找回密码
注册会员
发新帖
80_avatar_middle

363

积分

0

好友

23

主题
online_member 发表于 2018-6-13 11:00:03 | 查看: 3373| 回复: 20
感谢所有认真回答的朋友

和@ 赵晗商榷,不同意不懂理工就是没生产力,如果一个人的工作是生产粮食,生产日用品,服务他人,交税,甚至帮助一些已经学坏,或有学坏倾向的人走回正道,这不能算没生产力吧。PS,人总需要先吃饭生活吧?
online_member 发表于 2018-6-13 11:00:03
长文多图预警,感谢 @何沁 帮忙排版)
太阳物理专业的,怒答一记。
与大家想象的不同,按照现在的主流理论,太阳表面各种火焰状结构的形成机制,是磁重联,并不是核聚变。
给题主配一张图。宇宙中熊熊燃烧的火球,我们的太阳:
宇宙中没有氧气,为何太阳会燃烧出火焰?777 / 作者:给我闪 / 帖子ID:31025


开始之前,先澄清一个问题。
有答主提到,太阳不是燃烧,因此这个问题根本就没有意义,也没有讨论的必要。
但事实上,将太阳类比成燃烧的火焰是有根据的。
原因至少有两个:
1.从物质构成上来说,火焰、核聚变和太阳大气有深刻的相似之处。
如 @凌晨晓骥 所说,火焰本质上是一团电离气体。
在适当的条件下,可燃物发生氧化反应,氧化反应提供的能量使气体电离。电离气体中激发态电子向低能级跃迁,跃迁过程发出可见光,形成我们所看到的火焰。
太阳大气,也同样是一团电离气体。
从这个角度来说,太阳就是一团悬浮在宇宙中的超大的火焰,说太阳在燃烧,并没有什么不妥。
我们称这种电离气体状态为「等离子体态」。
常见的等离子体见下图:
宇宙中没有氧气,为何太阳会燃烧出火焰?262 / 作者:给我闪 / 帖子ID:31025


其中,横纵坐标分别是物质密度和温度,从图中可以对这些物质的参数有一个直观的了解。
(右下角是人类可以生存的参数环境)
注意火焰、日冕[01]、磁约束聚变和太阳核心在图里的位置。
从图中可见,日冕跟火焰的密度相近,但是温度要高4个数量级,达到数百万度。
[01]
日冕,即太阳大气的最外层。
    太阳大气跟日冕的关系,做个不恰当的比喻的话,可以类比成,火焰和外焰之间的关系

2.从观测来说,太阳表面确实可以观测到大量的火焰状结构。
先普及一下太阳物理的背景知识。
太阳结构可以简单分为太阳内部和太阳大气两部分[02]。
[02]
这样划分是因为,太阳内部是不透明的。 使用光学和射电手段观测太阳的话,只能看到太阳大气,看不到太阳内部。     所以从观测上说,太阳内部和太阳大气是截然不同的。
    在不考虑日震学的情况下,太阳物理主要就是太阳大气物理。

其中,太阳大气从里到外,又被人们分为光球层、色球层和日冕三层。
光球层和色球层是很薄的[03],温度也比较低[04]。
日冕的厚度则可以达到好几个太阳半径,温度猛增至数百万度。
[03]
    光球层:500 公里 色球层:2000 公里
[04]
    约6000度
光球层、色球层和日冕,其结构如下图所示:
宇宙中没有氧气,为何太阳会燃烧出火焰?116 / 作者:给我闪 / 帖子ID:31025


