度小一些的区域,我们完全可能在某个大密度区域的中心,这样我们向四周看去密度都是逐渐减小而且各向同性的。这样就能做出完全不同的宇宙学模型来解释一些现有宇宙模型尚未能解释的现象。有些人正是这样做的。
但是,这种理论的可信度会比宇宙是均匀的概率小。因为,假设宇宙密度均不均匀是等概率的,那么当宇宙均匀的时候地球处于任意位置都符合我们各向同性的观测,而宇宙不均匀的时候,则只有当我们刚巧处于大密度势井的中心位置才能符合各项同性。
如果搞的严谨一点,一般会由贝叶斯概率来考虑一个理论的可信度。根据贝叶斯公式:
一个理论的可信度 = 这个理论假设发生的可能性 * 这个理论与实验观测的符合度。
以上两种理论都与现实观测符合,然而宇宙不均匀的理论要多乘一个“地球处于势井中心的概率”,由于这个概率很小,就导致该理论的综合可信度大大降低。


Part b. 宇宙在有人类观测记录的这几百年间都在膨胀。
首先介绍一下哈勃定律。这个定律大家都知道,有一天人们(注意哦,我写的是人们而不是哈勃)发现,离我们越远的星系的辐射红移效应越严重。由此推测,星系与我们的距离越远,就在以越快的速度远离我们。速度和距离呈正相关的线性关系:V = H * D(其中 V 为星系退行速度,D 为与我们的距离,H 为哈勃常数)。符合这个陈述的宇宙被我们称为,正在膨胀。
需要注意的是,这个 H 被称为常数,是指不同位置的值相同,即根据 Part a. 的均一性假设,在同一时刻宇宙任意位置的哈勃常数是相同的。然而在不同的宇宙时间,这个 H 则是可以变化的,并不是常数,只要各处一起变就不违反均一性假设。换句话说,凡是在符合均匀各向同性性质的宇宙中,哈勃定律都成立。只是 H 的值不一样罢了。
现在我们来检查一下,从观测到红移和距离的关系,推知宇宙在膨胀的这个陈述有多可信。
似乎有两个方面可疑。第一,你是如何得知遥远星系的距离和红移的,这两个量你测的对不对、准不准。第二,假设你测量的没问题,那么你把红移替换为退行速度这一步是不是可能有问题。
显然,遥远星系的距离测量是非常困难的。你不可能拿个尺子去丈量,稍远一些的也无法使用三角测距法,只能通过标准长度和标准亮度来估算它们的物理距离。对于那些很遥远的星系,只有少数特殊情况才可能测得距离,更遥远的呢,完全没有任何办法,这时我们实际上做的,是根据哈勃定律和测得的红移来反推回距离。这样得到的距离当然不能被应用于证明哈勃定律。所以说,哈勃定律实际上只在能准确测量距离的较近区域的宇宙被证明。
但是这并不妨碍我们推广使用哈勃定律,上文已经提到了,根据均一性假设,宇宙各处的哈勃常数是一致的,只要我们测出了较近区域宇宙的哈勃常数,我们就认为全宇宙都具有相同的常数,都符合哈勃定律。
所以距离的测量基本没有问题。即便你的测量有误差,大体程线性的结论是没问题的。
而红移的测量则比较简单。比如你知道某种元素的发射吸收线分布特征,就可以在光谱上把它们辨认出来,再跟其原有频率做对比就可以得到红移。由于“红移”的定义就是谱线移动了多少,所以这里应该不会存在什么问题。
主要问题在于,具有红移是否就一定意味着具有退行速度。
我曾经试图怀疑过这一点,打破头也没想出另一种可能来产生红移。不过最近竟然听说了一些还算有可能的可能性,大家也不必严肃看待,本文科班为主民科为辅,只为开开脑洞,说明有时候鸡蛋里真是能挑出骨头来的。
这里是用声波来类比,我们知道声波的多普勒效应,如果你听到声音频率变低说明对方在远离你,但实际上还有另一种可能,也会让声音频率变低,据说在矿洞中就可以体验这种现象,由于气压的变化,当矿井底部的声音传到地表时,频率会变低。
如果你类比的假设电磁波是某种空间超流体的震动效应,那么空间的密度改变也能造成光波波长的变化,而光源跟你则是相对静止的。
另外我们知道光子从引力势井中攀出也是会红移的,那么有没有可能整个宇宙本身就是一个外翻黑洞呢,越接近宇宙边缘就越靠近这个外翻黑洞。
最后,我们的物理理论能否运用在大尺度上是根本没有验证的,我们只是推测地球上人类得到的物理定律不仅适用于太阳系,还适用于整个星系,星系团,超星系团,整个宇宙,不仅适用于现在,还适用于过去未来,适用于宇宙诞生的时刻直到终结,但是这些都只是假设而已,做了这些假设之后我们发现有些观测和直觉相符,有些不相符,比如得到哈勃定律之前爱因斯坦都认为宇宙是静态的,观察到星系旋转速度曲线反常之前,所有人都认为重子物质就是宇宙中的主要引力源。是因为我们先假设物理定律的普遍适用,才得到宇宙膨胀和暗物质存在这种违反直觉的结论。如果怀疑物理定律在大尺度时空与小尺度时空存在差异,那么你完全可以得到一个拥有不同形式物理定律的静态宇宙。
所以宇宙在膨胀这个结论,是建立在宇宙均一性假设(遥远的地方跟太阳系附近一样,不会有奇怪的空间密度或重力场)和物理定律普适假设之下的。你要怀疑宇宙在膨胀,就必须要怀疑推导出宇宙膨胀的假设之一。


