完美侯少
|
发表于 2018-3-12 10:51:33
|
查看: 4713 |
回复: 20
本文作者:今日头条
世间万物都是由微小的粒子构成的,这些粒子经常会表现出令人匪夷所思的行为,量子力学正是用于描述这些粒子行为的物理学分支。而支配量子世界的方程的适用性,通常也被限制在亚原子领域。换句话说,微观尺度所应用到的数学一般跟宏观尺度没有关系,反之亦然。
但是,来自加州理工学院的助理教授 Konstantin Batygin 有了一个令人惊喜的发现:量子力学的基础方程——薛定谔方程——在描述特定天体结构的长期演化时出奇的有用。
○ 物理学家发现,在大质量天体周围形成的圆盘内的波的传播竟然可以被量子力学的基础方程——薛定谔方程——所描述。| 图片来源:James Tuttle Keane, California Institute of Technology
大质量天体的周围经常环绕着许多小的物体,例如,在超大质量黑洞周围有成群的恒星围绕着它们旋转,而这些恒星自己也被大量的岩石、冰块或其它的太空碎片所环绕。由于引力作用,这些大量的物质会形成扁平的圆盘。这些圆盘是由数不清的单独粒子构成的,其宽度可以从太阳系的大小绵延至许多光年。
○ 在宇宙中,天体周围形成圆盘是非常普遍的,比如土星和天王星的“行星环”,以及围绕着超大质量黑洞的“吸积盘”等等。| 图片来源:NAOJ
圆盘中的物质,在它们的一生中一般不会一直保持简单的圆形。经历百万年的时间,这些圆盘会慢慢地演化,并且会像池塘中的涟漪一样,呈现出大尺度畸变、弯曲、翘曲。天文学家一直都被这些扭曲的结构究竟是如何出现以及传播的所困扰着。即使是计算机模拟也无法给出一个确定的答案,因为整个过程异常复杂。
Batygin,也许大多数人并不熟悉这个名字,但近两年来肯定都听说过太阳系中或许存在第九大行星。而提出第九大行星的理论家正是 Batygin。当 Batygin 正在加州理工学院教行星物理这门课时,他采用了一种被称为微扰理论(perturbation theory)的近似方法来推算圆盘演化的简单数学表述。天文学家经常使用这种近似方法,该方法是基于18世纪数学家拉格朗日(Joseph-Louis Lagrange)和拉普拉斯(Pierre-Simon Laplace)所发展出来的方程。在这些方程的框架内,每个特定轨道上的单个粒子和石块都通过数学而混合在一起。如此一来,圆盘就可以被当做是一系列慢慢互相交换轨道角动量的同心线,从而进行模拟。
○ Batygin的模型。| 图片来源:[1]
作为一个类比,我们可以想象在太阳系内,每颗行星被破坏成碎片,并且这些碎片被散布在行星原本环绕太阳的轨道上,如此一来,太阳就被一系列大质量的环所包围,它们之间有引力相互作用。这些环的振动反映了数百万年间真实的行星轨道演化,使得该近似方法十分准确。
但是,当用这种近似方法来对圆盘的演化进行模拟时,竟取得了意想不到的结果。Batygin 说:“在考虑圆盘中所有的物质时,我们让圆盘中同心线的数量不断增加、线的厚度也随之越来越薄,从而最终同心线的数量趋近于无穷,因此从数学上看它们就好似是连续的。”没错,惊奇的事情发生了——Batygin发现,在计算中出现了薛定谔方程!
○ 描述单个粒子的薛定谔方程。薛定谔方程之于量子力学,就好比是牛顿第二定律之于经典力学。关于该方程可详细阅读《量子力学的核心——薛定谔方程》。
薛定谔方程是由奥地利物理学家薛定谔在1925年提出来的,它是量子力学的基础:描述了在原子和亚原子尺度上,系统的反直觉行为。其中一个反直觉的事实是,亚原子粒子可以同时表现出离散的粒子和波的行为,这个现象被称为波粒二象性。Batygin 的研究表明天体圆盘在宏观尺度下表现出的扭曲行为跟粒子行为相似,而描述波在圆盘的内缘与外缘间来回穿梭所用到的数学,与描述单个量子粒子在两个不同层的同心线上来回跳转所需的数学一样。换句话说,Batygin 的研究展现两种情况之间的有趣类比:波在圆盘的内外边缘的来回传播,相当于一个量子粒子在两面墙之间跳来跳去。
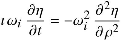
○ Batygin计算所得到的结果。这个方程看起来似乎和薛定谔方程有所不一样,但如果仔细对比就会发现它们的基础部分是一样的。| 图片来源:[1]
物理学家对薛定谔方程的掌握已经相当深入了,而发现这一经典的方程还能够用来描述天体圆盘的长期演化,对于想要模拟大尺度现象的科学家而言简直就是神来之笔。此外,令人惊喜的是,自然界中两个看起来并无关联的——描述大尺度和小尺度世界——物理学领域居然能够由相似的数学所支配。
Batygin说:“这个发现太令人惊喜,当我们对光年数量级的距离进行描述时,薛定谔方程不太可能该出现的。跟亚原子物理相关的方程一般与大质量的天体现象无关。因此,我很高兴找到了一个通常被用于微小系统的方程,也能在如此庞大的系统上得以运用。”
“根本上来说,薛定谔方程支配了类波扰动的演化。从某种意义上是说,代表扭曲的波以及天体圆盘的不平衡跟振动的弦并没有多大的区别,它们自身也跟盒子里的量子粒子的运动没有什么分别。回想起来,这种关联似乎很明显,但是将要揭开这种相互关系背后的数学支柱令人尤其兴奋。”
编译:Zwicky
参考来源:
[1] https://authors.library.caltech.edu/85094/1/sty162.pdf
[2] http://www.caltech.edu/news/massive-astrophysical-objects-governed-subatomic-equation-81517
UFO中文网温馨提示:本文由小编或网友采集编写,如果侵犯了您的版权,请联系管理员删除。UFO中文网是一个为广大UFO、外星人爱好者提供的交流平台,观点归本人所有,真实性还需要大家共同探索。。。 |
 侯尐出征——谁与争锋 
|
|