太阳大气中可以产生极为复杂和剧烈的现象。如延伸数十万公里,像拱门一样的日珥;相当于数百亿颗百万吨极氢弹爆炸的耀斑;对地球影响最大的日冕物质抛射等。更细致观测的话,还可以看到大量的针状物和微耀斑。
日面上的这些结构确实会给人一种“火焰”的直观印象。
那么,如何解答题主的疑问呢?
火焰的能量产生机制,我们知道是氧化反应。可是,宇宙中没有氧气,太阳大气是靠什么机制,来维持太阳表面火焰状结构的能量呢?
看到这个问题,大家的第一反应可能会觉得是核聚变。确实,太阳核心的核聚变,是太阳能够维持几十亿年发光发热的最终能量来源。@吴俊吴俊、 @Sekiimo 等答主已经从这个角度回答了问题。
但是,具体到恒星表面火焰状结构的形成机制,则不可能跟核聚变产生关系。
光球和色球温度太低,根本不可能达到产生核聚变的温度;日冕温度虽高,但过于稀薄,甚至可以用无碰撞粒子模型来描述,更加不可能产生足够的轻核汇聚。
在太阳上,核聚变只能发生在高温高密度的太阳核心。
如下图所示,光子从太阳核心,传递到太阳表面,需要经过太阳内部的对流区和辐射区。
传递时间长达上百万年,无法直接影响太阳表面的活动。
宇宙中没有氧气,为何太阳会燃烧出火焰?600 / 作者:给我闪 / 帖子ID:31025


光子之所以要花上百万年的时间,才能走完从核心到表面那几十万千米的路程,是因为这趟旅程,对光子来说太艰难了!在辐射区,光子会被不断的吸收和重新辐射;在对流区,光子会跟物质反复碰撞,走出一条极其曲折的路径。
下图是光子在对流区的无规行走:
宇宙中没有氧气,为何太阳会燃烧出火焰?859 / 作者:给我闪 / 帖子ID:31025


如果不是核聚变的话,这些火焰状结构的本质究竟是什么?
我们的主角,磁重联出场了~
(有评论问到这个词的读法。重在这里读chong,取磁场重新联接的意思)
我们往往倾向于忽视磁场的能量,这是合理的,因为我们在地球上所感受到的磁场实在太低调了╮(╯_╰)╭
每个人,每时每刻,都处在地球磁场中。
可对普通人来说,地磁场除了使指南针偏转、让高纬度偶尔出现一次极光之外,也就没有其他的影响了。
原因呢,很简单,除了地磁场本身的强度比较弱之外,更重要的是,地球上的物质绝大部分都处于电中性状态,无法被磁场影响。
下图是地磁场,中间的小球是地球。
宇宙中没有氧气,为何太阳会燃烧出火焰?431 / 作者:给我闪 / 帖子ID:31025


与地磁场的低调不同,太阳的磁场环境完全不一样。
太阳表面的物质处于高电导率等离子体状态,受磁冻结效应的支配。
这里的“冻结”不是温度低的意思,通俗的讲,是说磁感线跟物质冻结在一起,物质如何运动,磁感线就如何运动。
这是什么意思呢?为了让大家对这个概念有一个直观的印象,放一张图。
宇宙中没有氧气,为何太阳会燃烧出火焰?200 / 作者:给我闪 / 帖子ID:31025


这是太阳表面的磁拱。
从图中可以清晰的看到,物质沿着环状磁力线排布,形成拱形的细丝状结构。
这些沿着磁力线的细丝状物质,被磁感线绷得紧紧的,其密度,要比周围的背景密度大三至四倍。
由于太阳不同纬度的物质自转速度不同,且太阳内部和外部大气之间,总是有物质对流,太阳表面的磁场,就会随着物质运动,不断的扭曲、缠结;像弹簧一样,不断的存储能量,最终形成磁绳等极度扭曲的磁结构。
见下图:
宇宙中没有氧气,为何太阳会燃烧出火焰?943 / 作者:给我闪 / 帖子ID:31025


弹簧扭曲过度的话,会断裂,猛地弹开把能量都释放出来,磁场也是如此。
当在很狭窄的空间区域内,出现方向相反的磁场时,磁场线碰到一起会发生湮灭,将原本扭曲的磁力线重新排布。在此过程中,大量的磁能释放了出来。
这就是磁重联。
宇宙中没有氧气,为何太阳会燃烧出火焰?81 / 作者:给我闪 / 帖子ID:31025