Part c. 宇宙的可知过去一直在膨胀。
当你看到一个均一各向同性且被自身引力束缚的东西,就像看到一个半空中的球,你就知道它不能是静止的,要么它正在上抛,要么正在下落,因为没有什么能使它处于稳定平衡状态的力,例如一个吊住它的弹簧。
(月亮悬浮着不掉下来是因为它在转,而旋转的东西都有中心,不是均一各向同性的,你闭着眼也能区分出自己是站在一个旋转的圆盘上还是一个加速的列车上,只要四下移动一下就能感受到科里奥利力)
天上的星星也是一样,宇宙中有引力,也可以有莫名其妙的斥力,但是没有什么机制能让两者稳定平衡,所以大家要么正在分散(宇宙膨胀),要么正在聚集(宇宙塌缩)。
当我们掌握了引力定律之后,就会算加农炮的轨迹,同样当我们掌握了左右宇宙中物质受力的定律,就会算宇宙的膨胀塌缩历史。描述这个历史的公式本质是能量守恒,而起了一个新的名字,叫费德曼第一方程(Friedmann equations),描述宇宙尺度(宇宙的势能)与尺度变化速度(宇宙的动能)的关系。
F.Y.I. 这里的尺度就是给宇宙做一个假想标尺,标记各个星系的位置,称为宇宙标度因子 - Scale factor (cosmology),用字母 a 表示。当星系间全部以符合哈勃定律(Hubble's law)的方式相互远离,也就是没有自行速度的时候,我们定义星系一直处于其原有标尺位置,而标尺系统本身膨胀了。这就是一种简化问题的定义坐标系的方法,类似拉格朗日坐标系(Lagrangian and Eulerian specification of the flow field),很多地方都会用到。
这个宇宙尺度 a 与尺度变化速度宇宙大爆炸的真实性有多大?847 / 作者:z363046305 / 帖子ID:31049的关系很简单,可以由牛顿力学推出,也可以由爱因斯坦场方程推出。最后形式是这样的:
宇宙大爆炸的真实性有多大?872 / 作者:z363046305 / 帖子ID:31049
费德曼第一方程的左边是速度的平方,也就是动能项,右边是距离的平方,势能项。动能减势能等于一个常数,也就是系统总能量,称为K(负K)。需要通过观测来确定。
比如根据目前加农炮的高度和速度,我们可以算出它的动能和势能,从而得出总能量。如果总能量小于零,它的速度就小于逃逸速度,还会落回地面,反之则会逃逸离开地球,如果刚好等于零,那么它需要无限的时间逃出地球。
宇宙也类比的分为永远膨胀的开放宇宙(open),膨胀一段时间后塌缩的闭合宇宙(closed),与两者之间临界的平坦宇宙(flat)。
为什么用平坦这个词???这个词是从相对论来的。
如果你跟你的朋友从南极沿着不同的经线向北极直线行走,两人先相互远离,过了赤道以后就相互靠近。因为你们在一个曲率大于零的球面而不是平面上。
而这就跟你在一个所谓的闭合宇宙中,星系一开始逐渐远离,经过某个时间点后就逐渐靠拢是一样的。爱因斯坦说,“质量指导时空弯曲,时空指导质量移动”。如果你发现两条平行直线交叉了或离散了,说明你不在平直时空之中,而是在曲率分别为正和负的时空中。
如果把K移到等号左边,就发现,其实费德曼第一方程就是爱因斯坦场方程,
宇宙大爆炸的真实性有多大?987 / 作者:z363046305 / 帖子ID:31049
左边是时空部分(Einstein tensor),右边是质能部分(energy-momentum tensor)。所以宇宙总能量K在相对论中对应的是整个宇宙的时空曲率(Shape of the universe)。
(这里插一句后面会接上:由于爱因斯坦场方程的数学性质,可以加入一项宇宙常数而不影响这个方程的解,这就是真空能的理论支持。而真空能是观测上所发现的暗能量的候选者之一。也就是说真空能和宇宙常数这两个词是等价,但与暗能量并不等价,暗能量源于观测,产生暗能量的源头可以是有不同性质的别的东西。)
作为数学结论,要求一个宇宙满足各向同性和均一性之后,它还是可以有曲率的,但只剩下三种可能。就像在二维的情况下,满足各向同性和均一性的二维面一共有三个:平面、球面和双曲面(也就是马鞍面),这些面上的任一点是没有区别的。三维情况下也只有三种类比的情况,平直宇宙,三维球面的闭合宇宙,和三维马鞍面的开放宇宙。
我们的观测数据可以证实宇宙的曲率相当接近于零(http://arxiv.org/abs/1502.01589),误差小于0.5%。所以即便宇宙有曲率,这一项相对物质密度那一项的影响也超不过百分之五。
曲率的测量:二维平面上的三角形内角和为180度,球面上的三角形(由球面上的三条测地线组成)内角和大于180度,马鞍面上小于180度。我们只要测量距离最远的标准长度尺在视线中所占的角度就能确定宇宙的曲率了。最远的这样的标准长度尺就是宇宙微波背景辐射(CMB)温度波动的特征尺度。但我们是如何知道这个特征长度是多少以及它的距离的呢?这里实际上也是一个戏。我们先假设曲率为零,后文就会推导出有大爆炸,那么CMB在这个戏剧里就有了特定含义的解读。利用这个解读(假设了有大爆炸)和CMB的观测,我们就能知道特征长度是多少距离是多少,从而反过来再测量宇宙的曲率。所以说(在宇宙大尺度上)目前整个理论是自洽的。


