找回密码
注册会员
发新帖
52_avatar_middle

1564

积分

0

好友

39

主题
online_member 发表于 2018-6-12 22:38:42 | 查看: 3505| 回复: 20
宇宙中的高级文明很多很多,在这么长的时间里,即使碰运气,我们现代社会也应该可以碰到一次我们人类可以理解和接触的、比较大规模的访问或者外星系传递过来的信息,但似乎没有。是否代表文明再高级也不可能实现星际穿越,或升级到更高维空间。
online_member 发表于 2018-6-12 22:38:42
题主的问题可以归于两个比较有名的思考:
费米悖论和大沉默
~~~~~~~~~~~~~~~~~~~~~~~~~~~~~~~~~~~~~~~~~~~~~~~~~~~~~~~~~~~~~~~~~~~~~~~~
费米悖论:
费米悖论Fermiparadox,又称费米谬论)阐述的是对地外文明存在性的过高估计和缺少相关证据之间的矛盾。 宇宙惊人的年龄和庞大的星体数量意味着,除非地球是一个特殊的例子,否则地外生命应该广泛存在。在1950年的一次非正式讨论中,物理学家恩里科·费米问道,如果银河系存在大量先进的地外文明,那么为什么连飞船或者探测器之类的证据都看不到。对这个话题更加具体的探讨最早出现在1975年麦克·哈特的文章中,有时也被叫做麦克·哈特悖论
所以费米悖论讲述的是有关尺度和概率的论点和稀缺的证据之间的矛盾,即宇宙显著的尺度和年龄意味着高等地外文明应该存在。
引自Fermi paradox
下面利用两个个非常精良的油管视频来展开费米悖论,各位读者爆米花准备,别忘了请开着Wi-Fi哦:
费米悖论Part 1(内容简介):
https://www.youtube.com/watch?v=sNhhvQGsMEc
可观测宇宙的直径大约有900亿光年。至少有1000亿个星系,每个星系拥有大概1000亿到10000亿颗恒星。
宇宙已经 140 亿岁了,多少文明存在又消亡过,为何没有文明进化到可以太空旅行,通过虫洞找到我们?730 / 作者:zhaobai / 帖子ID:31004
最近,我们已经了解到,行星是非常普遍的。我们的宇宙中可能有上万亿的适宜居住的行星。
宇宙已经 140 亿岁了,多少文明存在又消亡过,为何没有文明进化到可以太空旅行,通过虫洞找到我们?414 / 作者:zhaobai / 帖子ID:31004
这意味着生命存在和发展的机会很大,不是吗?但它在哪里呢?难道宇宙中不是应该充满宇宙飞船和星空战舰吗?让我们退一步想想。
宇宙已经 140 亿岁了,多少文明存在又消亡过,为何没有文明进化到可以太空旅行,通过虫洞找到我们?800 / 作者:zhaobai / 帖子ID:31004
即使有其他星系存在外星文明,我们完全没有办法知道他们的存在。就我们所知,银河系和近邻星团被称为“本星系群”(the localgroup),所有在这之外的星系我们基本上永远不会接触到,这是因为我们的宇宙在膨胀(这个我在这个回答为什么宇宙的年龄是 130 亿年,而我们却能看到 470 亿光年远的东西? - 土豆泥的回答里有简要阐述)。
宇宙已经 140 亿岁了,多少文明存在又消亡过,为何没有文明进化到可以太空旅行,通过虫洞找到我们?435 / 作者:zhaobai / 帖子ID:31004
即使我们有非常快的飞船,说起来也要花好几亿年的时间才能穿过宇宙中最空旷的地方到达本星系群之外的星系。
宇宙已经 140 亿岁了,多少文明存在又消亡过,为何没有文明进化到可以太空旅行,通过虫洞找到我们?684 / 作者:zhaobai / 帖子ID:31004
所以,我们把注意力放在银河系上。银河系是我们的家园,它包含了多达4千亿颗恒星。整个可观测宇宙的恒星数量之多,大约是地球上的每一粒沙子可以对应其中的一万颗恒星。
宇宙已经 140 亿岁了,多少文明存在又消亡过,为何没有文明进化到可以太空旅行,通过虫洞找到我们?604 / 作者:zhaobai / 帖子ID:31004
在银河系中,大约有200亿颗跟太阳相似的恒星。估算表明这些恒星中有五分之一有处在宜居带的类地行星。宜居带就是恒星周围适合生命存在的轨道区域。
宇宙已经 140 亿岁了,多少文明存在又消亡过,为何没有文明进化到可以太空旅行,通过虫洞找到我们?719 / 作者:zhaobai / 帖子ID:31004
假设这些行星中只有0.1%有生命,那么整个银河系中有100万的行星上会有生命存在(参考德雷克方程,https://en.wikipedia.org/wiki/Drake_equation)。 宇宙已经 140 亿岁了,多少文明存在又消亡过,为何没有文明进化到可以太空旅行,通过虫洞找到我们?238 / 作者:zhaobai / 帖子ID:31004

等等,银河系大约有130亿年的历史,最开始的时候,银河系并不是一个适合生命存在的地方,这是因为很多东西在爆炸,但是,在银河系诞生后的10到20亿年,第一颗宜居行星就会诞生了。 宇宙已经 140 亿岁了,多少文明存在又消亡过,为何没有文明进化到可以太空旅行,通过虫洞找到我们?612 / 作者:zhaobai / 帖子ID:31004

地球只有40亿年的历史,所以有数不尽的可能性,生命在其它的行星上也诞生了。 宇宙已经 140 亿岁了,多少文明存在又消亡过,为何没有文明进化到可以太空旅行,通过虫洞找到我们?57 / 作者:zhaobai / 帖子ID:31004

即使只有一种生命发展出了太空旅行的科技文明,我们现在就已经注意到他们了,或者我们就已经被注意到了。那么,这样的科技文明是什么样的呢? 宇宙已经 140 亿岁了,多少文明存在又消亡过,为何没有文明进化到可以太空旅行,通过虫洞找到我们?585 / 作者:zhaobai / 帖子ID:31004

我们根据卡尔达肖夫指数(Kardashev scale),把他们分成了三类:
I型文明
一个I型的文明可以使用他们星球上所有的能源。 宇宙已经 140 亿岁了,多少文明存在又消亡过,为何没有文明进化到可以太空旅行,通过虫洞找到我们?354 / 作者:zhaobai / 帖子ID:31004

如果你想知道人类目前的状态的话,我们大约处在I型文明的73%左右。在接下来的几百年间,我们应该会达到I型的文明水准。 宇宙已经 140 亿岁了,多少文明存在又消亡过,为何没有文明进化到可以太空旅行,通过虫洞找到我们?298 / 作者:zhaobai / 帖子ID:31004

II型文明
II型文明可以使用他们的宿主恒星的所有能源。 宇宙已经 140 亿岁了,多少文明存在又消亡过,为何没有文明进化到可以太空旅行,通过虫洞找到我们?883 / 作者:zhaobai / 帖子ID:31004

实现这些目前可能需要一些科幻,但是原则上是可行的。戴森球就是这样一个可行的概念:一个环绕其恒星的系统结构。 宇宙已经 140 亿岁了,多少文明存在又消亡过,为何没有文明进化到可以太空旅行,通过虫洞找到我们?106 / 作者:zhaobai / 帖子ID:31004

III型文明
III型文明基本上可以控制整个星系并使用它的能源。 宇宙已经 140 亿岁了,多少文明存在又消亡过,为何没有文明进化到可以太空旅行,通过虫洞找到我们?201 / 作者:zhaobai / 帖子ID:31004

但是为什么我们不能够一开始就看到这样的文明呢?
如果我们要建造可以承载足够生活几千年人口的飞船,我们可以在200万年之内殖民整个星系。听起来像是一个很长的时间,但是请记住,银河系很大哦。 宇宙已经 140 亿岁了,多少文明存在又消亡过,为何没有文明进化到可以太空旅行,通过虫洞找到我们?189 / 作者:zhaobai / 帖子ID:31004