上几张卡通图,可以看的更清晰一点。
宇宙中没有氧气,为何太阳会燃烧出火焰?872 / 作者:给我闪 / 帖子ID:31025


宇宙中没有氧气,为何太阳会燃烧出火焰?485 / 作者:给我闪 / 帖子ID:31025


宇宙中没有氧气,为何太阳会燃烧出火焰?857 / 作者:给我闪 / 帖子ID:31025


按照现有的理论,磁重联,是太阳表面所有高能现象的来源。
不再多说,上图。
注意看磁力线纠缠的地方。
耀斑爆发:
宇宙中没有氧气,为何太阳会燃烧出火焰?252 / 作者:给我闪 / 帖子ID:31025


日冕物质抛射:
宇宙中没有氧气,为何太阳会燃烧出火焰?347 / 作者:给我闪 / 帖子ID:31025


日珥:
宇宙中没有氧气,为何太阳会燃烧出火焰?969 / 作者:给我闪 / 帖子ID:31025


地磁尾重联:
宇宙中没有氧气,为何太阳会燃烧出火焰?744 / 作者:给我闪 / 帖子ID:31025


太阳风磁重联对卫星的影响:
宇宙中没有氧气,为何太阳会燃烧出火焰?957 / 作者:给我闪 / 帖子ID:31025


磁暴发生时,太阳风暴与输电线的相互作用[06]
宇宙中没有氧气,为何太阳会燃烧出火焰?284 / 作者:给我闪 / 帖子ID:31025




[06]
    多谢 @乔小海 指正,太阳风暴对输电线的影响,并不是通过磁重联,
而是通过影响地磁场来产生强地磁感应电流,从而使变压器发生半波饱和。
不过这幅图很酷,就还是保留在这里了



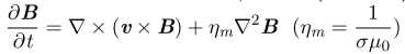
====理工生福利:为什么会有磁冻结效应?====
应评论要求放上公式,不想看公式的,可直接跳过~~
0.首先是参数范围。
磁冻结效应只发生在电导率极大的理想等离子体中。太阳大气在大多数情况下,都可以满足这种条件。但在地球上,这种条件很少出现!
1.根据安培定律,磁场的旋度,有电流与之对应:
宇宙中没有氧气,为何太阳会燃烧出火焰?538 / 作者:给我闪 / 帖子ID:31025


2.根据运动方程,电场和磁场,共同影响带电粒子的运动,因此电流与电场以及磁场有关:
宇宙中没有氧气,为何太阳会燃烧出火焰?919 / 作者:给我闪 / 帖子ID:31025


3.通过这两个方程,我们可以得到磁场演化的微分方程:
宇宙中没有氧气,为何太阳会燃烧出火焰?727 / 作者:给我闪 / 帖子ID:31025


4.如果电导率无限大,磁场的扩散项右边第二项)被消掉,就只剩下冻结项右边第一项)了。
如下所示:
宇宙中没有氧气,为何太阳会燃烧出火焰?237 / 作者:给我闪 / 帖子ID:31025


这时电磁场中的电离流体(即磁流体)会表现出如下行为:
a.起初位于某根磁力线上的流体质点,以后将一直位于该磁力线上;
b.通过与流体一起运动的任意曲面的磁通量守恒。
这就是磁冻结效应。
====================================


对于一些大家提到的问题的回复:
一、
@张晓光
Q (太阳)自转的能量从哪里来?和内部核聚变的关系能否讲讲
A 这是个好问题。
太阳的自转,叫做较差自转不要吐槽这个名字。。)。
什么意思呢,是说太阳不同的纬度,自转角速度不同。
这种现象,是流体星体所特有的。
正常的固态星体,因为是刚体啦,不同纬度的自转角速度都是一样的。
其自转角速度来自于星体形成时积累的相角,之后由于角动量守恒,就一直转下去了(当然这个要深挖,也有一堆东西可说的。
对于太阳这样的流体星体,无法维持一致的转动速度,而只要有速度差异,就有持续不断的耗散。
维持较差自转的能量,来自于星体内部的对流运动。
那对流是怎么产生的呢?简单说就是高温高密的核心物质向外流动了~~
所以这个关系是这样的:
太阳核心核聚变产生能量 》进入辐射区》产生对流 》维持较差自转 》较差自转通过太阳发电机产生太阳磁场 》太阳磁场能量通过磁重联释放








