找回密码
注册会员
发新帖
71_avatar_middle

788

积分

5

好友

12

主题
online_member 发表于 2018-3-11 11:43:03 | 查看: 5798| 回复: 20
本文作者:今日头条

物理学家在量子力学中发现圆周率π的计算公式708 / 作者:爱心怪我 / 帖子ID:29409

圆周率π


圆周率π是圆的周长和其直径的比值,这是一个常数,在数学中是非常重要的。这个数是一个无理数,也就说是一个无尽不循环的小数,大约为3.14159……,后面有无数个小数位,永远也写不尽。经过数千年的努力,人类已经能够计算出相当精确的圆周率数值。它的计算公式有很多种,可以用无穷级数来表示,比如数学家莱布尼茨发现的计算圆周率公式:
物理学家在量子力学中发现圆周率π的计算公式989 / 作者:爱心怪我 / 帖子ID:29409

莱布尼茨发现的计算圆周率公式


再比如,数学家拉马努金发现的计算圆周率公式:
物理学家在量子力学中发现圆周率π的计算公式440 / 作者:爱心怪我 / 帖子ID:29409

拉马努金发现的计算圆周率公式


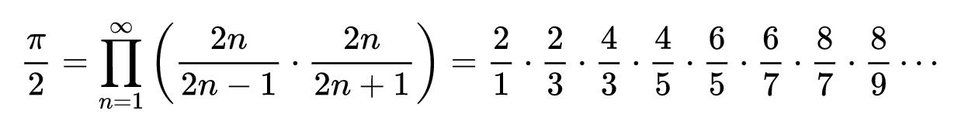
此外,还有数学家沃利斯在1655年发现的沃利斯乘积:
物理学家在量子力学中发现圆周率π的计算公式612 / 作者:爱心怪我 / 帖子ID:29409

沃利斯发现的计算圆周率公式


而在2015年,物理学家发现,上述于17世纪发现的经典圆周率公式也隐藏在量子物理世界中。这令物理学家兴奋不已,因为它揭示了量子物理学和数学之间存在不可思议的特殊联系。物理学家完全没有想到,早在360年前发现的纯数学公式竟能描述一个现代物理系统。
物理学家在量子力学中发现圆周率π的计算公式253 / 作者:爱心怪我 / 帖子ID:29409

氢原子能级


这个发现与氢原子的能级有关。由于精确算出氢原子的能级是不现实的,于是,物理学家Carl Hagen使用变分原理来估算氢原子的能级。在把这些数值与常规计算法进行比较时,他发现比率中出现了一个不寻常的趋势。很快他意识到,这实际上是计算圆周率的沃利斯乘积的一种表现,这是第一次从物理学中得到圆周率公式,十分意外的结果。
物理学家在量子力学中发现圆周率π的计算公式951 / 作者:爱心怪我 / 帖子ID:29409

氢原子


对此,数学家Kevin Knudson表示,在氢原子的量子力学方程中竟然隐藏着圆周率的公式,这十分不可思议。大自然在过去的80年里一直保守着这个秘密,现在终于被揭开了。这不禁令人好奇,在量子力学和纯数学之间是否还隐藏着其他的秘密联系呢?


UFO中文网温馨提示:本文由小编或网友采集编写,如果侵犯了您的版权,请联系管理员删除。UFO中文网是一个为广大UFO、外星人爱好者提供的交流平台,观点归本人所有,真实性还需要大家共同探索。。。
online_member 发表于 2018-3-11 11:43:10
有人早就知道整个已知世界都是由一个个数学模型构成的。通过一个个实例的证实,人类慢慢会还原出一个经典公式:一生二,二生三,三生万物![嘘]天机不可泄露[呲牙][呲牙][呲牙]

回复 显示全部楼层 道具 举报

online_member 发表于 2018-3-11 11:43:48
太完美了,数学会是上帝本身吗,用无形的数学搭建了有形的世界。 圆是π的外在表现,π代表绝对完美。不管何种原因,人类永远做不出、也找不到绝对的圆,只能是在人类数字的小数点后无限延伸

回复 显示全部楼层 道具 举报

65_avatar_middle
online_member 发表于 2018-3-11 11:44:46
在祖冲之面前,他们都是渣渣

回复 显示全部楼层 道具 举报

online_member 发表于 2018-3-11 11:45:25
拉努马金就是个神人,没人知道他那些公式是咋来的

回复 显示全部楼层 道具 举报

00_avatar_middle
您需要登录后才可以回帖 登录 | 注册会员

手机版|UFO中文网

GMT+8, 2026-4-4 03:18

Powered by Discuz! X3.5

© 2001-2026 Discuz! Team.

快速回复 返回顶部 返回列表