所以殖民整个星系需要花费几百万年的时间,而且银河系中可能有不下数十亿的适合生命的行星,这些其它的生命比我们要诞生的早的多,那么,这些外星人都去哪里了呢? 宇宙已经 140 亿岁了,多少文明存在又消亡过,为何没有文明进化到可以太空旅行,通过虫洞找到我们?703 / 作者:zhaobai / 帖子ID:31004

这就是费米悖论,并且没有人能给出答案。 宇宙已经 140 亿岁了,多少文明存在又消亡过,为何没有文明进化到可以太空旅行,通过虫洞找到我们?339 / 作者:zhaobai / 帖子ID:31004

不过,我们有一些猜想。我们来聊聊大过滤(the great filter)吧。
在这个语境中,过滤器指的是生命很难度过的障碍。在很多中情况下,它都显得都很可怕。 宇宙已经 140 亿岁了,多少文明存在又消亡过,为何没有文明进化到可以太空旅行,通过虫洞找到我们?505 / 作者:zhaobai / 帖子ID:31004

第一种,存在大过滤器,并且我们已经克服了它们。 宇宙已经 140 亿岁了,多少文明存在又消亡过,为何没有文明进化到可以太空旅行,通过虫洞找到我们?301 / 作者:zhaobai / 帖子ID:31004

也许复杂的生命发展起来要比我们想象的要难得多。到现在,科学上的生命起源过程都没有完全弄明白,也许这个过程要求的条件非常复杂。 宇宙已经 140 亿岁了,多少文明存在又消亡过,为何没有文明进化到可以太空旅行,通过虫洞找到我们?278 / 作者:zhaobai / 帖子ID:31004

也许过去的宇宙对于生命的形成充满了敌意,只是最近的情况才变得友好,复杂的生命才可以存在。 宇宙已经 140 亿岁了,多少文明存在又消亡过,为何没有文明进化到可以太空旅行,通过虫洞找到我们?577 / 作者:zhaobai / 帖子ID:31004

这可能意味着我们就是独一无二的,或者是宇宙中的第一批文明——是否是整个宇宙第一个文明就不可知了。 宇宙已经 140 亿岁了,多少文明存在又消亡过,为何没有文明进化到可以太空旅行,通过虫洞找到我们?395 / 作者:zhaobai / 帖子ID:31004

第二种,存在大过滤器,而且它们就在我们的前面。 宇宙已经 140 亿岁了,多少文明存在又消亡过,为何没有文明进化到可以太空旅行,通过虫洞找到我们?320 / 作者:zhaobai / 帖子ID:31004

这一条就真的很可怕了,也许像我们这样水平的生命在宇宙中到处都有,不过到了一个特定的水平,相应的文明就被毁灭了,也许这个过滤器就在我们的前面。 宇宙已经 140 亿岁了,多少文明存在又消亡过,为何没有文明进化到可以太空旅行,通过虫洞找到我们?900 / 作者:zhaobai / 帖子ID:31004

例如,在未来,有了很牛的科技,而这种科技全然超出了我们的预料与掌控(参考Technological singularity,技术奇点),在不断的误用之后,它就把整个行星给毁灭了。 宇宙已经 140 亿岁了,多少文明存在又消亡过,为何没有文明进化到可以太空旅行,通过虫洞找到我们?999 / 作者:zhaobai / 帖子ID:31004

每一个先进文明的最后一句话可能就是:“只要我按下这个按钮,这个新的装置就会解决我们所有的问题。” 宇宙已经 140 亿岁了,多少文明存在又消亡过,为何没有文明进化到可以太空旅行,通过虫洞找到我们?615 / 作者:zhaobai / 帖子ID:31004


如果这个是真的话,那么我们更接近人类文明的末日,而不是人类的开端。
又或许存在一个古老的III型文明,他们监视着整个宇宙,一旦一个文明变得足够先进,它就被立刻铲除掉了。 宇宙已经 140 亿岁了,多少文明存在又消亡过,为何没有文明进化到可以太空旅行,通过虫洞找到我们?775 / 作者:zhaobai / 帖子ID:31004

也许对于可能的某种存在,我们还是不发现的要好(然而旅行者号已经发出了“声音”)。 宇宙已经 140 亿岁了,多少文明存在又消亡过,为何没有文明进化到可以太空旅行,通过虫洞找到我们?315 / 作者:zhaobai / 帖子ID:31004

最后一个想法,也许我们就是孤单的。目前说来,我们并没有任何的证据表明除了我们之外还有其他的(智慧)生命。 宇宙已经 140 亿岁了,多少文明存在又消亡过,为何没有文明进化到可以太空旅行,通过虫洞找到我们?28 / 作者:zhaobai / 帖子ID:31004

外面什么也没有,宇宙看起来如死寂一般。没有人给我们发送信息,也没有人回答我们的呼唤。我们可能是完完全全的孤单一人,被困在湿漉漉的泥球上,周围是永恒的宇宙。 宇宙已经 140 亿岁了,多少文明存在又消亡过,为何没有文明进化到可以太空旅行,通过虫洞找到我们?430 / 作者:zhaobai / 帖子ID:31004

这个想法吓坏你了吗?如果是的话,你的反应是正确的。
如果我们让这个星球上的文明死去的话,也许整个宇宙就再也没有生命了。在我们的宇宙中,生命可能就从此一去不复返。 宇宙已经 140 亿岁了,多少文明存在又消亡过,为何没有文明进化到可以太空旅行,通过虫洞找到我们?452 / 作者:zhaobai / 帖子ID:31004

如果是这样的话,我们只需要大胆的飞向宇宙,并成为第一个III型文明,让生命之火在宇宙之中蔓延,直到这个宇宙的最后一刻。 宇宙已经 140 亿岁了,多少文明存在又消亡过,为何没有文明进化到可以太空旅行,通过虫洞找到我们?202 / 作者:zhaobai / 帖子ID:31004

宇宙如此美丽,如果没有人来品味的话,也是太可惜了。 宇宙已经 140 亿岁了,多少文明存在又消亡过,为何没有文明进化到可以太空旅行,通过虫洞找到我们?60 / 作者:zhaobai / 帖子ID:31004

费米悖论Part 2(一些思考):

https://www.youtube.com/watch?v=1fQkVqno-uI
1.思考A
太空旅行非常难,虽然有可能,但前往其他恒星仍是一个巨大的挑战:
(1)大量的材料必须被送入轨道和组装。另外,几千年的“长途”旅程所装带的人口,也会成为这一技术的阻碍。 宇宙已经 140 亿岁了,多少文明存在又消亡过,为何没有文明进化到可以太空旅行,通过虫洞找到我们?594 / 作者:zhaobai / 帖子ID:31004

(2)目的星球也绝不如同它从远方看起来的那般好客。
宇宙已经 140 亿岁了,多少文明存在又消亡过,为何没有文明进化到可以太空旅行,通过虫洞找到我们?89 / 作者:zhaobai / 帖子ID:31004

(3)造成的星际入侵,也许也无法避免。(对于其他种族的星际空间的无意闯入) 宇宙已经 140 亿岁了,多少文明存在又消亡过,为何没有文明进化到可以太空旅行,通过虫洞找到我们?891 / 作者:zhaobai / 帖子ID:31004

(4)还需要考虑时间,宇宙已经很老了,在地球上,生命存在了至少36亿年,而根据考苦学推断的所谓智人在约25万年前出现,但是大约仅一个世纪,我们才有远距离通信技术。 宇宙已经 140 亿岁了,多少文明存在又消亡过,为何没有文明进化到可以太空旅行,通过虫洞找到我们?684 / 作者:zhaobai / 帖子ID:31004


2.思考B
当然了,抛开上面的困境不说,也许已经有盛大的外星人帝国铺张在成千上万的系统并存在了数百万年,我们可能只是错过了他们。 宇宙已经 140 亿岁了,多少文明存在又消亡过,为何没有文明进化到可以太空旅行,通过虫洞找到我们?411 / 作者:zhaobai / 帖子ID:31004