现在我们知道,有一个叫费德曼方程的东西将会帮助我们预言宇宙膨胀史。它是从广义相对论严格推导来的。如果你相信牛顿力学相信广义相对论在宇宙学的讨论中仍然适用,你就可以相信这个公式。那么以现在观测的宇宙尺度和膨胀速度为已知条件解费德曼方程就可以得到宇宙的演化历史,得知过去是否有“宇宙大爆炸”,有什么样的“宇宙大爆炸”了。
但真的适用吗,这个谁也无法保证。我们能确定的只是,广义相对论对于现在太阳系内物质运动的描述非常精准,没有探测到任何偏差。但今后完全可能像相对论对牛顿力学进行了修正一样,相对论本身被修正。
现有理论放到星系尺度,星系团尺度,乃至整个宇宙的尺度无法保证适用。现有理论放到过去的时间也无法保证适用,物理定律可以是随时间缓慢变化的。最后我们对物理规律的了解仅限于人类能做实验观测接触到的范围内,对于能量过高密度过大的早期宇宙,我们根本就没有适用的物理定律。所以即便你相信物理定律的普适性,我们讨论的也只是能量密度没有达到那么高时候的情况。


现在可以开始解方程了。我们先简化一下,忽略曲率这一项后得到:
宇宙大爆炸的真实性有多大?929 / 作者:z363046305 / 帖子ID:31049
这是一个 a 和 a 的导数 的关系式,但其中密度那一项是随时间变化的,我们先设法把密度这项也变成 a 的函数。这个很简单,跟盒子里物质的平均密度一样,当盒子边长变为两倍,体积就变为八倍,物质密度降低八倍。即:
宇宙大爆炸的真实性有多大?175 / 作者:z363046305 / 帖子ID:31049
于是我们有
宇宙大爆炸的真实性有多大?50 / 作者:z363046305 / 帖子ID:31049
由星系红移观测,我们认为现在这一时刻,a 与 a 的导数都是正的(宇宙有正的尺度且这个尺度在变大)。然后我们把时间往回追溯:由于a的导数为正,所以过去的a比现在的a小。由公式可知a越小a的导数就越大,也就是膨胀越迅速。因此过去a的导数永远比现在大,宇宙过去一直在膨胀。
如果你尝试实际算一下(假设宇宙大爆炸的真实性有多大?924 / 作者:z363046305 / 帖子ID:31049,求解 宇宙大爆炸的真实性有多大?649 / 作者:z363046305 / 帖子ID:31049)会发现,宇宙尺度因数 a 正比于时间的 2/3 次方,当时间趋近于零时 a 趋近于零。也就是大爆炸了。


证毕。
以上的证明是简化版本,我们知道宇宙中不仅有密度与体积的负三次方成正比的物质,还有光和暗能量什么的。现在我们简要讨论一下它们。
首先说电磁波,也就是光。虽然光几乎没有质量,但是在宇宙中非常常见,还是要仔细考虑一下。
由于红移会降低它们所携带的能量,它们的能量密度随宇宙尺度的变化是负四次方。如果你要把它们加入方程里公式就改写为这样:
宇宙大爆炸的真实性有多大?589 / 作者:z363046305 / 帖子ID:31049
然后你只要分别得到目前物质和电磁波的宇宙平均能量密度,带入到宇宙大爆炸的真实性有多大?474 / 作者:z363046305 / 帖子ID:31049宇宙大爆炸的真实性有多大?463 / 作者:z363046305 / 帖子ID:31049里一样解公式就行了。那么现在这两个数是多少呢?
普通重子物质的密度是可观测的。比如不严格的讲,我们可以通过太阳系银河系等近域宇宙的经验,得到星系光度和重子物质之比。然后我们只要观察天空,数数一个空间区域内发出多少光,就知道该区域内有多少物质(占大部分质量的是弥散在星系团周围的气体)。这样宇宙内重子物质平均密度就可以实打实的通过观测求出来。即使我们不考虑冷暗物质,这个值至少也达到了10^-30克每立方厘米(大概就是几个氢原子每立方米的样子)。
而当今光子的能量密度只是重子的万分之一,如果只考虑这两项,则目前的宇宙是由物质主导的。它的膨胀历史也几乎和不加入辐射项的时候一样。
不过注意到当时间往回追溯的时候,光子密度的增长速度比物质密度要快,所以在过去的某一时刻之前,光子能量密度是大于物质的。但是 a 仍然在分母上,此前的膨胀速度仍然是更快的。如果我们考虑非常早期的时刻,光子能量密度远大于物质而忽略物质项(radiation-dominated),此时 a 正比于时间的 1/2 次方。
最后,宇宙中是否有可能存在一些奇怪的物质,他们的密度与宇宙尺度有着奇怪的关系,从而导致过去的膨胀速度更低乃至翻转为收缩呢?
有可能,事实上我们把宇宙中的已知物质,按照它们随宇宙膨胀而改变密度的指数不同(也就是状态方程),而大致分为三类:
因为速度远小于光速而不对宇宙产生压强的物质(pressureless matter),它们的密度与宇宙尺度的负三次方成正比;接近或等于光速而有一定压强的辐射或高能粒子(radiation),它们的密度与宇宙尺度的负四次方成正比(因为光子不仅数密度减小了,红移效应还导致其能量降低,而能量等于质量,所以指数多了一);以及具有负压强的暗能量(dark energy),以小于二次方成正比(比如真空能或叫宇宙学常数所代表的暗能量就是零次方,意味着不管宇宙怎么膨胀,它们在真空中密度不变)。
暗能量的存在是有一定观测支持的。原则上,过高组分的暗能量可能推翻我们的宇宙大爆炸理论。
但实际上,暗物质组分是受约束的,宇宙曲率结合星系最大红移的观测与已知物质密度下限能排除这种可能(具体回头再写)。而且考虑物质的时候不需要加入暗物质,只要有重子物质就足够了。所以你相不相信暗物质对我们的结论不会有影响,这里也就不提暗物质为什么一定存在? - zhiqiang yan 的回答了。




