去年相关恒星KIC 8462852的猜测可谓是铺天盖地,让很多科幻迷,外星人爱好者普大喜奔。今天我也想在这里说下自己的一些看法。
关于恒星KIC 8462852的一些基本情况我不想累述,我只想分享一些比较有意思的资料。
关于KIC 8462852的起因:KIC 8462852是业余爱好者用眼睛在开普勒望远镜的光变曲线中挑出的一颗异常恒星,经耶鲁大学的Tabehta Boyajian分析后发表,标题是Where's The Flux,缩写WTF,实际上就是 What The F**k 的缩写,反映了作者几乎崩溃的心情。另一位美国天文学家Jason Wright分析了这颗星,提出了外星文明修建的巨星建筑的可能性,瞬间点燃了公众的热情。这颗星在开普勒望远镜中的编号是 KIC 8462852,一些人称它为 WTF星或者 Tabby星。这里我们用发现者的姓氏称其为 Boyajian星(Boyajian's Star)。
Boyajian星公布后引起了不少学者的兴趣。他们利用各自的资源从不同的角度对这颗星进行了后续观测,Boyajian星的一些特征逐渐浮出水面。
后续观测
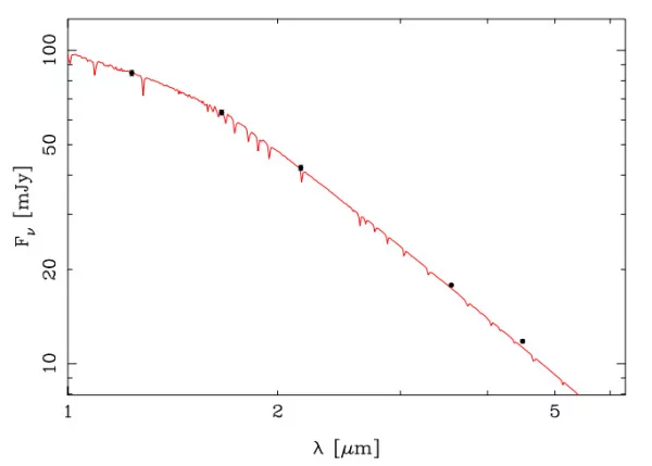
Boyajian原始文章中很多解释都基于“Boyajian星没有观测到红外超”这个前提。所以能否找到红外超就成了初步解释Boyajian星的关键。实际上在Boyajian文章发表之前的2015年1月,Spitzer空间红外望远镜就已经对这颗星所在的天区进行了观测,在 3.6 μm 波段没有找到红外超,但在 4.5 μm 波段找到了很弱的红外超(见下图),显著性并没有超过 3σ。

黑点表示2MASS(左边三个)和Spitzer望远镜(右边两个)探测到的辐射。红色曲线表示Boyajian星的理论红外光谱
这表明Boyajian星周围不存在会产生大量红外超的尘埃,但是也不排除一大群解体的彗星这种解释。
此外,2015年10月31日,NASA的IRTF红外望远镜拍摄了Boyajian星的红外光谱,发现它从光谱上看就是一颗很正常的恒星,没有环绕在恒星周围尘埃或者气体,也没有吸积或外流的痕迹。英国天文学家Thompson则没有探测到毫米波和亚毫米波的辐射,表明在恒星周围200天文单位的范围内,尘埃云即便存在,总质量也不会超过地球的7.7倍,这实际上排除掉了行星解体这种假说。
SETI监听
SETI即搜寻地外智慧生命的缩写。Boyajian星发现后立刻就有学者在不同波段进行了检查,以寻找可疑的SETI信号。其中SETI研究所第一时间用艾伦射电望远镜阵列在 1 ~ 10 GHz 内频段进行了监听,结果没有找到流量为 180 ~ 300 Jy 的窄带信号,也没有找到流量大于 10 Jy 的宽带信号。结合这颗星的距离,信号阈值对应的各向同性辐射功率是 101⁵~101⁶W。与此相比,地球上最大的人造天线——阿雷西博望远镜的各向同性辐射功率只有 1013W。也就是说,如果在Boyajian星附近用阿雷西博天线对准地球方向发射信号,我们的灵敏度仍然不够探测到它的无线电。
难以解释的持续变暗
哈佛大学天文台从1885年开始累积了超过50万张玻璃底片。2001年启动了DASCH项目,对这些跨度超过一个世纪的底片进行数字化扫描。美国天文学家Schaefer研究了Boyajian星在哈佛照相底片中的存档,发现这颗星在过去一个世纪以来正在持续变暗,速率是每世纪 0.165 ± 0.013 等,或相当于每年 0.152 ± 0.012%。但是德国天文学家Hippke独立分析数据后发现,这种变暗是底片在校正过程中的误差引起的,并不是恒星真实的变暗,Boyajian星的亮度在过去一百年里基本不变。他们还检查了德国松纳贝格(Sonneberg)天文台的照相底片,这个天文台从1930年代开始就有计划的扫描天空,其中覆盖Boyajian星附近天区的底片最早可以追溯到 1934年,最晚到1995年,总共有 1200多张。他们发现这60多年里Boyajian星的亮度基本是恒定的,误差正负不超过3%。