二、
@刘洋
Q 你说的磁场扭曲断裂,是不是会产生成对的太阳黑子?「太阳耀斑喷射的带有强磁场的气团」就是磁场碎片嘛?
A 黑子是太阳上,磁场比较强的地方,双极黑子确实伴随着很强的反向磁场。
黑子的产生机制比较复杂。
有的黑子很稳定,有的很快就消失了,未必是磁场扭曲断裂产生的。
一般认为,黑子的形成与磁流浮现机制有关。
如下图所示:
宇宙中没有氧气,为何太阳会燃烧出火焰?991 / 作者:给我闪 / 帖子ID:31025


环形磁场在对流的不稳定性下,向上浮,直到满足静力学平衡为止。
此时,环足点处(图中黑块)形成双极黑子。
太阳耀斑喷射的带有强磁场的气团,气团会带着磁场一起跑,这也是磁冻结效应的体现。
……
三、
@吧扎嘿
Q 日冕是大气最外层,几百万度,光球层是大气最内层,6000度,是什么原因导致内凉外热,而且差那么大?
A 这也是个好问题,可惜我无法给出确定的答案。。。
因为,日冕反常加热问题是太阳物理中的一个非常重要的未解决问题。
围绕这个问题提出的相关理论太多了,如耀斑加热、阿尔文波加热等等,至今没有达成一致。
我们组里面就有人靠这个问题吃饭的。。
感兴趣的话,可以关注这个问题:
太阳的大气层由里到外分成光球、色球、日冕三大层次,它们的温度是依次增加的,原因是什么? - 物理学
期待有生之年,可以看到这个问题的确定答案~~
……
四、
@唐门
Q 第一次听说太阳物理专业。。。。
A 唉,人类太空殖民速度太慢了啊。。
要是太阳系空间,到处都是空间站、货运飞船、殖民点、电磁中继器和深空探测器。
太阳物理绝对是最热门的专业你信不信!
……
五、
@陈三三
Q 能用人造磁体模拟吗?
A 如果说模拟真实太阳活动的话。。没钱呀。。
那些做实验室模拟的,几米直径的设备就是大设备了。
太阳直径百万千米,一个日珥能塞进去十几个地球,大家感受下。。
……
六、
@关文凯
Q「日冕的厚度则可以达到好几个太阳半径」不能理解。太阳不是个球体吗?日冕层的厚度能超过太阳半径?我糊涂了!
A 这里的太阳半径,没有算太阳大气,就像地球半径,不计算地球大气一样。
……
七、
@Finnegans Wake
Q 感觉好厉害……其实我很好奇人们是怎么研究和观察太阳的呢?单是能区分出光球层和色球层这一点就觉得很不可思议……毕竟我觉得一般来说人类连发个接近太阳的探测器都很少有
A 确实,太阳观测卫星大都在地球轨道上,很少有接近太阳直接绕太阳转的探测器。
那些绕太阳转的探测器,如两颗STEREO卫星,也躲在地球绕日轨道附近。
[code][/code]

