找回密码
注册会员
发新帖
36_avatar_middle

615

积分

5

好友

10

主题
online_member 发表于 2017-6-10 09:50:01 | 查看: 1102| 回复: 1
对《探秘“百慕大”飞机船只失踪之谜》一文的新解释

司 今([email protected]

对《探秘“百慕大”飞机船只失踪之谜》一文的新解释743 / 作者:知世 / 帖子ID:24515

水漩涡

引文:探秘“百慕大”飞机船只失踪之谜(图)
2012-06-22 16:02:01来源:腾讯科技
对《探秘“百慕大”飞机船只失踪之谜》一文的新解释423 / 作者:知世 / 帖子ID:24515

百慕大三角洲地理位置图

腾讯科技讯(Everett/编译)据国外媒体报道,近日来自华盛顿大学的海洋学家在神秘的“百慕大三角”部署水下探测器,这片海域曾经发生过令人震惊的“失踪之谜”,途径该海域的船只和飞机瞬间消失得无影无踪。科学家计划通过一个开创性的实验研究“百慕大三角”的螺旋涡流,这项实验中涉及的装置可反复潜入海水中并上浮至洋面。根据威斯康星大学应用物理实验室的科学家汤姆·桑福德(Tom Sanford)介绍:“进行这项实验是一件非常有价值的事情,它将是未来海洋涡流实验的典范。”
对《探秘“百慕大”飞机船只失踪之谜》一文的新解释998 / 作者:知世 / 帖子ID:24515

百慕大的漩涡(科幻图)