德国松纳贝格天文台一张拍摄于1956年的底片,蓝色十字处指向Boyajian星
另一组美国天文学家Montet和Simon重新处理了开普勒望远镜的测光数据,结果令剧情大反转——至少在开普勒望远镜观测的这3年间,Boyajian星确实存在持续的变暗(如下图所示)。

开普勒望远镜观测到的Boyajian星的亮度变化曲线。不同颜色表示4块不同的CCD观测的数据
在观测期间,最初 1000 天的变暗速率是每年 0.341%,这是哈佛照相底片数据在过去一百年得到的平均变暗速率的两倍。在随后的 200 天里,变暗的速度突然进一步加快,总计下降了超过 2%;但在最后的 200 天里亮度几乎不变。这种三段式的变暗过程显然无法用环绕恒星的物质云来解释。
可能的解释
2016年9月,最初提出“智慧生命建筑”假说的 Jason Wright发表了一篇论文,总结了多种可能的解释。这些不同的假说大体可以分为六大类:仪器效应;太阳系中的物质;星际云或星际物质;Boyajian星周围的尘埃;Boyajian星周围的其他物质(包括人造物);Boyajian星本身的变化。下面一一分析可能性。
1. 仪器误差。Boyajian在发表论文之前已经详细检查了开普勒望远镜的探测器和数据分析软件;CCD上接收Boyajian星的光子的几个像素都同时出现了变暗,而不仅仅只是某一个像素;望远镜上的4块CCD在不同的时间段都探测到了变暗,说明不是CCD的瑕疵造成的。还有一些团队也独立检验了原始数据,结论一致,所以这种情况非常不可能。
2. 太阳系中某个天体的遮挡。计算表明,如果遮挡物位于太阳系内部,直径至少要有1天文单位、距离太阳1万天文单位(即柯伊伯带到奥尔特云的尺度)、远离黄道平面(Boyajian星的黄纬为62度)。考虑到人类对于外太阳系的了解还很少,这种可能性有多大还不清楚。
3. 星际物质的遮挡。Boyajian星距离银道面只有6度,在这个方向上可能会出现很多星际物质。但是别的星没有类似的现象,表明遮挡Boyajian星的一定不是普通的星际物质,一种可能是星际介质中存在的一种称为“小型电离和中性云结构”(SINS)的东西,但是其直径太大,密度也太低。另一种可能是1990年代为了解释脉冲星和类星体光谱提出的一种假想的星际物质:微尺度原子结构(TSAS),但是其几十个天文单位的尺度也太大,密度同样也太低,很难解释Boyajian星。如果下一次变暗伴随着恒星红化程度的增加或者钠吸收线的增强,可能会支持这种理论。美国天文学家Valeri Makarov和Alexey Goldin提出了另一种解释:Boyajian星位于一个发射星云DWB 123的西南角上,这个星云可能和另一个星云Simeiz 57(俗称螺旋桨星云,见下图)外围的丝状结构有物理上的联系。星云中的一团物质可能恰好在我们和Boyajian星之间穿过,这团物质的大小和空间分布不一,但是都和Boyajian星没有联系。而Boyajian最初在光谱中探测到的钠元素的吸收线可能也是这团物质产生的。进一步计算表明,只要太阳系柯伊伯带这样的密度就可以产生观测到的遮掩,而不需要巨大的彗星群。
4. 一团致密的分子云,如博克球状体。这些云团的直径大约是2万天文单位,通常只有在遍布恒星的背景上才能显现出来。Boyajian星周围的星场密度太低,没法辨认出是否存在这类天体。另外博克球状体的密度变化比较平滑,也能够解释 Boyajian星缓慢的亮度变化。如果这种情况属实,那么Boyajian星可能在最近一些年缓慢的运动到了一团这样的分子云的后面,其光变曲线可能是由分子云的密度不均匀引起的。