可能有伟岸的废墟在遥远的世界上腐朽。 宇宙已经 140 亿岁了,多少文明存在又消亡过,为何没有文明进化到可以太空旅行,通过虫洞找到我们?277 / 作者:zhaobai / 帖子ID:31004

地球上所有物种中的99%都灭绝了。人们很容易认为,这将是我们迟早要面对的命运。 宇宙已经 140 亿岁了,多少文明存在又消亡过,为何没有文明进化到可以太空旅行,通过虫洞找到我们?797 / 作者:zhaobai / 帖子ID:31004

智能生命可能发展,分布到几个系统上,然后死光了,一遍又一遍的重复。但银河文明可能永远不会满足。 宇宙已经 140 亿岁了,多少文明存在又消亡过,为何没有文明进化到可以太空旅行,通过虫洞找到我们?801 / 作者:zhaobai / 帖子ID:31004

所以也许对于宇宙中的生命,这会是统一的体验:望着星星,并怀疑“大家在哪里?” 宇宙已经 140 亿岁了,多少文明存在又消亡过,为何没有文明进化到可以太空旅行,通过虫洞找到我们?275 / 作者:zhaobai / 帖子ID:31004

但是没有理由认为外星人和我们一样,或者我们的逻辑也适合他们。这可能只是我们的沟通方式是非常原始和过时的。 宇宙已经 140 亿岁了,多少文明存在又消亡过,为何没有文明进化到可以太空旅行,通过虫洞找到我们?860 / 作者:zhaobai / 帖子ID:31004

想象一下,你坐在家里用摩斯电码发送器,持续不断地发信息,但是没有人会回应你。你觉得很孤独,可能是因为我们仍然无法察觉智能生物。我们将会继续这样做,直到我们学会正常通信。 宇宙已经 140 亿岁了,多少文明存在又消亡过,为何没有文明进化到可以太空旅行,通过虫洞找到我们?835 / 作者:zhaobai / 帖子ID:31004

即使我们遇到外星人,我们间的差异也可能过大,以至于无法与他们以有意义的方式交流。 宇宙已经 140 亿岁了,多少文明存在又消亡过,为何没有文明进化到可以太空旅行,通过虫洞找到我们?169 / 作者:zhaobai / 帖子ID:31004

想象一下你所能想到的最聪明的松鼠,不管你多努力,你都无法把我们的社会解释给它听。毕竟,以松鼠的视角,一棵树就像是自己需要生存的全部智慧。 宇宙已经 140 亿岁了,多少文明存在又消亡过,为何没有文明进化到可以太空旅行,通过虫洞找到我们?399 / 作者:zhaobai / 帖子ID:31004

因此,人类砍伐森林的举动是疯狂的,但不是因为我们恨松鼠而破坏森林,而是我们只想要资源,松鼠的愿望和松鼠的生存都不是我们所关心的。 宇宙已经 140 亿岁了,多少文明存在又消亡过,为何没有文明进化到可以太空旅行,通过虫洞找到我们?311 / 作者:zhaobai / 帖子ID:31004

当III型文明需要资源时,可能就会以相同的方式对待我们。他们可能会蒸发我们的海洋,只是要使他们收集资源更方便一些。 宇宙已经 140 亿岁了,多少文明存在又消亡过,为何没有文明进化到可以太空旅行,通过虫洞找到我们?221 / 作者:zhaobai / 帖子ID:31004

一个外星人,可能会这样想,“小小的猿们,他们建立真的很可爱的混凝土结构,哦,好吧,他们现在死了。” 宇宙已经 140 亿岁了,多少文明存在又消亡过,为何没有文明进化到可以太空旅行,通过虫洞找到我们?417 / 作者:zhaobai / 帖子ID:31004

但是,如果有一个文明,希望消除其他物种,它的动机更可能是殖民而不是经济。 宇宙已经 140 亿岁了,多少文明存在又消亡过,为何没有文明进化到可以太空旅行,通过虫洞找到我们?191 / 作者:zhaobai / 帖子ID:31004

而且无论如何,他们藉有自动化流程,通过构建完美的武器,能使一切更有效率,: 宇宙已经 140 亿岁了,多少文明存在又消亡过,为何没有文明进化到可以太空旅行,通过虫洞找到我们?413 / 作者:zhaobai / 帖子ID:31004

这可能是一种由纳米仪器建造的,一个自我复制的空间探测器。他们仪器平台所操作的分子水平,是令人难以置信的快速和致命的,具有能在瞬间攻击和摧毁任何事物的能力。 宇宙已经 140 亿岁了,多少文明存在又消亡过,为何没有文明进化到可以太空旅行,通过虫洞找到我们?101 / 作者:zhaobai / 帖子ID:31004


你只需要给他们四个指令:一,找到一个有生命的星球;二,拆解在这个星球上的一切,成为其组成元件;三,使用资源来建造新的空间探测器;四,重复上述过程。
像这样的世界末日机器,可能在几百万年内就消除整个星系的生命。 宇宙已经 140 亿岁了,多少文明存在又消亡过,为何没有文明进化到可以太空旅行,通过虫洞找到我们?877 / 作者:zhaobai / 帖子ID:31004


3.思考C
但是,为什么你会想要飞行数光年远,仅仅来收集资源或者造成种族灭绝?光的速度其实并不非常快,假如有人能以光速行进,穿越银河一次仍然需要10万年(配图有错忘见谅): 宇宙已经 140 亿岁了,多少文明存在又消亡过,为何没有文明进化到可以太空旅行,通过虫洞找到我们?701 / 作者:zhaobai / 帖子ID:31004

有可能比摧毁文明和建造帝国更为愉快的事情:一个有趣的概念就是Matrioshaka大脑。这是一个围绕恒星的巨大结构,而这种计算能力的电脑,可以让一个种族上传他们所有的意识和存在到模拟的宇宙。有可能,他们可以体验到永远纯粹的狂喜,没有出生或者悲伤,一个完美的人生。 宇宙已经 140 亿岁了,多少文明存在又消亡过,为何没有文明进化到可以太空旅行,通过虫洞找到我们?376 / 作者:zhaobai / 帖子ID:31004

如果它的建成地是围绕一颗红矮星的轨道,这台电脑可以供电长达10万亿年。如果这是一个简单的选择,谁愿意花大力气去征服银河系或者与其他生命形式的接触呢? 宇宙已经 140 亿岁了,多少文明存在又消亡过,为何没有文明进化到可以太空旅行,通过虫洞找到我们?741 / 作者:zhaobai / 帖子ID:31004

所有这些费米悖论的解决方案有一个问题:我们并不知道技术的边界 宇宙已经 140 亿岁了,多少文明存在又消亡过,为何没有文明进化到可以太空旅行,通过虫洞找到我们?559 / 作者:zhaobai / 帖子ID:31004

我们可能接近极限或是差的很远。例如,有一种超级棒的技术正在等着我们,能将我们能运送到其他星系。

4.思考D
然而我们不得不承认的是,我们真的什么都不知道: 宇宙已经 140 亿岁了,多少文明存在又消亡过,为何没有文明进化到可以太空旅行,通过虫洞找到我们?468 / 作者:zhaobai / 帖子ID:31004

人类已经花费了超过90%的时间作为狩猎采集。500年前,我们还认为自己是宇宙的中心。200年前,我们停止使用人力作为能量的主要来源。30年前,我们还把毁灭性武器互相指着对方,只是因为政治分歧。 宇宙已经 140 亿岁了,多少文明存在又消亡过,为何没有文明进化到可以太空旅行,通过虫洞找到我们?352 / 作者:zhaobai / 帖子ID:31004

然而,在以银河的时间尺度来看,我们只是胚胎。我们已经走了很远,但是仍有很长的路要走。而自以为是宇宙的中心的心态,仍然强力的印在人类心中,也因此让很多人容易产生对宇宙中其他生命的傲慢假设: 宇宙已经 140 亿岁了,多少文明存在又消亡过,为何没有文明进化到可以太空旅行,通过虫洞找到我们?57 / 作者:zhaobai / 帖子ID:31004

但最终,只有一个办法能够查明真相,对吗? 宇宙已经 140 亿岁了,多少文明存在又消亡过,为何没有文明进化到可以太空旅行,通过虫洞找到我们?939 / 作者:zhaobai / 帖子ID:31004