未写完,但可能就这样了

回复 显示全部楼层 道具 举报

online_member 发表于 2018-6-13 11:50:09
宇宙大爆炸理论,提出来的时候,当时还没有什么证据。保持质疑也是对的态度。
但是现在都过去一百年了,这套理论的各种预测也都成立了。不少科学家想否证,也都失败了。在科学体系里面,也只能接受这个理论。还有许多新发现都在明示宇宙的准确年龄和膨胀速度之类的。如果不看这些东西,或者不去理解,反对的道理都从哪里拉出来?
一百年来,这已经是个中学生基础知识,又有大量数据支持。为什么题主要跟女娲这种传说比较啊?真的想不通。
---
其他回答提到了各种证据和线索。读者可以参考一下,也可以自己去百度搜一下。。。
我这里想提供另外一个线索。大概是我个人认为最明显而且最有说服力的一种证据。
虽然很少有专家之外的人提起,但是尽量解释吧。当时发现这一点,我也真是一脸懵逼。
实在太obvious了。
---
先介绍一个比较基本的东西:
那就是中学物理所学的 Cosmic Microwave Background (简称CMB图)
宇宙大爆炸的真实性有多大?192 / 作者:chaom / 帖子ID:31049

宇宙大爆炸的真实性有多大?200 / 作者:chaom / 帖子ID:31049

这个玩意,简单说,就是宇宙的背景图。是一种微力辐射,来自宇宙的任何方向。
一直存在,也不变,永远在任何其它天文对象的背后。包括所有遥远galaxy(星系)的背后。
CMB是什么?是大爆炸的图片,或者大爆炸的影子。大爆炸当时发出来的辐射,永远都会受到。为什么?因为膨胀速度大于光速,无论原来的东西跑得多远了,我们最远能看到一直都是这个最早的影子。(随着宇宙的衰老和膨胀,背景图的频率会渐渐降低,可是分布完全不变)
更准确地说,是大爆炸发生之后30万年左右发出的一波辐射。
为什么?因为宇宙早期还是个物质非常密集的球。所谓“物质”就是我们整个宇宙的各种类型的小粒子,包括能量neutrino、photon之类的。也包括dark matter(黑物质)等等。即使已经膨胀了很多,比一个星系还大,物质还是特别密集,导致平均温度仍然非常高(几万度以上)。那时候的密集程度,夸张到所有的photon(光子)都跟其它物质一样挤,无法走。辐射本身就是一种光,自然就没法跑出来。
可是那时候的宇宙球的温度,基本上就是均匀的。只有一些非常微小的冷热区别。过了30万年,通过膨胀,突然有那么一个时刻,温度低到5000度左右。奇迹发生,最早的原子诞生。就是说,能量密度低到粒子能够融到一块。这短时间(时刻),光子之类的重量很小的粒子,突然自由了,可以跑掉。因此我们看到的最早的最远的东西就是这一大批突然跑出来的光子。看不到更早的,或者很难。
这就是CMB。红绿蓝分布,代表的就是当时宇宙球的不同地块的密度(温度)。有的地方,稍微冷了一些,或者稍微热了一些,发出来的光子能量不同。
(但是必须强调,宇宙这次释放光子,也没那么大的能量差异。相差不到1%。当时宇宙密度还是非常均匀的。这张图很著名,但是故意把这个微小差异放大很多了)
---
CMB是宇宙物理学最重要的一个发现之一。频率等等,也都符合了之前对于大爆炸的各种理论。所以说,CMB本身,已经是大爆炸的最伟大的证据之一。
可是在CMB里面,还有一些更加神秘的现象。
我这篇要说的就是其中一个小现象:BAO(Baryonic Acoustic Oscillation)。
---
BAO是什么?
也是一个现有理论预测,后来才得证的现象。
专家是这样推理的:
CMB图有温度小差异,所以大爆炸刚发生的时候,已经有一些小差异了吧,物质并没有完美100%均匀。先忽略什么原因导致,这到底能说明什么?
这些宇宙早期密集点,无论跟周围差距多了少了,也都会发出一些影响,会发出一个“环”。这一些点所发出的“环”,也是一种日已积累的压力波,因为不同force有所差异。因为影响力(压力)是倍数发展的,当初小差都会导致这样的“环”现象。
宇宙大爆炸的真实性有多大?100 / 作者:chaom / 帖子ID:31049