5. 视线方向上经过的天体的吸积盘。这个盘的直径应该在 100AU量级,中心天体光度非常弱,却具有恒星级的质量才能维持住这么大一个盘。符合这一标准的有可能是恒星演化末期的产物:如年老的白矮星、中子星甚至黑洞。1992年发现的第一颗太阳系外行星就是围绕一颗中子星的,暗示中子星周围可以形成类似恒星诞生初期的尘埃盘。如果将来Boyajian星重新发生亮度下降,并且顺序和之前相反,那么这种可能性就会大大增加。
6. Boyajian星周围环绕着一个恒星级天体(如黑洞)及其吸积盘。但是它恰好被我们看到的可能性非常小,只有百万分之一。考虑到开普勒望远镜总共才观测20万颗星,所以可能性很小。


类似地,另一颗恒星TYC 2505-672-1也会每69年就被一团物质几乎完全遮挡,每次持续3.45年。但是Boyajian星和它们并不相同,主要原因是柱一和TYC 2505-672-1都是巨星,半径超过太阳的50倍,因此需要花费数年的时间才能完全挡住主星的圆面。而Boyajian星是一颗正常的主序星,半径只有太阳的1.6倍,第800天和第1500天的亮度下降对于这么小的一颗星实在是太慢了,要想这么慢,遮掩物到Boyajian星的距离必定在几十光年开外,远远超出了Boyajian星的引力范围。
7. 环绕在Boyajian星周围的彗星或者其他物质。Boyajian最初的论文里已经讨论过了彗星的情况。罗切斯特大学的Bodman和Quillen认为第二次比较大的光度下降(即第1500天左右的下降)可以用同一群彗星来解释,这群大彗星大部分位于同一条轨道上,可能是由同一次事件产生的,如行星解体或者伴星的引力扰动。要挡住主星20%的光,需要30颗半径100千米或者300颗半径10千米的彗星。而要想解释第一次(即第800天左右)的下降仍然比较困难,因为第一次的下降更加平滑、缓慢,而所需要的彗星数量分别上升到70颗(半径100千米)或700颗(半径10千米)。彗星的椭圆轨道偏心率较高,只有通过近星点时才会产生显著的红外超,并且总质量并没有超过Thompson给出的上限。
8. 环绕在Boyajian星周围的低温环状物质。这个环的边缘恰好正对着我们。但是Thompson 的毫米波/亚毫米波观测结果不倾向于存在大量这种物质的可能性,并且这种假说也无法解释在开普勒望远镜整个观测期间出现的持续变暗。
9. 巨型的人造建筑,例如收集恒星能量的电池板组成的戴森球。这也是大多数人所特别关心的。检验这种可能性有一个简便的方法,就是利用不同材料的吸收特性,比较不同方法得到的恒星距离。电池板是几何吸收体,无差别的遮挡不同波段的星光,而星际物质的吸收对波长较长的红光要弱一些,即红化效应。通过比较不同波段的辐射流量得到恒星距离的方法通常会考虑到红化带来的改正。而三角视差得到的距离是纯粹的几何效应,与亮度无关。所以如果欧空局的天体测量卫星——GAIA通过三角视差得到的距离比用流量--红化法得到的距离显著偏大,就支持这种可能性。2016年9月,GAIA卫星发布了第一批数据,Boyajian星的距离是391.4 (+122.1)(−75.2) pc,和光谱方法给出的距离 454±35 pc相比偏小但是基本符合,考虑到GAIA卫星还在搜集数据,目前还远未达到设计精度,期待未来1~2年内新数据公开后距离的精度可以大幅度提高,最终有助于我们甄别这种可能性。
另一种方法是衡量α值(吸收到的能量占恒星总辐射能量的比率)与γ值(以废热形式再辐射出去的能量占恒星总辐射能量的比率)的相对大小。以人类为例,太阳能电池板给汽车充电驱动汽车运动,最终转换为零件的摩擦和轮胎与地面的摩擦,令其温度升高,以红外线的形式重新释放,这就是废热。大体上人类的活动,只要是没有把太阳能以某种形式大规模储存起来,或者以别的形式向外释放(例如用大功率定向激光驱动宇宙飞船或与地外文明联络),都是α值与γ值基本相等,也就是说收集到的太阳能几乎全部以废热的形式释放。而根据Thompson的结果,Boyajian星的γ值最多不超过0.2%,而遮挡Boyajian星的物体吸收的能量约为α=0.15%,与γ值相符,从这个角度看没有明显矛盾。