~~~~~~~~~~~~~~~~~~~~~~~~~~~~~~~~~~~~~~~~~~~~~~~~~~~~~~~~~~~~~~~~~~~~~~~~
大沉默
另一个紧密相关的问题是大沉默——即使难以星际旅行,如果生命是普遍存在的话,为什么我们探测不到电磁信号?有人尝试通过寻找地外文明的证据来解决费米悖论,也提出这些生命可能不具备人类的智慧。也有学者认为高等地外文明根本不存在,或者非常稀少以至于人类不可能联系得上。
引自Fermi paradox
不过,我们对于寻找地外生命形式的行星总是有我们固执的想法,比如我们觉得宜居星球要有大气层。仅以人类或者生物需要呼吸的成分为模板,就可以算出宜居行星的必要尺寸,咱么一起算一算看:
我们知道气体动力学理论中有一个均方根速度
宇宙已经 140 亿岁了,多少文明存在又消亡过,为何没有文明进化到可以太空旅行,通过虫洞找到我们?797 / 作者:zhaobai / 帖子ID:31004
上式中,R是摩尔气体常数,Mm是气体的摩尔质量
稍微变形一下,利用高斯积分和麦克斯韦速率分布律:

宇宙已经 140 亿岁了,多少文明存在又消亡过,为何没有文明进化到可以太空旅行,通过虫洞找到我们?113 / 作者:zhaobai / 帖子ID:31004
注意,这时候的m已经不是气体的摩尔质量了,而是气体中单个分子的质量

对于一颗行星,有一个逃逸速度:

宇宙已经 140 亿岁了,多少文明存在又消亡过,为何没有文明进化到可以太空旅行,通过虫洞找到我们?121 / 作者:zhaobai / 帖子ID:31004

根据纪录片《宇宙时空之旅》中的旁白,我们的地球年龄约有45亿年,假设地球还能再存在55亿年(太阳的红巨星阶段大约是70亿年后),图个简便也就是一共45+55=100亿年=10^10年
利用

宇宙已经 140 亿岁了,多少文明存在又消亡过,为何没有文明进化到可以太空旅行,通过虫洞找到我们?104 / 作者:zhaobai / 帖子ID:31004

可以得到
宇宙已经 140 亿岁了,多少文明存在又消亡过,为何没有文明进化到可以太空旅行,通过虫洞找到我们?531 / 作者:zhaobai / 帖子ID:31004

上面这个M是行星质量,m是气体单个分子的质量
再假设这个宜居行星的密度跟地球相仿:
Earth density=5.51 g/cm (Density of the Earth)

把行星假设成为球形,于是有:
宇宙已经 140 亿岁了,多少文明存在又消亡过,为何没有文明进化到可以太空旅行,通过虫洞找到我们?728 / 作者:zhaobai / 帖子ID:31004

带入其他已知条件: 宇宙已经 140 亿岁了,多少文明存在又消亡过,为何没有文明进化到可以太空旅行,通过虫洞找到我们?455 / 作者:zhaobai / 帖子ID:31004
可以有等式: 宇宙已经 140 亿岁了,多少文明存在又消亡过,为何没有文明进化到可以太空旅行,通过虫洞找到我们?263 / 作者:zhaobai / 帖子ID:31004
得出宜居星球的最小半径R=2841624m=2841.624km


2842千米比地球的半径(6371千米,Earth radius)的一半要小一些,跟Ganymede(木卫三,https://en.wikipedia.org/wiki/Ganymede_(moon))的半径2634.1±0.3 千米差不多:

宇宙已经 140 亿岁了,多少文明存在又消亡过,为何没有文明进化到可以太空旅行,通过虫洞找到我们?776 / 作者:zhaobai / 帖子ID:31004
图片来自Ganymede (moon)
但是,是不是情况可能与我们设想的不一样呢?是不是我们看向了错误的地方?
油管上面的MinutePhysics(https://www.youtube.com/watch?v=KRGca_Ya6OM)正经讨论了这个问题,结合这个网站The Big Alien Theory的理论,我们一起来看看:
当寻求外星生命时,我们会集中去找一些像地球的星球,即其环境状态与地球相似。
宇宙已经 140 亿岁了,多少文明存在又消亡过,为何没有文明进化到可以太空旅行,通过虫洞找到我们?961 / 作者:zhaobai / 帖子ID:31004
“在地球上有生命”,逻辑上就等于“像地球的地方很有可能会找到生命。”
宇宙已经 140 亿岁了,多少文明存在又消亡过,为何没有文明进化到可以太空旅行,通过虫洞找到我们?0 / 作者:zhaobai / 帖子ID:31004
可是,在可观测宇宙中,有成千上万个星系,而其中又有数十亿计的恒星,大部分都有行星环绕,总共约有百万十亿十亿(10^24)颗星体。
宇宙已经 140 亿岁了,多少文明存在又消亡过,为何没有文明进化到可以太空旅行,通过虫洞找到我们?19 / 作者:zhaobai / 帖子ID:31004
这样巨大的数目,可以让我们合理的假设:当中的大量星球有生命存在,甚至是有智慧生物。
宇宙已经 140 亿岁了,多少文明存在又消亡过,为何没有文明进化到可以太空旅行,通过虫洞找到我们?35 / 作者:zhaobai / 帖子ID:31004
而这个庞大的数量连同一些基础物理学和统计学,结果指出很有可能外星智慧会生存在一些不像地球的“宜居星球”,而且不像人类。
宇宙已经 140 亿岁了,多少文明存在又消亡过,为何没有文明进化到可以太空旅行,通过虫洞找到我们?298 / 作者:zhaobai / 帖子ID:31004
我明白这听起来有些疯狂,因为我们只有一个数据点(我们自己),我们可以做出任何关于外星人特性的预测,即使我们并不知道他们的存在。
宇宙已经 140 亿岁了,多少文明存在又消亡过,为何没有文明进化到可以太空旅行,通过虫洞找到我们?366 / 作者:zhaobai / 帖子ID:31004
但是其实我们不可以,原因如下(贝叶斯推断,Bayesian inference):
宇宙已经 140 亿岁了,多少文明存在又消亡过,为何没有文明进化到可以太空旅行,通过虫洞找到我们?84 / 作者:zhaobai / 帖子ID:31004
一个基础的统计学结果指出其中在典型的“个体”典型的“组别”特性的差异是巨大的:
宇宙已经 140 亿岁了,多少文明存在又消亡过,为何没有文明进化到可以太空旅行,通过虫洞找到我们?214 / 作者:zhaobai / 帖子ID:31004
例如,大部分人类居住在有起码1.8亿人口的国家,但大部分国家只有少于600万的人口:
宇宙已经 140 亿岁了,多少文明存在又消亡过,为何没有文明进化到可以太空旅行,通过虫洞找到我们?961 / 作者:zhaobai / 帖子ID:31004
有信仰的人是信仰信徒多于十亿人的宗教,但大部分宗教则只有少于一百万信徒:
宇宙已经 140 亿岁了,多少文明存在又消亡过,为何没有文明进化到可以太空旅行,通过虫洞找到我们?367 / 作者:zhaobai / 帖子ID:31004
大部分英超球迷热爱有数亿拥簇的球队,比如红摸、利村、破厂和车子,但大部分球队则只有数百万支持者(比如今年的副班长阿斯顿维拉,保级万金油桑德兰): 宇宙已经 140 亿岁了,多少文明存在又消亡过,为何没有文明进化到可以太空旅行,通过虫洞找到我们?335 / 作者:zhaobai / 帖子ID:31004
无论是宗教、球队支持者或者坚果成分,有多少个个体或者如何分组并不重要,
宇宙已经 140 亿岁了,多少文明存在又消亡过,为何没有文明进化到可以太空旅行,通过虫洞找到我们?565 / 作者:zhaobai / 帖子ID:31004
因为这是一个数学事实,即一个组中的中位数会大于或者等于中位组别:
宇宙已经 140 亿岁了,多少文明存在又消亡过,为何没有文明进化到可以太空旅行,通过虫洞找到我们?338 / 作者:zhaobai / 帖子ID:31004
宇宙已经 140 亿岁了,多少文明存在又消亡过,为何没有文明进化到可以太空旅行,通过虫洞找到我们?287 / 作者:zhaobai / 帖子ID:31004
简单地说,就是只要在组别样本不是完全一样的情况下,大部分的个体都会从属于大容量组别 宇宙已经 140 亿岁了,多少文明存在又消亡过,为何没有文明进化到可以太空旅行,通过虫洞找到我们?726 / 作者:zhaobai / 帖子ID:31004
重点是,一个个体大多是属于一个大规模组别,而不是最普遍的一个 宇宙已经 140 亿岁了,多少文明存在又消亡过,为何没有文明进化到可以太空旅行,通过虫洞找到我们?766 / 作者:zhaobai / 帖子ID:31004
如果你不知道自己属于哪一组,正如我不知道我的血型,最有可能的是最大的组别,所以可能是O型血或者A型血: 宇宙已经 140 亿岁了,多少文明存在又消亡过,为何没有文明进化到可以太空旅行,通过虫洞找到我们?834 / 作者:zhaobai / 帖子ID:31004
图片来自The Big Alien Theory
当然,论及到智慧生命,我们人类不知道什么组别是我们所在的。
所以统计学告诉我们作为一个个体应该期待自己属于大容量组别,而且我们的种族占相当大部分的人口: 宇宙已经 140 亿岁了,多少文明存在又消亡过,为何没有文明进化到可以太空旅行,通过虫洞找到我们?560 / 作者:zhaobai / 帖子ID:31004
而知道我们族群占相当大部分的人口十分有用 宇宙已经 140 亿岁了,多少文明存在又消亡过,为何没有文明进化到可以太空旅行,通过虫洞找到我们?545 / 作者:zhaobai / 帖子ID:31004
例如,个体需要空间生存,即有最大人口的国家倾向于有大片的国土:
宇宙已经 140 亿岁了,多少文明存在又消亡过,为何没有文明进化到可以太空旅行,通过虫洞找到我们?115 / 作者:zhaobai / 帖子ID:31004
所有有更多人口的地球倾向于据有多余大部分具有智慧生命的星球的空间,简言之,更大 宇宙已经 140 亿岁了,多少文明存在又消亡过,为何没有文明进化到可以太空旅行,通过虫洞找到我们?379 / 作者:zhaobai / 帖子ID:31004
同样,每个较小的生物需要较小的空间和能量,这样可以令它们具有较高的种群密度: 宇宙已经 140 亿岁了,多少文明存在又消亡过,为何没有文明进化到可以太空旅行,通过虫洞找到我们?66 / 作者:zhaobai / 帖子ID:31004
所以蚂蚁比大象多得多 宇宙已经 140 亿岁了,多少文明存在又消亡过,为何没有文明进化到可以太空旅行,通过虫洞找到我们?542 / 作者:zhaobai / 帖子ID:31004
相比于其他智慧生命体而言,高人口数量的人类很有可能是身形较小: 宇宙已经 140 亿岁了,多少文明存在又消亡过,为何没有文明进化到可以太空旅行,通过虫洞找到我们?780 / 作者:zhaobai / 帖子ID:31004
根据以上推论,我们会有这样的预期:例如,容易获取的能量令维持人口稠密更加容易,所以对于其他临近恒星的行星智慧生命,我们应该期望我们的太阳更热、更亮、位置更接近我们的星球,地球大气层更加透明
宇宙已经 140 亿岁了,多少文明存在又消亡过,为何没有文明进化到可以太空旅行,通过虫洞找到我们?956 / 作者:zhaobai / 帖子ID:31004
如果这样听起来不具有针对性,有几个简单的又合理的基于物理的假设,令我们的预测结果更加精准:
宇宙已经 140 亿岁了,多少文明存在又消亡过,为何没有文明进化到可以太空旅行,通过虫洞找到我们?485 / 作者:zhaobai / 帖子ID:31004
学者们预测大部分智慧生命,具有的数量低过二千万,大部分具有智慧生命体的星球应该只具有少于80%地球半径那么大,而个体则至少重如北极熊(>350公斤)
宇宙已经 140 亿岁了,多少文明存在又消亡过,为何没有文明进化到可以太空旅行,通过虫洞找到我们?572 / 作者:zhaobai / 帖子ID:31004
在The Big Alien Theory里面有预测,网址前面我都给出了:
宇宙已经 140 亿岁了,多少文明存在又消亡过,为何没有文明进化到可以太空旅行,通过虫洞找到我们?402 / 作者:zhaobai / 帖子ID:31004
所以比起在向与地球相近的临近行星去寻找地外生命,可能更有效地方式是去寻找那些较小、更暗、雾气蒙蒙的行星: 宇宙已经 140 亿岁了,多少文明存在又消亡过,为何没有文明进化到可以太空旅行,通过虫洞找到我们?181 / 作者:zhaobai / 帖子ID:31004
简而言之,我们应该期望自己是利物浦,去寻找宇宙中的阿斯顿维拉:
宇宙已经 140 亿岁了,多少文明存在又消亡过,为何没有文明进化到可以太空旅行,通过虫洞找到我们?154 / 作者:zhaobai / 帖子ID:31004

~~~~~~~~~~~~~~~~~~~~~~~~~~~~~~~~~~~~~~~~~~~~~~~~~~~~~~~~~~~~~~~~~~~~~~~~
关于虫洞
1921年赫尔曼·外尔(Hermann Weyl )首次提出虫洞相关的概念;
1957年约翰·惠勒(John Wheeler,他是费曼的导师)将这个概念敲定为虫洞;
1988年,索恩和其余共同作者才使这个问题正式登上了严肃科学的殿堂,成为广义相对论的一个研究课题:
宇宙已经 140 亿岁了,多少文明存在又消亡过,为何没有文明进化到可以太空旅行,通过虫洞找到我们?363 / 作者:zhaobai / 帖子ID:31004
截图来自http://authors.library.caltech.edu/9262/1/MORprl88.pdf
这篇名为“Wormholes, Time Machines, and the Weak Energy Condition”的文章发表在物理学领域声望最高之一的杂志——Physical Review Letters上。
也就是在这篇文章的前言中,他们用前人的智慧结晶开宗明义:史瓦西虫洞是不可穿越的虫洞,因为人和动物的世界线是类时世界线,而虫洞按照时间顺序而言,先是不张开,然后逐渐张开到T=0时张至最大,继而有渐渐收窄,最终又完全不张开(有奇性),而人或者动物都慢于虫洞的开合。
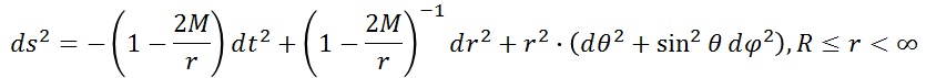
我们都知道静态球对称恒星外部时空的集合由史瓦西真空解:
宇宙已经 140 亿岁了,多少文明存在又消亡过,为何没有文明进化到可以太空旅行,通过虫洞找到我们?501 / 作者:zhaobai / 帖子ID:31004
其中M和R分别是恒星的质量和半径,星内线元可以表示为: 宇宙已经 140 亿岁了,多少文明存在又消亡过,为何没有文明进化到可以太空旅行,通过虫洞找到我们?520 / 作者:zhaobai / 帖子ID:31004
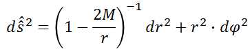
在等t面上导出三维线元:
宇宙已经 140 亿岁了,多少文明存在又消亡过,为何没有文明进化到可以太空旅行,通过虫洞找到我们?707 / 作者:zhaobai / 帖子ID:31004
由于球(恒星)的对称性,考虑到赤道面上的θ=2/π,所以对于面上的任意曲线任意元段有:
宇宙已经 140 亿岁了,多少文明存在又消亡过,为何没有文明进化到可以太空旅行,通过虫洞找到我们?804 / 作者:zhaobai / 帖子ID:31004
现在我们假设欧式空间中z-r面上有一个曲线表达式为z(r),根据3维欧式线元在柱坐标系{z, r, φ
}的表达式为:
宇宙已经 140 亿岁了,多少文明存在又消亡过,为何没有文明进化到可以太空旅行,通过虫洞找到我们?838 / 作者:zhaobai / 帖子ID:31004
令上面两个式子相等,于是有:
宇宙已经 140 亿岁了,多少文明存在又消亡过,为何没有文明进化到可以太空旅行,通过虫洞找到我们?616 / 作者:zhaobai / 帖子ID:31004
所以根据上述结果,你可以得到下图: 宇宙已经 140 亿岁了,多少文明存在又消亡过,为何没有文明进化到可以太空旅行,通过虫洞找到我们?81 / 作者:zhaobai / 帖子ID:31004
当然,因为知道在r<R是z(r)是一个单调递增函数,所以对这部分曲线做了一个简单的想象处理。
上图左边的曲线,绕z轴旋转一圈,就是: 宇宙已经 140 亿岁了,多少文明存在又消亡过,为何没有文明进化到可以太空旅行,通过虫洞找到我们?893 / 作者:zhaobai / 帖子ID:31004
而右边那个曲线绕z轴旋转,则有:
宇宙已经 140 亿岁了,多少文明存在又消亡过,为何没有文明进化到可以太空旅行,通过虫洞找到我们?356 / 作者:zhaobai / 帖子ID:31004
从上面这个图可以看出,时空是渐进平直的,越远越平,从时空的远端向恒星运动,你会发现空间的弯曲越来越大。
当然,由于前面提到的史瓦西虫洞的不可穿越性。为了让虫洞穿越成为可能,物理学家觉得就必须放弃真空条件,就是说,可穿越虫洞的时空一定要有物质场。要用物质的引力撑开虫洞,所以就有人提出撑开虫洞的物质必须是及其特别的——奇异物(exotic matter):
    假想的具有反常物理性质的粒子,例如具有负质量者,它们可能打破已知的物理定律。未确认的假想粒子,如奇异重子,其性质以既有的物理学看来可能并不奇异。极端的物质状态,如玻色–爱因斯坦凝聚,这类物质完全符合已知物理定律。物理学中所知甚少的物质,如暗物质。
引自Exotic matter
经典物理学里并没有奇异物的存在空间,所以很多人自然就想到量子力学,即空间各处的能量密度都在快速地时涨时落,称之为真空涨落。在一定情况之下,真空涨落可能被扭曲,从而相当于奇异物。
但是,就现在物理学方面的研究来看,并没有发现这样的奇异物的存在,也就是说穿越虫洞的可能性为零。
~~~~~~~~~~~~~~~~~~~~~~~~~~~~~~~~~~~~~~~~~~~~~~~~~~~~~~~~~~~~~~~~~~~~~~~~
一点进展:
去年,巴塞罗那的物理学家们在实验室搞出了一个“Magnetic Wormhole” 宇宙已经 140 亿岁了,多少文明存在又消亡过,为何没有文明进化到可以太空旅行,通过虫洞找到我们?590 / 作者:zhaobai / 帖子ID:31004