观测太阳的手段,主要有卫星观测,和地面太阳望远镜观测两种。
其中地面观测,只能观测可见光和射电波段,卫星观测则可以覆盖全波段。
另外,也有对太阳高能粒子的探测。
这个谈细节的话,可以单独写一篇文章了,我不是做观测的,就不多说啦~~
光球层和色球层的区别的话。。这个很有意思。
光球层,可以理解成人们能直接看到的太阳,最里面的那一层,再往里面就不透明了。
做个不恰当的类比的话,光球层相当于地球的地表。
人们接收到的,宁静太阳的辐射,主要来自于光球层。
通过肉眼看太阳时,人们看到的太阳表面,也就是光球层。
色球层在地球上用肉眼是不能直接看到的,因为色球的辐射会被大气层散射掉。
人们最早看到色球层,是在日全食的时候。这时候,光球层的强辐射被遮挡,观测者能用肉眼看到,太阳圆面周围,有一层非常美丽的、玫瑰红色的辉光。这就是色球层。
八、
@罗之睿
Q 答主不知道看过《三体》这本科幻小说没有,其中有一个说法,希望答主能给看看是不是合理。
太阳可以让充当放大电磁信号的作用,将能够穿透太阳对流层的低能电磁波,放大很多倍重新释放出去。具体参见《三体 地球往事》第 23 章 红岸之五。
当然毕竟是科幻小说中间出现的内容,很可能是虚构,我这门外汉,也只能投靠答主,来满足一下求知欲了,如果找不到书可以私信,我发你。
A 哈哈,这个我要答。
《三体》我是从高三开始在《科幻世界》上追连载的哦。
大刘有的科幻构想是纯脑洞的,比如说,太阳对辐射的放大作用。。
除了《三体》里,太阳当了叶文洁的电磁波放大器之外,《全频带阻塞干扰》里还有一个宇宙飞船冲进太阳里,引发超级太阳风暴挽救中国命运的设定。
真要从太阳物理的角度来分析的话,我只能很遗憾的说,完全没有可能的……
这就像往大海里洒一滴水,就引发了全球海啸一样荒谬……
btw,这种傻傻的问题我也问过的。
曾经问过做银河系射电观测的同学,如果把你们的射电望远镜对准太阳会发生什么?她告诉我,会被烧坏…………………………
(为什么没去问做太阳射电观测的同学呢,因为我觉得雷达峰射电望远镜既然是以搜索外星文明为目的,应该跟我们做银河系巡天的望远镜更像。。)
九、
@大缺弦
Q 谢谢答主的回复。第一个问题还是有些不理解。
等离子气体从激发态回到基态时放出能量,产生我们看到的火焰。
那么既然日冕的气体本来就是完全电离的,那为什么还说是磁重联现象导致的火焰呢?
A 这里是我的问题,这个地方没说明白,先在这里解释一下,以免让大家误解。
正文改起来比较麻烦,回头再改。
大致是这样的。
题主的问题比较模糊,可以理解成恒星整体发光发热的机制,也可以理解成恒星表面火焰状结构的形成机制。我是从后面这种理解入手答的。
太阳表面可以分为「宁静太阳」和「太阳活动区」两部分。
「宁静太阳」就是不考虑太阳表面的,活动爆发情况的稳定太阳。
在这种模型下,有光球、色球、日冕这些壳层划分,日冕高温完全电离,光球低温部分电离等等。这些构成了一个稳定的等离子体球。这样的等离子体,其球状稳定结构的形成,与日核的核聚变机制密不可分。
在这种模型下,不需要考虑磁重联。
答案里提到的「太阳表面的火焰状结构」主要指的是「太阳活动区」情况,即在「宁静太阳」的背景上,发生的剧烈高能活动。
这些活动的机制是磁重联。
……
十、
@赵晗
Q 理工科真倒霉,不止要做生产力,还要给没有生产力的人科普。
(后者本来属于没生产力的错误,结果怎么成理所应当的了?)
A 终于有人提这个问题了。
有这个疑问的人想必不在少数,多说一点。
科普的意义是什么?
我不想说提高全人类科学素养之类空泛的话,做科研的很少真心在意这个,这也不是普通科研人员应承担的责任。
只从一个理性的普通科研人员的角度来说,科普(对你本人)的意义是什么?
毫不夸张的说,科普直接影响一门学科的生存,最终当然也会影响到你的科研经费。
最明显的例子,是转基因
我不想在这里涉及转基因双方的争执,只想说,转基因技术已经有几十年的历史了。
如果有科研人员能早点写出,像卡尔.萨根和斯蒂芬.霍金那样影响力的转基因科普书,而不是任由媒体和好莱坞大片,一遍又一遍的给大众洗脑的话,挺转者至少不需要这么辛苦的跟反转者一句句争执基本概念了。