戴森球假说可以解释长期的加速变暗。戴森球的建造需要消耗大量的能量,工程刚开始时进度会很慢,但是随着太阳能收集器的面积越来越大,收集到的能量可以进一步用于建造更多的收集器,所以越到后期能量就越充足,因此整个工程是一个不断加速的过程,恒星的亮度会下降得越来越快,符合Montet和Simon观测到的结果。
10. 恒星本身的活动,例如黑子和磁场活动。Boyajian星的自转周期是0.88天,黑子或随恒星一起自转,但是光变曲线的下降中没有符合0.88天的周期,所以不符。作为F型主序星,Boyajian星的外层没有对流区,自转较快,应该不存在明显的活动周期。所以这种假设非常不可能。
11. 恒星极区的黑子,顾名思义就是出现在两极地区的黑子。这一点解释了为什么下降曲线不存在0.88天的周期,而长期的变暗也可以用黑子的面积变大来解释。但是这不符合早型F型主序星的特征,因此不太可能。

12. 恒星本身的脉动。这种情况下恒星的光变往往具有周期性,并且时间尺度也和Boyajian星不符。没有任何一种已知的脉动机制能够解释。因此也不太可能。
13. 恒星发生合并后回归正常态的过程。例如恒星与另一个天体(褐矮星或者行星)发生了合并,引力势能转换成辐射,亮度增加,我们观测到的是它发生合并后亮度降低,缓慢回到正常态的过程。但是无法解释开普勒望远镜观测到的短时间亮度下降,并且对Boyajian星引力能转换为辐射的时标(开尔文-亥姆霍兹时标)是100万年,而不是几年到一百年。或许这样的合并事件会导致其他一些人类尚不了解的过程,因此这种机制的可能性尚不明了。
在其他恒星中寻找类似的现象
以Boyajian星为代表的这种现象可能不是个例,寻找更多的样本有助于得到这种事件发生的概率。Boyajian 用软件检查了十几万颗星的开普勒数据,找到了1000个亮度下降幅度超过10%的天体,接着用肉眼一一检查后发现,这些天体都可以用食双星、黑子、仪器误差等已知的现象来解释,Boyajian星的确是一个特例。Daryll LaCourse检查了开普勒望远镜的延伸任务——K2所获得的16.5 万个天体的光变,也没有发现类似的星。这些都表明Boyajian星发生的是一种非常罕见的现象。
2016年8月,德国天文学家Scaringi等人发现了一颗类似的星EPIC 204278916。在开普勒望远镜对它观测的78天里,亮度在25天内发生了多次下降,其中最大的一次比Boyajian星还要大,下降了65%。

EPIC 204278916的光变曲线
与Boyajian星不同的是,EPIC 204278916是一颗年轻的、刚形成不久的低质量恒星,位于离太阳最近的OB星协——天蝎-半人马星协中。这个区域里集中了大量的气体和尘埃,恒星就是从这些尘埃云中诞生的。阿塔卡马毫米波阵列(ALMA)的观测显示EPIC 204278916周围确实存在尘埃盘,因此亮度下降自然就可以用尘埃盘的遮挡解释了。但是Boyajian星作为一颗已经成年的星,这种方法解释不通。
Boyajian星的一些关键特征仍然存疑,例如,到底是否存在100年尺度上的持续变暗?如果不存在,又如何解释开普勒望远镜观测到的变暗?如果Montet和Simon的结果是可靠的,那么变暗过程究竟是持续不断的,还是某种反复变暗-变亮-变暗的振荡过程的一小部分?如果是后者,那么这种振荡和短时间内的亮度下降或许不是巧合,也许有某种尚不了解的物理过程正在作用于Boyajian星;如果是前者,我们很可能正在见证一颗恒星由于未知的原因加速消亡的过程。
Beatriz Villarroel等人在过去拍摄的照片中寻找“丢掉的星星”。他们圈定了1000万个目标,比较它们在第一次帕洛玛巡天(POSS-I,摄于1950-1966年)、第二次帕洛玛巡天(POSS-II,摄于1977-1999年)、斯隆数字巡天(SDSS,摄于2000年后)获得的图像。由于三次巡天有数十年的间隔,如果前一个巡天中的天体在后面的图像中消失了,就是非常可疑的目标。经过好几轮的筛查,他们最终找到了这样一颗星,名字是USNO-B1.0 1084-0241525,亮度只有19等。