图片来自A Magnetic Wormhole : Scientific Reports
文章发表在现在人人喊打的scientific reports上面,但是人家不管这个。
介绍一下超材料:
它们拥有一些特别的性质,比如让光、电磁波改变它们的通常性质,而这样的效果是传统材料无法实现的。超材料的成分上没有什么特别之处,它们的奇特性质源于其精密的几何结构以及尺寸大小。其中的微结构,大小尺度小于它作用的波长,因此得以对波施加影响。
引自Metamaterial
他们通过使用超材料,让磁场通过在通过隧道时没有留下痕迹。其实,在实验中的所谓“虫洞”,并不是“不可见的”,而是一个球体状的铁磁性超表面、球状的超导层以及内部的铁磁卷成的圆筒,另外实验的结果是磁场源以一个磁单子(单一磁极)孤立的出现隧道的另一头,好像就是凭空消失然后出现的状况,所以叫做磁场虫洞: 宇宙已经 140 亿岁了,多少文明存在又消亡过,为何没有文明进化到可以太空旅行,通过虫洞找到我们?136 / 作者:zhaobai / 帖子ID:31004
图片来自A Magnetic Wormhole : Scientific Reports
这个研究非常的重要,首先是第一次实现了磁场的空间转移,尽管跟物质的转移相差较远,但是可以让我们对于电磁波在空间的穿越方式有所了解,并且对于医用仪器方面有着重要的应用价值,在scientific American中,作者说道:
There's no way to know if similar magnetic wormholes lurk in space, but the technology could have applications on Earth, Prat said. For instance, magnetic resonance imaging (MRI) machines use a giant magnet and require people to be in a tightly enclosed central tube for diagnostic imaging.
But if a device could funnel a magnetic field from one spot to the other, it would be possible to take pictures of the body with the strong magnet placed far away, freeing people from the claustrophobic environment of an MRI machine, Prat said.
引自Magnetic Wormhole Created in Lab
翻译一下就是,这项研究可以用在磁共振成像(MRI)方面,现在的磁共振成像仪需要人们进入一个相对环境封闭的中空舱里,对着一大块的磁铁。这个对很多人,鸭梨山大不说,还有人会产生一定的幽闭恐惧症。而使用磁场虫洞技术,就可以将强磁块放在远离中空舱,让人感觉舒服一些。
~~~~~~~~~~~~~~~~~~~~~~~~~~~~~~~~~~~~~~~~~~~~~~~~~~~~~~~~~~~~~~~~~~~~~~~~
参考资料:
https://www.quora.com/topic/Wormholes

科学家成功创造磁场“虫洞”

https://www.youtube.com/watch?v=PKMQzkIiB0Y

Fermi paradox

https://www.youtube.com/watch?v=sNhhvQGsMEc

https://www.youtube.com/watch?v=1fQkVqno-uI

https://en.wikipedia.org/wiki/Ganymede_(moon)

http://authors.library.caltech.edu/9262/1/MORprl88.pdf

Magnetic Wormhole Created in Lab

Exotic matter

The Big Alien Theory

https://www.youtube.com/watch?v=KRGca_Ya6OM

A Magnetic Wormhole : Scientific Reports

http://www.thebigalientheory.com/images/proof_of_group_median_theorem.pdf

http://arxiv.org/abs/1503.07804

Kardashev scale
~~~~~~~~~~~~~~~~~~~~~~~~~~~~~~~~~~~~~~~~~~~~~~~~~~~~~~~~~~~~~~~~~~~~~~~~

综上所述,对于题主的问题“宇宙已经140亿岁了,多少文明存在又消亡过,为何没有文明进化到可以星际旅行,通过虫洞找到我们?


我个人的看法是,我们在宇宙中是孤独的,形单影只的呆在蓝蓝的小球上,周围是无限扩张的空间。因为找不到奇异物质,虫洞也是不可能的。
在宇宙冗长的时间线上,我们只是微不足道的一点,1080P的超清图上连个像素都不到,既欣赏不到宇宙的初始,也很可能体验不到它最后的呼吸。
如果你感到有一点难受的话,那其实是正常的,我也这么感觉。不过,我们知道我们是由许许多多的小粒子组成的,而这些小东西将我们与宇宙中的万物联系在了一起,直到一切的起源,而这是一件好事:你不是孤单的,从来都不是。
热寂、大撕裂等等离你都很远,很远很远,最重要的只有当下,你喜欢的那个可爱的女孩,大胆跟她说吧!加油!

祝大家五一快乐!

回复 显示全部楼层 道具 举报

online_member 发表于 2018-6-12 22:38:42
因为人类变成值得发现的文明生物,最多10000年时间。作为最强势的捕食者也就是冰川期以来的几万年。这和上百亿年的宇宙历史比,实在是太短了,短到甚至可能低于最强探索者的平均到访间隔。 打个比方,星期二雨后迅速长出了一个小蘑菇,到周三蘑菇产生了自我意识,期待着小女孩上山来摘,可小女孩只有周日才上山。周四,一个兔子跑过来把蘑菇吃了,蘑菇临死抱怨自己运气不好,没有生在一片有小姑娘的草地上,这显然是错误的判断。要碰到小姑娘,我们这群蘑菇一定要注意今后几万年不要给自己种蘑菇云。

宇宙已经 140 亿岁了,多少文明存在又消亡过,为何没有文明进化到可以太空旅行,通过虫洞找到我们?629 / 作者:闲不住a / 帖子ID:31004
希望是一个善良的小姑娘先发现我们。当然最好我们才是那个善良的小姑娘。

还有,人类有可靠的历史记录与天文观测不过几百年的历史,你又怎么知道之前没有探测队以小孩子看蚂蚁搬家的心态掠过我们的世界呢?我们千万不要把地球这个穷乡僻壤太当回事,觉得别人就该天天盯着我们长大。更何况来的未必是探测器,完全可能是杀虫剂甚至抗生素……我们这个小菌斑还是祈祷自己能低调地蔓延几十万年吧(兴许就是星际保洁在悬臂上兜一圈的时间)。

宇宙已经 140 亿岁了,多少文明存在又消亡过,为何没有文明进化到可以太空旅行,通过虫洞找到我们?183 / 作者:闲不住a / 帖子ID:31004


刘慈欣:《三体》和中国科幻小说
三年前,中国出现了一本奇怪的书,首先它有一个奇怪的书名:《三体》(本书共三部,全名是《地球往事》,后两部的书名分别是《黑暗森林》和《死神永生》,但在国内人们还是习惯把三部曲统称为《三体》)。这是一部科幻小说,科幻小说在中国是一个处于十分边缘位置的文学体裁,被认为是低幼的少儿文学,不受关注。而《三体》的主题:外星人入侵,在中国同样是一个虽不陌生,但很少有人关心和提及的话题。这样,《三体》在中国所发生的事确实有些出人意料,它出版后引起了中国各阶层的广泛关注,引发了大量的讨论,对于科幻小说来说,这是以前从未有过的事情。