(道金斯的《自私的基因》倒是很出名,但个人认为在妖魔化基因技术上,是起了推动作用的。只是个人看法,欢迎生物专业同学打脸。)
你说社会上的反转基因者再多,也影响不了你的饭碗?OK,你肯定不是相关方向的。
答主是学天文的,跟生物没关。
但我至今还记得 2014 年崔永元(此处的身份是人大代表)在两会期间的反转基因提案,引起了「热议」。
即使后来中共高层公开表态支持转基因,反转基因仍愈演愈烈,得到了大批民众的支持。知乎上相关讨论很多,不多说了。
想想看,如果哪天反转提案通过了,所有那些拿转基因科研经费的人怎么活?
问题到底出在哪呢?中国的普通民众都无可救药不可理喻吗?
说句实在话,我们做天文的,研究的东西跟国计民生关系实在不大,不像做转基因的,辛辛苦苦为普通人提高粮食产量谋求福利。可是为什么天文这边造卫星造望远镜花那么多钱又没有实利,普通人似乎还都很支持呢?
我能想到的很重要的一个原因,是托了卡尔.萨根和斯蒂芬.霍金们的福,是无数精美的纪录片制作者的功劳,是大量天文论坛版主、天文馆工作人员和业余天文爱好者的默默影响。
一句话,是因为天文学有做科普的悠久传统。
公众对你所在学科的支持,并不是理所当然的。
如果突然某一天,你一直在研究的课题、使用的工具或研制(制造)的产品被大量普通人反对,被认为是邪恶的不应该出现的,你会怎么想?
除了暗骂这群人之外,你是否会想,如果能早点跟大众好好解释,最好能从他们小时候上学时候就开始影响,现在这种事就不会发生了。
如今,科学在大众心中的地位,实在并不乐观。当下早就不是 17 世纪、 19 世纪或 20 世纪中叶了。
科学日益专业化,远离直观概念,远离日常生活。
技术日益黑箱化,科技产品与魔法无疑。
如果科研人员和工程人员,本身都在刻意制造科学与大众的隔阂,那么大众普遍反科学反技术的浪潮,也就不遥远了。
当那一天真的到来,理工科的诸位,就自求多福吧。
(btw,我之前说的那句话「理工生的责任和义务难道不是做科普来让普通人更多的了解科学吗」,是为了反驳某童鞋所说的这样一句话:「我们理工生的责任和义务主要有两条,一条是为人类找到通向真理的道路,另一条是嘲笑无知者。」)
……
还有问题的话欢迎提问。
……
为了不影响正文,以前的碎碎念都放在这里
就两天时间,这个原本几十关注的问题,突然有这么多人点赞……
原来还是有这么多人关注我们太阳物理的,泪奔……
因为个人专业原因,碰巧能在这个问题下给大家提供一个不一样的思路。
既然很偶然的获得不少关注,那就借这个机会好好科普一下太阳物理吧~~
好多评论说原答案看不懂的,额,先说声抱歉,这个答案是知乎首答,一年多了,当时没组织好语言。既然有这么多人感兴趣,那我就再多说一点,补充一些背景说明和图片,解释几个大家困惑的问题。
对太阳物理感兴趣的童鞋,可以看这个:怎样理解太阳风暴对地球的影响? - 乔小海的回答
里面有对太阳物理比较详细的介绍。
大家的评论我都会看,但不能保证即时和一一回复,先说声抱歉哈
感谢 @乔小海@Louis Stuart 在评论中的补充和建议~
关注的人多之后,各种类型的回答都出来了,题主也修改了问题描述。
本来不想评论的,实在忍不住了。
我很不解,理工生的责任和义务难道不是做科普来让普通人更多的了解科学吗?
(如果对这句话有疑问的话,请看第十条 Q&A)
看这个问题下好多人对题主的嘲笑,我想我能理解中国为什么会有普遍的反智倾向,科学素养的普及为什么如此艰难了。
我觉得题主的问题是很有价值的。而且我觉得,题主能提这个问题,就已经比那些毫无好奇心和求知欲的人好多了。
2015 12 10 补充:
现在来看,这个问题的答案区正常多了~
只有评论区还能看到当时的惨烈……
本来就是一个开放的问题,从化学角度(比如燃烧的本质、各种氧化反应的区别、电离过程等。)、核聚变角度(比如太阳数十亿年稳定燃烧的机制、太阳内部的能量传递、核聚变的机制等。)可以给出很好的回答的。
大家感兴趣的话,可以看其他答主从不同角度给出的答案。