“百慕大三角”曾经发生多起船只和飞机失踪事件.
对《探秘“百慕大”飞机船只失踪之谜》一文的新解释764 / 作者:知世 / 帖子ID:24515

百慕大飞机失事

对《探秘“百慕大”飞机船只失踪之谜》一文的新解释472 / 作者:知世 / 帖子ID:24515

科学家部署自动深潜探测器

通常情况下,海洋学家可能在一处站位部署仪器,然后乘船到另一个站位后再次启动探测装置。因此观测距离可能相差数公里之遥,而且观测时间也有差别,在这段时间内,海洋的潮汐运动将改变一些水文情况以及风向也会发生变化。这就如同只有在空间上变化,而不存在时间上的变化。科学家小组发明了速度传感器并整合到商用版的自动程序中,当海流漩涡传感器进行垂直运动时,就会创建相对应的水文特性参数文件。
此外,研究人员还改变了涡流探测器的程序以同步深潜器的运动,可下潜至特定的深度和上升到海洋表面,这些动作都可以在预定的时间内完成。当这些深潜传感器完成下潜探测后,上浮至洋面时,就会发送GPS位置并通过卫星传输一部分数据。在自动深浅探测器上,研究人员设计了新的速度传感器,可通过探测海洋中微电流的变化以监视海水的流动。当洋流穿过地球磁场时,微电流传感器就会探测到电势的改变,如果电势差的值越高,那么就可以推断出海流的速度就越大。
这种新型传感器的原型已经在去年被科学家们部署在马尾藻海,该海域位于北大西洋中部,并呈现出诡异的深蓝色。而著名的“百慕大三角”就位于该海域偏西位置。深浅探测器阵列可覆盖大约直径为十公里的海域。当科学家汤姆·桑福德将21个深浅探测器部署后,来自威斯康辛大学以及其他研究结构的研究人员也通过其他技术手段来收集数据,这样在同一时间内就会大量的关于本海域海流漩涡的数据报告。其他的技术手段包括四架滑翔机、42个漂浮探测移动站,三艘搭载专用拖曳设备的船只和飞机。
对“百慕大三角”海域进行海洋参数收集,如温度、盐度以及矢量流速,科学家可用这些数据建立起“百慕大三角”的海洋流场结构和混合涡流速度。海洋学家对“百慕大三角”进行远征探索主要目的为研究该海域存在的神秘海洋内波,研究人员认为该现象可将海洋上层和深层进行某种交换,大尺度的海水运动可对海面航行的船只构成影响。此外,研究海洋漩涡也是本次探索“百慕大三角”的任务之一。科学家认为海洋漩涡是一种神秘的海洋现象,它的形成涉及到各种因素的作用,并起到表层和底层海水发生混合的动力作用。
涡流的创建方法有多种,其中包括海水被推至数块陆地之间,并重新释放进入大海。而深层海水的特征似乎很难衡量,因为当它们通过深潜探测器时,传感器显示出是波的运动痕迹。因此,只用部署多个深潜探测器在同一海域附近,研究人员就可以识别出神秘的海洋漩涡,而不是波的运动痕迹。在本次对“百慕大三角”海域的探索中,科学家们对百慕大气候变化与深海海流之间的某种神秘作用十分感兴趣,目前已经找到大气、潮汐、太阳光照能量以及海洋内波可影响海洋表层数米的海水温度。
此外,通过卫星图像也可以观察到“百慕大三角”出现的大型海洋漩涡与海水动力学特征,并产生跟广泛的海流混合现象。根据科学家汤姆·桑福德介绍:“我们知道在海洋表层下存在一些具有一定规模的海流活动,是真实存在的,但是我们不清楚它们在海洋结构方面具有哪些功能。”比如海洋深波和漩涡,表层海水与深层海水的混合,并将更多的二氧化碳带入深层海水中。现在,科学家开始对本次“百慕大三角”海洋调查数据进行分析,希望能揭开神秘的“百慕大三角”之谜。
原文链接:http://tech.qq.com/a/20120622/000049.htm
司今分析:
1、原文择要:
1.1、实验研究“百慕大三角”的螺旋涡流。
1.2、科学家认为海洋漩涡是一种神秘的海洋现象。
1.3、多个深潜探测器在同一海域附近,研究人员就可以识别出神秘的海洋漩涡,而不是波的运动痕迹。
1.4、通过卫星图像也可以观察到“百慕大三角”出现的大型海洋漩涡。
2、司今分析:
为什么“百慕大”“上”可以打飞机,“下”可以吞轮船?
我的理论解释依据是:物质自旋可以产生自旋磁场,强大的自旋磁场会对四周、高空物体产生磁极化和磁引力。
“百慕大三角区”是一个易产生强大的螺旋涡流之地。大质量的涡流体快速旋转,可以产生强大的转动磁荷及磁场;飞机是金属体,当它通过涡流体上空时,强大的转动磁场不但会损坏飞机仪器、仪表设施,影响发动机正常工作而使飞机表现失控,而且还会吸飞机体向涡旋中心快速下坠。正是这个强大的旋转磁场对飞机的磁力作用才使“百慕大”显示出狰狞的秉性。同时,轮船不仅受到强大的磁力作用,还会受到强大的水流涡旋力的吞噬,从而使轮船快速沉没在涡旋中心内而消失。
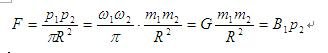
从更广大的空间来看,漩涡本质上是一个自旋体,就像所谓的“黑洞”,具有强大的磁场,这说明自旋会产生自旋磁场,从而证明了我的《物质自旋与力的形成》一文的结论:自旋产生自旋磁场,万有引力与自旋磁场力是同一种力,它们可以用统一的公式表示:
对《探秘“百慕大”飞机船只失踪之谜》一文的新解释771 / 作者:知世 / 帖子ID:24515


对《探秘“百慕大”飞机船只失踪之谜》一文的新解释820 / 作者:知世 / 帖子ID:24515

具体详情请参阅《物质自旋与力的形成》一文:http://blog.sina.com.cn/s/blog_9f045b31010182jo.html
对《探秘“百慕大”飞机船只失踪之谜》一文的新解释117 / 作者:知世 / 帖子ID:24515

旋转世界奥妙无穷
online_member 发表于 2017-6-10 09:50:01
风水好

回复 显示全部楼层 道具 举报

00_avatar_middle
您需要登录后才可以回帖 登录 | 注册会员

手机版|UFO中文网

GMT+8, 2026-4-29 02:50

Powered by Discuz! X3.5

© 2001-2026 Discuz! Team.

快速回复 返回顶部 返回列表