在以在校学生为主的科幻读者圈之外,首先关注《三体》的是IT企业界,企业家们多次在论坛和其它场合谈到《三体》第二部中创造的宇宙“黑暗森林”原理,以及第三部中外星文明对太阳系降低一个空间维度的攻击,以此来类比国内互联网业界的竞争状态。接着《三体》在文学界产生了影响,中国文学一贯以现实主义小说为主流,《三体》像一个突然闯入的怪物,让评论家们不知所措又不得不正视。《三体》的影响也在渗入在科技界,研究宇宙学和弦论的理论物理学家李淼专门为此写了一本书:《三体中的物理学》;在航天领域,《三体》也拥有大量读者,国家空间技术研究机构邀请作者进行咨询(尽管在《三体》第二部中,国家航天系统被描写为极端保守和僵化的形象,以至于多名航天高级官员和科学家被一名激进派军官在太空中狙杀。)这种事情在美国可能司空见惯,但在中国却绝无仅有,这也与官方舆论在上世纪八十年代对科幻的打压形成鲜明对比。在网中流传了多首为《三体》谱写的音乐和歌曲,人们殷切盼望《三体》电影的出现,以至于网友用已有的影视视频材料剪切成《三体》的虚假的电影预告片。在微博(相当于twitter)上,突然涌现出大量《三体》中的人物名字的ID,最后所有的人物的ID都在网上出现了,形成了一个网上的组织,以书中人物的视角给出对现实问题的看法,继续演绎着《三体》的故事,以至于有人推测,《三体》中外星入侵者在人类中的第五纵队:地球三体组织(ETO)已经在现实中出现了,网上甚至在销售ETO的徽章。在去年国内最大的主流媒体中央电视台举办的一次以科幻为主题的访谈节目中,演播室中的上百名观众突然高呼《三体》中ETO的口号:“消灭人类暴政,世界属于三体!”让两位著名的主持人错愕不已。

在这些事情发生时,科幻小说在中国已经走过了一个世纪的历史。

中国的科幻小说诞生于20世纪初的清朝末年,当时西方的科学技术在在中国引起了广泛的好奇与向往,被认为是国家摆脱贫弱落后的希望,涌现了大量对科学技术的普及和想象,其中也包括科幻小说。戊戌变法的领袖之一,著名思想家梁启超就写过一篇名为《新中国未来记》的科幻小说,其中想象了百年后才变为现实的上海世界博览会。

与其它文学体裁在中国的经历一样,科幻小说在中国也一度被工具化,即服务于某一很现实的目的。在其诞生初期,就成为中国人强国梦的宣传品,在清末民初的科幻小说中,中国无一例外地成为富强先进的国家,让全世界向往和朝拜。在新中国成立后的上世纪五十年代,科幻小说则成为向大众普及科学的工具,所面向的读者主要是少年儿童。这时的科幻小说中的幻想以现实技术为基础,并且从已有的技术基础上走得不远;作品大多以技术设想为核心,没有或少有人文主题,人物简单,文学技巧即使在当时也是简单而单纯的,小说中所描写的空间范围基本上没有越出火星轨道,时间也都在近未来。在那一时期的中国科幻小说中,科学和技术都是以完全正面的形象出现,科技所带来的未来都是光明的。

回顾这一段中国科幻小说的历史,有一个值得注意的有趣的现象:当时,中国国内的政治氛围十分浓重,对共产主义理想的教育充满了社会生活的方方面面。以未来社会为描写对象的科幻小说应该成为描绘共产主义理想社会的有力工具,但实际上这事却从来没有发生过,几乎没有出现过以共产主义为主题的科幻小说,甚至连简单的宣传性图解都没有。

到了上世纪八十年代,随着改革开放,西方科幻对中国科幻小说的影响逐渐显现,中国科幻作家和评论家开始了一场科幻小说是属于文学还是科学的争论,最终以文学派的胜利告终,这场争论对中国科幻文学发展方向产生重大影响,某种程度上可以看做西方科幻小说新浪潮运动在中国迟来的影响,科幻文学开始摆脱科学普及的工具性使命,向新的方向发展。

从上世纪九十年代中期至今。中国科幻小说进入新的活跃期,新时期的中国科幻从作家到创作理念都是全新的,与上个世纪几乎没有联系。在日益多元化的科幻创作中,中国科幻也正在失去自己的曾经有过的鲜明特色,越来越趋同于世界科幻,在美国科幻小说中出现过的所有题材和风格,都能在中国科幻中找到对应的作品。

值得注意的是,上个世纪中国科幻中的科学乐观主义几乎消失了,对科技发展的怀疑和忧虑在中国科幻小说中得到了大量的反映,未来景象变得阴暗和飘忽不定,即使光明的未来时有出现,也是经历了难以想象的曲折和灾难。

在《三体》出版之际,中国的科幻界正处于焦虑和压抑之中。科幻文学长期处于边缘化状态,科幻小说的市场很小,只有一个很封闭的读者圈子。中国的科幻迷一直是一个顾影自怜的群体,他们一直认为自己生活在孤岛上,感到自己的世界不为别人所理解。而在这时,科幻作家们正在为吸引科幻迷圈子外的读者做出巨大的努力。他们认为,要想吸引圈子外的读者并获得主流的承认,必须抛弃坎贝尔式的“科幻原教旨主义”,提高科幻小说的现实性和文学性。

《三体》的前两部也体现了这种努力。第一部描写了文革的故事,在第二部中,在抗击外星侵略的近未来,中国仍处于现在的社会体制之下。这些,都是试图增加读者的现实感,为科幻的想象找到一个现实的依托和平台。也正因为如此,作者和出版商都对即将出版的《三体》的第三部失去了信心。因为随着故事的发展,第三部不可能再与现实接轨,只能描写遥远的未来和更加遥远的宇宙,而这些,被认为是中国读者不感兴趣的。于是作者和出版商达成了一致意见,认为既然第三部不太可能取得市场上的成功,就开脆抛弃科幻圈外的读者,写成一部很纯的科幻小说,这也算是对身为铁杆科幻迷的作者的一个安慰。于是,第三部成为科学幻想的狂欢,描写了多维和二维世界、出现了人造的黑洞和小宇宙,故事在时间上一直到达宇宙末日。但出乎作者和出版商的预料,正是只写给科幻迷看的第三部造就了《三体》三部曲的巨大成功。

《三体》的经历让科幻作家和评论家们重新思考中国科幻和中国本身,他们发现自己以前忽略了中国读者的思维方式正在悄然发生的变化,随着现代化进程的加速,新一代的读者不再像他们的父辈那样把思想局限于狭窄的现实,而是对未来和星空产生了更多的兴趣,这一时期的中国,很像科幻小说黄金时代的美国,科学技术使未来充满神奇感,机遇和挑战都同样巨大。这是科幻小说生存和成长的肥沃土壤。

回到《三体》本身上来,科幻小说是一种展示不同的可能性的文学,宇宙也有多种可能性,对人类来说,有最好的宇宙,有中性的宇宙,而《三体》所展示的,是最糟的宇宙,在这样一种可能的宇宙中,生存的严酷和黑暗达到极限。

不久前,加拿大科幻作家罗伯特.索耶来中国,在谈及《三体》时,他给出了作者选择最糟的宇宙的原因:他认为这同作者的民族和国家在历史上的遭遇有关,而他作为一个加拿大人,对人类与外星文明的关系就持一种乐观的态度。其实不是这样,在上世纪的中国科幻小说中,宇宙是充满善意的,外星人大都以慈眉善目的形象出现,以天父般的仁慈和宽容,指引着人类这群迷途的羔羊。金涛的《月光岛》中,外星人抚慰着经历文革的中国人心灵的创伤;童恩正《遥远的爱》中人类与外星人的爱情凄美而壮丽;郑文光的《地球镜像》中,人类的道德的低下,甚至把技术水平高出几个数量级但菩萨心肠的外星文明吓跑了!

但反观地球文明在宇宙中的地位,人类做为一个整体,在宇宙中不像现代的加拿大,倒更像500年前欧洲移民到来之前的加拿大土著人。当时,由不同民族组成并代表至少10个语族的上百个部落,共同居住在从纽芬兰省到温哥华岛的加拿大。他们面对外来文明的遭遇,显然与《三体》中的描述更为接近。在不久前的出版的由加拿大土著人作家乔治斯伊拉兹马斯和乔桑德斯所著的书《加拿大的历史:一位土著人的观点》引起广泛关注,其中对此有着刻骨铭心的叙述。

在《三体》这样的科幻小说描写最糟的宇宙,是为了能有一个最好的地球。
宇宙已经 140 亿岁了,多少文明存在又消亡过,为何没有文明进化到可以太空旅行,通过虫洞找到我们?631 / 作者:闲不住a / 帖子ID:31004
哈勃太空望远镜拍摄星系团:跨越星际对人类不怀好意地“微笑”:
呵呵呵,蚂蚁们,我看到另一窝兵蚁从三处巢穴爬出来,已经冲你们扑过去了。
努力打一架,赢的有面包渣呵呵呵呵呵呵呵呵