最后,文中相当一部分图片,来自于南大天文系,罗新炼老师的课件,图侵删。
更多太阳物理高清图片的话……大家可以去看:怎样理解太阳风暴对地球的影响? - 乔小海的回答
我就偷个懒不再重发了

回复 显示全部楼层 道具 举报

online_member 发表于 2018-6-13 11:00:03
等离子体(火焰)产生 宇宙中没有氧气,为何太阳会燃烧出火焰?191 / 作者:yanbing2796 / 帖子ID:31025 燃烧 宇宙中没有氧气,为何太阳会燃烧出火焰?184 / 作者:yanbing2796 / 帖子ID:31025剧烈的氧化反应 宇宙中没有氧气,为何太阳会燃烧出火焰?543 / 作者:yanbing2796 / 帖子ID:31025 氧气参与的剧烈氧化反应

回复 显示全部楼层 道具 举报

online_member 发表于 2018-6-13 11:00:03
引用一下果壳,
大体来说就是太阳所谓的“燃烧”不是化学反应,而是核反应。

太阳上有氧气吗?为什么会一直燃烧?
燃烧一般是指比较剧烈的发光发热的氧化反应,属于化学反应的范畴。但是太阳上发生的是热核聚变反应,氘和氚聚变成氦,释放的能量与化学反应不是一个数量级的。所以严格来说太阳并没有“燃烧”,更像是一个巨大的氢弹,用100亿年来完成爆炸的过程,现在就是这个“氢弹”爆炸的中期。

回复 显示全部楼层 道具 举报

online_member 发表于 2018-6-13 11:00:03
我试着用通俗的语言来回答这个问题,由于是非专业人士,错误之处还请指正。
关于题主的问题:宇宙中没有氧气,为何太阳会燃烧出火焰。

    燃烧,英文写作combustion,我们在中学时期学到的经典理论中对其定义是物质发生剧烈的氧化还原反应,并产生光和热的过程。这一定义要求不一定有氧气参与,但必须满足是氧化还原反应这一条件。如果仅从该定义出发,太阳上并没有氧化还原反应发生,也就不存在燃烧一说。现代理论说燃烧是“由自由基中间体参与的链式反应”。这看起来与太阳上发生的原子核的聚变反应有一定的相似之处,但实质并不相同。这是因为燃烧是化学反应,其反应主体游离基是化学键断裂后形成的具有不成对电子的原子或基团;而核聚变则是物理反应,其反应主体是原子核。
所以得出 结论1.太阳并不是在燃烧

然后是为什么太阳是否会“发出火焰”这个问题。我认为这个问题其实是”太阳为什么会像火焰一样发光“
    火焰是什么?通俗的讲,火焰是被燃烧产生的高温加热后发生电离的气体。火焰之所以会“发光”,是因为在电离的过程中,原子被能量激发的同时会释放出光子,也就产生了可见光。

我们为什么看到太阳会发光呢?要回答这个问题,首先来了解一下太阳的结构。正如地球从内到外被划分成地核-地幔-地壳,太阳虽然并不是地球这样的岩石行星,但科学家也已经给太阳划分了类似的分层结构,它们由内到外是:太阳核心-辐射层-对流层-光球层-大气层。科学上以光球层的表面作为太阳的“地表”,再往外就是太阳的大气层,大气层又包含了色球层、日冕等。我们看到的发光的太阳,其实就是太阳的光球层。
宇宙中没有氧气,为何太阳会燃烧出火焰?68 / 作者:KrpUpncK / 帖子ID:31025




那么,太阳光又是怎么来的呢?太阳发光的过程与火焰发光的过程十分类似。在太阳核心处,由于其物质密度非常巨大,在巨大压力的作用下,氢原子以无法束缚自己的电子,因而以裸露的质子--氢原子核的形态存在。由于超高压和超高温(超过1000万K)的作用,太阳核心处不断进行着核聚变反应,每4个氢原子核融合成1个氦原子核,同时,原子核的部分质量被转化成能量,以γ射线(高能量的光子流)的形式向核心以外释放,这一过程遵循爱因斯坦质能方程,这种聚变反应在且仅在太阳核心进行。γ射线本身是不可见的,在离开太阳核心到达光球层时,γ射线的能量衰减,波长增大,转化为可见光光子进而逃逸到宇宙空间中。这就是肉眼可见的太阳实际上是光球层的原因。值得一提的是,γ射线到达太阳表面的过程十分坎坷,太阳核心周围包裹的等离子体会不断地”吃掉“(吸收)这些γ射线,再向周围随机地"吐出"(辐射)更低能量的γ射线。因此太阳核心产生的γ射线到达太阳表面要花上数万乃至数十万年的时间,也就是说,我们现在看到的太阳光往往是几十万年以前就在太阳核心产生的