USNO-B1.0 1084-0241525 在三次巡天中的图像,最后一张做了反色处理。从上到下分别为POSS-I、POSS-II、SDSS的图像,拍摄时间分别是1950年、1992年和2000年以后。右侧图是左侧方块区域的放大。可以看到,三角形上面一条边中间的恒星在1950年的图里清晰可见,在1992年的图里也勉强可见,但在第三张图里彻底消失了。
如果它的亮度下降是周期性出现的,那么遮挡物应该是同一团物体,并且我们有望在明年(2017年)5月份再次看到下降,届时多波段联合观测将会帮助我们解开Boyajian星的谜团。
如果 KIC 8462852 的亮度下降是尘埃遮挡引起的,由于尘埃粒子的温度比较低,恒星必定在红外波段比正常情况下稍微亮一些,这种现象称为“红外超”,通常用来检验恒星周围是否存在尘埃盘。可是这颗星并不存在红外超,这就显得有点蹊跷了。经过仔细的分析,Boyajian 认为,目前还没有哪种理论能够很好的解释这颗星光变曲线。看起来稍微符合一点的是彗星。原因有三条:
- 第一次变暗,光变曲线前后是不对称的,这和彗尾的特点相符,但正常的彗尾造成的曲线是先迅速下降,再缓慢上升,正好与观测相反。解释只有一个,那就是彗星的尾巴是朝前的。其实太阳系里也发现过彗星的尾巴是向前的,所以这一点勉强说得过去。
- 在第二次变暗里,亮度有一次比较大的下降和许多比较小的下降,看上去像是一颗高偏心率轨道上的彗星,在经过主星附近时,彗核在潮汐作用下发生了分裂。
- 这颗星不远的地方发现了另一颗比较暗的星,目前还不清楚二者是否是一对双星,还是只是视线方向比较接近而已。如果是双星,那么伴星的距离大约是 880 天文单位,相当于冥王星到太阳的 20 多倍,这样的距离足以扰动恒星周围的“奥尔特云”,形成大量高轨道偏心率的彗星。
但是不能不吐槽的一点是,最大掩食深度高达 22%,也就是说彗星的直径差不多有恒星的一半大,人类还从没有见到过这么巨无霸的彗星,所以这种解释其实也比较牵强。
上述资料源于知乎问答,确实是一个比较有趣值得进一步关注的天体。不过从上述各种人类其他天文观测的结果去对比KIC 8462852是一个很有被发现出现外形技术文明的目标。
首先我们来分享一下发现该情况的观测团队核心成员的个人看法:
1. 观测结果很靠谱。在餐桌上大家先对观测结果提出了质疑并纷纷提出可能导致观测出错的原因。她详细解释了为什么他们认为观测结果是可靠的。在长期的观测中,这颗恒星的亮度一直很稳定,除了每两年那持续二十天的扰动。扰动时恒星的亮度能降低20%。而且在同时观测到的所有恒星中只有这颗星的亮度发生了变化,说明这并不是地球上空的遮挡物导致的。所以唯一的可能性是某神秘星体在绕着该恒星以两年为周期旋转,而且大小要达到该恒星的20%以上。
2. 彗星的解释很坑爹。她自己也忍不住吐槽说怎么可能有这么大的彗星(但为了发paper不得不找个理由)。她倾向于认为这是一个人造装置,也就是戴森球。看来她应该是属于支持存在地外生命的一派了(降临派?)。
3. 最终结论还得等两年以后的观测。那时世界上最高分辨率的望远镜都会对准这颗星,希望我们能够解析出那个东西的形状,可能的话还有光谱(如果戴森球有大气层)。
其实从上面的对话中已经可以感受到该团队成员的某种乐观预测。那么我们接下来分析下是何种物体或者原因在影响光度的下降。
早在 1960 年代戴森就提出:一个高度进化的文明必然会想办法获取尽可能多的能源。行星系统中最大的能源就是恒星释放的能量。外星文明可能会建造巨大的类似“太阳能板”的装置来收集这些能量,它们的表面积可以大到几乎覆盖整颗恒星,称为“戴森球”。收集到的能量经过利用后变成热量排出,会产生大量的中红外辐射。所以,戴森球对恒星的遮挡,以及中红外的多余辐射都可以在远处被观测到,因此是一种可行的搜寻外星文明的方法。