回复 显示全部楼层 道具 举报

online_member 发表于 2018-6-12 22:38:42
我们简单回顾一下费米悖论:它认为宇宙中产生了那么多星系,有那么多宜居星球,应该产生很多文明,其中应该有一些能与我们相遇,但是实际上并没有。
用比较准确的数学公式,与我们通讯的数量如下:
宇宙已经 140 亿岁了,多少文明存在又消亡过,为何没有文明进化到可以太空旅行,通过虫洞找到我们?429 / 作者:lovedwy / 帖子ID:31004


从资料来看,我对于「可居星球」和「那些星球上出现生命」这两点我都是比较乐观的,因为即使在地球上,生物在极端环境中也能存在。
但是, 很多人高估了“生命进化出智慧生物的可能性 宇宙已经 140 亿岁了,多少文明存在又消亡过,为何没有文明进化到可以太空旅行,通过虫洞找到我们?431 / 作者:lovedwy / 帖子ID:31004 “。似乎一个星球上有生物,给足够的时间就能「进化」出高智慧生物。真的吗?很多人理解的「进化论」是一个有「方向性」的过程,仿佛从简单到复杂,从初等到高等就是进化的「目的」。「进化论」被很多人理解成了「生物进步论」。
真的是吗?
我们来看看乔治-威廉姆斯的名著《适应与自然选择》(这是一本进化论的经典论著,比我这答案好多了,请大家有时间看看。)在这本书中,他就质疑了(后出现的)“高等动物”是否真的比(原始的)“低级动物”先进。
首先就基因数量来说,人类的数量甚至比不上我们每天吃的稻米。水稻的基因总数是人类的1.7倍。非常简单的线虫,其基因数量也近2w,相比之下人类是2.7w。小鼠甚至比人类都多。事实上,任何脊椎类动物的基因数都不算少了。
宇宙已经 140 亿岁了,多少文明存在又消亡过,为何没有文明进化到可以太空旅行,通过虫洞找到我们?957 / 作者:lovedwy / 帖子ID:31004
人类和其他生物基因和碱基数量比较
就复杂度来说,人类的确有最复杂的大脑,但是人类的皮肤却比鱼类简单,鱼类的皮肤复杂度超过大部分陆地哺乳动物。就「适应性」来讲,最简单的细菌比起人类是不差的,每天生活在我们周围的小强适应性也是超强无比。 在细菌vs人类的斗争中,人类很难说获得了全面胜利。而且很多生物都出现了「退化」现象,不信,你摸摸自己的屁股。
说白了,「进化」是没有方向的,进化本质就是变化而已,是那些适应环境的变化。
达尔文自己都说过「我经过长期思考,无论如何都不能认为所有的生命体都有着自然的、必然的进化趋势」
变化其实是自然选择的副产品。如同古尔德认为的那样,「适应」只是适应包围着物种的具体环境,在适应的过程中,生物有可能走向复杂,也有可能走向简单。那么怎么解释有些生物比另一些复杂呢?从简单到复杂,在简单的这一端虽然数目众多,复杂的那一端也有一些生物。为解释这个,他打了一个比喻:
“简化”这一边有一堵墙,因为简化不能无限发展,到了细菌这种程度就到尽头了,不能再简单了。而“复杂”这一边没有“墙”,可以一直走下去。他(指古尔德)作了这样一个比喻:醉汉在路上蹒跚,其右边是一堵墙,左边是一条沟。醉汉可能向两边中的任何一边迈步,但既无前定的规律,也无方向上的嗜好。但是墙壁制约了他右行,他几度右行撞墙,又几度左行接近水沟,当某一次右行更远些时就掉进了水沟。醉汉们屡屡掉进水沟,但左行却不是必然的,不是蓄意的,而是偶然的,消极的
也就是生物走向高级复杂是消极而偶然的,不是某种必然。醉鬼本身不是想要掉到沟里,是环境逼迫他那么做的,如果环境够好,他可以不掉到沟里。这个比喻表达的是生物走向复杂是无可奈何的。对了,「复杂」不代表「智能」。这是人类的自负,把自己的特点看成了某种顶点和标杆。复杂可以是任何适应力的特异化,智能不是一个「必然的选择」。希望你能理解了「出现智慧生物」不是那么必然的事情了。如果历史从新来一次,人类有可能不会出现。
有人认为「智慧生物」是某种生态位,所以一定会有生物出现,占领这个生态位。但是,这个恐怕有点一厢情愿了。举个例子,澳大利亚这个孤立的大陆,他们出现了和其他大陆很多「平行的动物」,但是他们没有出现蝙蝠、大象和人类的「平行类」。这个大陆并没有出现有袋类的灵长类。从这点看,别说智能了,连「灵长类」都不是「必然」。即使澳大利亚上动物享有和我们共同的祖先。再拿我们人类祖先做例子,根据现代分子生物学,我们知道人类先祖是两次走出非洲。第一次是100万年前走出的那些祖先演化成各地的直立人(包括“北京人”)。第二次,20万年前走出非洲的那群智人才是我们的祖先。那些先走出去的亲戚也没有发展成高智能,被非洲来的亲戚给「灭了」。理解了进化的无方向性,你就借解释一堆傻问题,“猩猩以后能不能进化出智力”,“为什么低级的细菌还存在,不进化成智力细菌”。


即使有地外智慧生物,我也对它能否拥有高级文明也保持怀疑,理由我在另一回答中提到了。我那个回答的核心也是一种“地理决定论”,由于智慧生命所处的客观条件,它们也许在发展出高级文明前就被毁灭了:
为什么我们不认为太阳系的地球人类文明是宇宙,或者至少银河系的始祖文明呢?我们回到开头的德雷克公式,也许其中 宇宙已经 140 亿岁了,多少文明存在又消亡过,为何没有文明进化到可以太空旅行,通过虫洞找到我们?827 / 作者:lovedwy / 帖子ID:31004宇宙已经 140 亿岁了,多少文明存在又消亡过,为何没有文明进化到可以太空旅行,通过虫洞找到我们?381 / 作者:lovedwy / 帖子ID:31004 这两个因子太小了,几乎于0的那种小,所以即使拥有庞大的「基数」,我们依然暂时是「孤独」的。


PS: 很多评论者明显不懂进化论,请先去看看《适应与自然选择》,可以帮你更好的理解「进化论」。

回复 显示全部楼层 道具 举报

online_member 发表于 2018-6-12 22:38:42
现在,设想地球就是宇宙中一个孤独的高级文明,并假设地球人已经解决了能源等资源问题。

有一天,地球人在宇宙中发现了一个较之低级的文明。那么问题来了,地球人是跑过去高调的宣扬自己的存在,还是默默地研究这个神奇的新文明呢。

我想,地球高层一定会选择后者。因为前者带来不了任何利益,反而让一个可以作为研究目标的社会因为恐惧而变得混乱不堪,得不偿失。

但若哪一天,地球人在这个新文明宣布了自己的存在,那就意味着这个文明于地球已经失去了研究的价值,他的命运将令人堪忧。

说了这么多,我想表达的是,也许地球现在已经被更高级的文明发现了,但由于不存在利益冲突,他们只是将我们视作了一个研究对象。

———————————————————
评论区里有不少不错的看法,我也就补充一下我的看法:

首先整个设想是有一个前提的,那就是高级文明已经解决了资源问题。但其实我觉得这是毫无疑问的,因为当一个文明能够大规模地踏出母星、开启宇宙时代时,资源将不再是一个困扰。

另外有朋友认为会有外星文明不安分子像人类小孩对待蚂蚁一样在不经意间就将地球文明破坏。

其实我觉得发现一个新的文明对于高级文明来说也是一件大事情,他们也会将之当作一个秘密,只在一个高层而小众的范围内流传,因此这可以大大降低地球被非主流意识破坏的风险。但若主流意识是要破坏地球,那就无解了,命运被掌握在他人手中总还是不安全的。

————————————————
还有朋友说我们的所闻所见不过是外星文明“拍”给我们看的一部电影,这让我毛骨悚然。

诚然,我们没能发现任何一个外星文明,但一个外星文明想要瞒过70亿双眼睛不知不觉地操控地球,哪怕这个文明高出我们好几个等级,这难度也是不小的。

但如果真的有外星文明在操控我们,至少他们还没有公布其存在,那地球上的平民百姓们现在还是可以无忧度日的。

回复 显示全部楼层 道具 举报

00_avatar_middle
您需要登录后才可以回帖 登录 | 注册会员

手机版|UFO中文网

GMT+8, 2026-5-11 07:52

Powered by Discuz! X3.5

© 2001-2026 Discuz! Team.

快速回复 返回顶部 返回列表