所以得出结论2.太阳“发出火焰”的本质是太阳核心发生氢核聚变释放的γ射线在到达光球层后以可见光的形式向宇宙空间逸散

--------------------------------------------------------------------------------------------------------------------------------------------
                                                我是分割线( ̄_, ̄ )
--------------------------------------------------------------------------------------------------------------------------------------------
接下来我试着以我的理解来阐述一下@尚萌讲过的几个问题

1.太阳磁场和太阳活动
我们都知道地球有自己的磁场,它使得指南针永远指向南(北)极,也是极光形成的原因,很多生物比如鸽子利用地磁场来寻找方向。太阳也有自己的磁场,而且它的磁场要比地磁场复杂得多。太阳不仅在大尺度上有着整体的磁场,在比较小的尺度上(当然这也是相对太阳的大小而言)存在着很多小型的磁场,其中大部分小尺度磁场都是双极磁场,和我们见到的磁铁类似,有着一个磁S极和一个N极。
关于太阳磁场的形成目前尚未有定论,一个可能的猜测是太阳放电机理论,它认为太阳内部导电的等离子体对流环圈与太阳原始的磁场作用,这一过程就像发电机切割磁感线会发电一样,它破坏了太阳的原始磁场,然后形成了偶极磁场。双极磁场是偶极磁场中的一种。
太阳是一颗磁力活跃的恒星,它的磁场是在不断变化着的。各种太阳活动,如日珥、太阳黑子、耀斑和太阳风等都与太阳磁场活动有着密切关系。

2.磁重联和耀斑
这一理论最初被提出是为了解释太阳耀斑的形成原因。什么是磁重联?简单来说,磁重联,magnetic reconnection,顾名思义,是磁力线断裂、重新联结的过程。
由于太阳是由等离子体组成的恒星,这些等离子体不是固体,不会待在原地不动。太阳核心发生核聚变产生的能量在传递到太阳表面(光球层)的过程中逐渐减少,离核心越远的部分越冷。就像烧开水一样,等离子体由于温差而产生对流,这一过程导致太阳赤道部分自转的角速度最快,越靠近南北极的地区自转速度越慢,这就是较差自转。较差自转使得太阳不同地区的磁力线随时间的推移而扭曲、纠缠在一起,当这种扭曲到达一定程度后,缠绕在一起的磁力线们最终断裂,并重新排布,形成新的磁力线,这一过程被称为磁重联。在磁力线重排的过程中会释放大量的能量,这些能量自太阳表面喷发,在极短的时间(通常只有几分钟到几十分钟)内加热太阳的大气层,并向太空抛射大量被加速到光速的粒子,这一现象便是太阳耀斑,太阳耀斑的爆发往往也伴随着日珥的剧烈喷发。
宇宙中没有氧气,为何太阳会燃烧出火焰?403 / 作者:KrpUpncK / 帖子ID:31025
2012年7月6日在1515太阳活动区发生的耀斑,它直接导致了地球上无线电的中断
宇宙中没有氧气,为何太阳会燃烧出火焰?837 / 作者:KrpUpncK / 帖子ID:31025

日珥的剧烈喷发,可以看到大量等离子体被抛向太空,再落回太阳表面

回复 显示全部楼层 道具 举报

00_avatar_middle
您需要登录后才可以回帖 登录 | 注册会员

手机版|UFO中文网

GMT+8, 2026-5-11 07:39

Powered by Discuz! X3.5

© 2001-2026 Discuz! Team.

快速回复 返回顶部 返回列表