2005 年,法国天文学家 Arnold 考虑到,当外星文明发展到一定程度后,可能会建造尺寸和行星大小相当的巨型建筑,戴森球就是其中一种。这些建筑物可能很薄,因此质量很小,但是具有巨大的表面积,形状包括三角形、百叶窗形等。其中百叶窗形有个突出的优点:只要改变扇叶的角度,就可以方便地调节接收面积,从而控制能量收集器的输出功率。这些形状怪异的建筑也会像行星一样“凌星”,但是光变曲线的形状和圆形的行星不同。Arnold 进一步提出:可以通过凌星曲线的形状异常来寻找这些巨型建筑。而开普勒望远镜已经达到了搜寻这类建筑所需要的精度。

从上到下是:圆形的行星、三角形、百叶窗形的“人造建筑”在恒星面前经过的样子。取自 Arnold, 2005, ApJ, 627, 534
上图:不同形状的建筑产生的凌星曲线与行星曲线的差异。左上:三角形。右上:旋转的三角形。左下和右下代表两扇叶片和六扇叶片的百叶窗形。取自 Arnold, 2005, ApJ, 627, 534
详细讨论了 6 种可能的外星建筑形式,以及它们可能产生的 10 种不同于行星的光变曲线反常,同时还对每一种反常都考虑了可能由哪种自然现象产生。换句话说,如果真的找到了某种反常,就需要在相应的建筑形式与自然现象之间进行甄别。这 10 种反常是:
翻译过来就是:
1. 凌星曲线的下降段和上升段形状异常
对应的人造物体:建筑物不是圆盘形或者导致恒星不是球形
对应的自然现象:系外卫星、环、行星自转、恒星盘面的重力昏暗和邻边昏暗效应、行星的蒸发、恒星盘面边缘的黑子
2. 凌星曲线的相位异常
对应的人造物体:非球形的建筑物
对应的自然现象:行星上的云、全球环流、行星的天气、恒星辐射的变化
3. 凌星曲线底部的形状异常
对应的人造物体:形状或运动方向随时间变化
对应的自然现象:恒星的重力昏暗和邻边昏暗效应、行星的扁率不为 0、黑子、系外卫星、盘
4. 凌星的深度发生变化
对应的人造物体:形状或运动方向随时间变化
对应的自然现象:行星的蒸发、轨道进动、系外卫星
5. 凌星的时间间隔或持续时间发生变化
对应的人造物体:非引力驱动下的加速、共轨天体
对应的自然现象:行星之间的相互散射、轨道进动、系外卫星
6. 由凌星曲线得到的恒星密度与其他手段得到的不符
对应的人造物体:非引力驱动下的加速、共轨天体
对应的自然现象:高轨道偏心率的行星、行星周围的环、来自其他恒星的混杂、黑子、行星之间的散射、非常大质量的行星
7. 凌星曲线具有非周期性
对应的人造物体:一大群人造物体
对应的自然现象:非常大的环、大的碎片群、团块、翘曲或进动的盘
8. 恒星光线消失不见
对应的人造物体:完全遮挡
对应的自然现象:团块、翘曲或进动的盘、环绕双星的盘
9. 凌星曲线的形状不依赖于观测波段
对应的人造物体:人造几何吸收体
对应的自然现象:云、行星大气的标高比较小、来自其他恒星的光线混杂、恒星盘面的邻边昏暗效应
10. 凌星天体的质量很小,与巨大的体积不相称
对应的人造物体:很薄的人造物体
对应的自然现象:巨大的碎片群、来自其他恒星的光线混杂。
举出了两颗已经观测到反常的行星系统:CoRoT-29 b 和 KIC 12557548b。前者的凌星曲线用现有的知识都解释不了,后者的光变曲线不仅不对称,而且每次变暗的幅度从 1.3% 到 0.2% 之间无规律变化。贴个图你们体会下:

上图:CoRoT-29b 的光变曲线。取自 Cabrera et al., 2015, A&A, 579, 36
下边表示 KIC 12557548b 在每次“凌星”时的变暗深度都不同。作为对比,上边画出了一个“正常”的凌星 Kepler-4b 作为对比。二者是在同一时间段内、由同一台望远镜观测到的。取自 http://arxiv.org/abs/1510.04606v1