奇妙在于,这些“环”都是半径差不多的。都是同步的。
为什么?因为在宇宙早期,宇宙膨胀的力量高于一切,任何物质现象都是跟着这种膨胀走的。
然后呢?这些环,在30万年那次大放光子时刻,压力突然没了。意味着,这些密度环突然停了,不涨了!仍然继续膨胀,但是除了重力和膨胀力以外,还没有任何扩大压力。
所以,这种环应该相当于我们目前宇宙所观察到的物质分布?
---
理论有了,也可以算出这些环现在的具体规模。期待证明。
重点是,宇宙应该在这个具体规模保留了一种pattern,一种环形象。
(不过,启发点分布是随机的,很多环可能是重叠的)
预测这样的现象:(不过是3D的)
宇宙大爆炸的真实性有多大?604 / 作者:chaom / 帖子ID:31049

宇宙大爆炸的真实性有多大?739 / 作者:chaom / 帖子ID:31049

这种东西应该存在于星系规模。按照理论,算出来的应该是:4亿光年左右的规模。
这样要怎么证明啊?我们所看到的宇宙是这样复杂的:
宇宙大爆炸的真实性有多大?274 / 作者:chaom / 帖子ID:31049
各种星系已经演化了几亿年,几万亿星系,还各种重力互相影响,非常乱。哪里有球?看不出来。因此,很多人都在着急。

然后 2004年,终于有几十个人(包括许多华人)统计了全部星系位置,以及之间的距离。
如果存在那种环(球),应该就有更大比例的galaxy是这种距离的(4亿光年)。
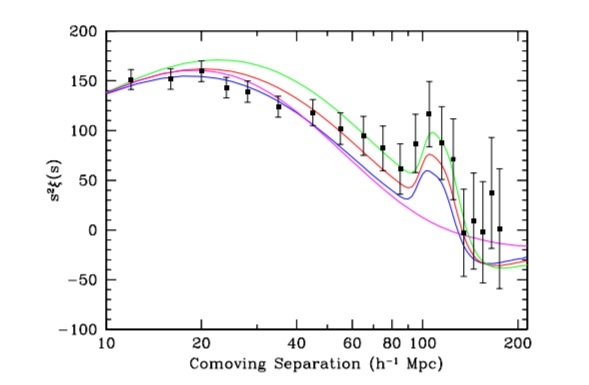
哎呦,还真有:

宇宙大爆炸的真实性有多大?531 / 作者:chaom / 帖子ID:31049
https://arxiv.org/pdf/astro-ph/0501171.pdf
图上那个凸出来的地方;意义非常大。说明星系分布有一种pattern。
这个pattern,我们不能用眼睛找出来,但是计算机可以算出来。
这就很奇怪,而且只有大爆炸理论才能解释。
(我知道这不是最主流的证据,可是这种影响整个宇宙结构的事情能够提前预测,真的好牛逼)

回复 显示全部楼层 道具 举报

online_member 发表于 2018-6-13 11:50:09
@菜菜 这个嘛……Bounce有话说

回复 显示全部楼层 道具 举报

00_avatar_middle
您需要登录后才可以回帖 登录 | 注册会员

手机版|UFO中文网

GMT+8, 2026-5-11 07:39

Powered by Discuz! X3.5

© 2001-2026 Discuz! Team.

快速回复 返回顶部 返回列表