上图:把 KIC 12557548 b 的很多次光变曲线折叠在一起的样子。可以清楚的看到前后不对称,上升段更加“平缓”一些。取自 http://arxiv.org/abs/1510.04606v1 对照前面的表格,热衷于寻找地外智慧生命(SETI)的人们有理由对这两颗行星抱以足够的期待。可惜的是,进一步的观测表明这两个天体都像是自然现象。对于 CoRoT-29b,已经探测到了它对主星的引力扰动,是一颗质量为木星 0.85 倍的巨行星,而非人造物体,因为人造物体不会有这么大的质量。而后者—— KIC 12557548 b 是一颗正在瓦解中的行星,它距离主星很近,公转一圈只需要 16 个小时,在潮汐作用下已经损失了自身质量的 70%,蒸发的物质在身后形成了一条长长的尾巴,与彗星类似。天文学家甚至测量到构成这条“尾巴”的颗粒直径大约在 0.1-1 微米之间。
Boyajian 公布了 KIC 8462852,因此 Wright 专门为它开辟了一个章节。对照上面的表格,不难发现 KIC 8462852 的光变曲线同时具备了第 1、2、3、4、5、7 条反常特征,包括多个不同大小的遮挡物、有一些形状重复出现但是没有周期性的遮挡事件;以及重叠和不对称性,暗示这些遮挡物的轨道不符合开普勒运动定律,即在引力之外还可能受到其他推动力的作用。特别值得注意的是,在横轴 X=1540 天处的凌星事件和 X=1206 天处的事件形状几乎一模一样,只是幅度上放大了 10 倍。对照表里的最后一列,我们可以发现没有哪种单一的自然现象能够解释所有这些光变异常。作者 Wright 评论到:考虑到种种因素,目前看来这颗星是搜寻地外智慧生命计划最有希望的目标。
Boyajian 在他们的论文中提到,他们还编写了个简单的程序,从开普勒数据库中寻找是否还有类似的星,结果找到了 1000 颗左右,但是经过肉眼筛查,发现绝大多数是由于食双星、恒星黑子、自转、或者仪器误差引起的。可以说 KIC 8462852 表现出的古怪变暗现象在整个开普勒望远镜的数据库中只发现了一例。如果 X=790 天和 X=1520 天的两次事件是同一个物体所为,那么可以推断它的轨道周期是 800 天左右,上一次发生在 2015 年 4 月。可惜当时开普勒望远镜已经转向别的方向,而其它望远镜也错过了这个重要的时间窗口。下一次将发生在 2017 年 5 月,预计届时会有相当数量的望远镜从各个波段对它进行更详细的分析。
10月21日更新:许多知友在评论里问 KIC 8462852 的距离。这颗星的距离不难测,恒星的颜色表明是一颗光谱型 F3V 的主序星。F3V 型星的绝对星等是 3.08。这颗星的视星等是 11.7,再结合星际消光就可以得到距离是 454 pc(大约 1480光年)。 P.S. 太阳周围 1480光年的距离内保守估计有 5000万颗恒星。
下一步可能的观测方向:
1. 继续对 KIC 8462852 进行高精度的观测。在没有确定轨道周期以前,类似 X=790和 1520 这样的大的遮掩随时可能出现。此外还要辨别当中夹杂的小型遮掩,寻找规律和固定的模式。
2. 多波段观测。比较不同波段的掩食曲线深度,相当于为凌星物体拍摄了光谱。彗星、行星、一大团气体和尘埃的光谱都是不一样的。比如“干净”的行星大气可能会探测到钠原子和瑞利散射,而人造建筑是固体,光谱比较“平”,在整个可见光内掩食深度都一致。不过上面已经提到了不太可能是行星或尘埃盘。因为行星的体积不会这么大,又没有观测到尘埃盘的“红外超”,所以可以基本排除了。
3. 用视向速度测量遮掩物的质量。行星的质量比较大,而彗星、尘埃团、人造物的质量比较小。另外从视向速度上或许可以知道究竟有几个遮掩物。
小结一下:
1. KIC 8462852 的光变无法用现有理论解释,起初一群天文学家以为是彗星造成的,没有引起记者的兴趣,后来另一群天文学家认真而严肃的讨论了地外文明建造的巨型建筑的可能性,并把它列为迄今为止搜寻外星文明项目最有希望的目标。于是才有了这则新闻。
2. 说 NASA 又找理由骗钱的可以歇一歇了,两篇文章的作者都不是 NASA 员工,只是利用了 NASA 公开的开普勒望远镜的数据阐述了自己的观点,不代表 NASA 的立场,更不代表某个国家的立场。反过来得益于开普勒望远镜的高精度,很多以前想都不敢想的话题现在变得不那么遥远。开普勒望远镜绝对可以跟哈勃望远镜比肩,在史书上留下一笔。
3. 很多媒体炒作发现了外星生命,或者“戴森球”,明显属于联想过度,因为还没有确切的证据,自然现象还也没有被排除。人们对一个天体的了解程度,很大程度上取决于投入了多少观测。现在 KIC 8462852 累积的观测资料还远远不足以甄别到底是自然现象还是外星建筑。任何人都可以做出自己的判断。但是相信已经有足够的理由动用更多先进的设备对这颗星 KIC 8462852 做进一步的观测。
4. 如果没有 Planet hunters 项目里志愿者的努力,恐怕这颗星至今还埋在开普勒望远镜产生的数据海洋中。Boyajian 论文中的第二作者 D.M.LaCourse 就是那位标记 KIC 8462852 的志愿者。专业天文学家的设备使用时间都是排的满满的,考虑到这颗星并不是太暗(12 等)、光变幅度达到五分之一,部分天文爱好者手里的设备完全有能力对这颗星进行后续观测。
其实在很多科幻迷质疑二类文明是否真的会制造戴森系统的时候,我也质疑过并且一直保持这样的质疑从未改变。从人类今后的能量获得途径而言,戴森系统是一个太阳能采集器,而人类所开发的可控核聚变反应堆依然也有替代的位置,因此凡事不能绝对。但KIC8462852所表现出的光学现象让我们又不得不去面对那样的猜测,戴森系统其实归根结底是一个人造物体,而且是个巨大到影响恒星等自然天体光学变化的非自然构造物,其实我个人的看法是一个巨大到行星级别的多个非自然巨型构造物影响了主恒星的光度变化,可能是技术文明的非自然聚集地同时具有能量获取能力的综合体。去衡量技术文明的标准中必须要遵循巨型构造物与能量激发并存的智慧表达。所以在2017年我们还会进行更加深入的观测与分析。
恒星KIC8462852距离地球1480光年,我们看到这种光学变化是源于1480年前其发出的光,假如真的使技术文明导致了天文现象。那么就是对黑森林理论的一种嘲讽,首先我们地球的文明程度远低于KIC8462852中假如存在的技术文明,其次以人类的技术尚且可以发现并且分析,那样规模的文明逆向来发现我们其实早已板上钉钉。只不过地球与KIC8462852之间还存在至少5000万类似太阳系的恒星系统才会显得太阳系是那么的微不足道。但是有两个是地球文明也好外星文明也罢都不能在运作过程中掩盖的信号。第一,行星所发出的光谱可以被技术文明探知该行星上所具有的大气元素成分,通过恒星光度的分析可以确定行星的轨道从而进一步确定了温度与元素形态进而推论出现生命的概率。第二,在建造巨型构造物影响主恒星光度的时候会暴露自身恒星系的光学特征类似人类对KIC8462852恒星系统的观测。因此所谓的隐藏信号而延长生存时间其实不过是自身自欺欺人的手段,地球如何很可能暴露,只是横梗在文明平均间隔之间的上千乃至上万光年的距离对其他文明而言是一个不得不去考虑的客观因素罢了。
KIC8462852恒星系统如果真的存在文明特征恰恰是对以进化论为基础的文明间隔理论最好的佐证,因为不管是进化论还是泛种论为基础的宇宙文明学说都要遵循行星适居带理论和生命介质的客观因素,从概率换算而言技术文明的间隔是1000光年以上的平均距离,而二类文明的间隔则在一类技术文明的基础上去删选,假如排除黑森林理论的话至少也存在上万光年的距离,因为类似人类的一类初级技术文明并没有完全抵御行星灾变和超新星爆炸,天体撞击等级的宇宙灾难因此还存在一定程度的减少。只有到二类文明可以自由构建非自然的种族栖息地才可以比较长时间的继续文明拓展。二类文明是否会完全被人工智能所取代也是近年来我比较感兴趣的内容,不在此分析了,今后有时间有资料再做评述。