富国20狂想曲:寻找更多奇特粒子需更强大机器
——欧洲大型强子对撞机将被淘汰
周坚/2012年9月11日

参考消息2012年9月11日科技前沿报道,欧洲大型强子对撞机将被淘汰,寻找更多奇特粒子需更强大机器。欧洲核子研究中心(CERN)在7月宣布发现了难以捕捉的希格斯波色子,这是让物质具有质量的基本粒子。然而,谁能想到,这台刚刚发现希格斯波色子的造价30亿英镑的粒子加速器(LHC)将被移走而被淘汰,并计划再耗资几十亿英镑建造更强大的粒子加速器,费用将由CERN的20个成员国分摊,于2025年后的某个时间建造。
哈哈,笔者不得不说,这真是一个富国20狂想曲呀,那些正在走向富裕的国家肯定不会忧郁而赶搭这个“我们有了一个狂野的新物理前沿要探索”的美妙末班车,这也进一步验证了笔者于7月6日发布的那篇“发现‘上帝粒子’:未确认就宣布,醉翁之意不在酒”的博文所预言的结果,真的是“醉翁之意不在酒”呀。
说实在的,
探索宇宙是我们人类发展的必然,但
宇宙中竟然存在让物质具有质量的基本粒子显然是荒唐可笑的,它完全脱离了物质存在的自然属性。
举一个最通俗易懂的例子来说吧,就拿我们人体来说吧,我们每个人都是由原子、分子等物质构成的生命体,只要是由物质构成的生命体就一定有质量,这是非常自然的,因为这些生命体本身就是物质构成的。
可是,世界上有些人就是爱刨根问底的问:为什么物质会有质量?就因为这么一个问,他们就要寻找物质世界构成、运转的基本结构、基本规律,寻找这世界何以会如此的终极真理。
说实在的,世界上一切事物都是由原子构成的,而物质世界的运动都受重力和电磁力的支配。但是,原子并不是构成世界的最基本粒子,原子内部也是有结构的,即原子是由原子核和电子构成,原子核又是由质子和中子构成,而质子和中子也不是基本粒子,它们是由各种夸克构成的,。
其实,从哲学上讲,物质是无限可分的。如果我们同样按照上世纪60年代物理学家们构造描述强力、弱力及电磁力这三种基本力以及所有基本粒子的构成机制的那种标准模型的思路进行重构,那么各种夸克粒子仍然能够进一步分割,于是乎各种夸克粒子是由各种夸克的夸克粒子构成的,这同样需要再建造比目前的欧洲大型强子对撞机(LHC)更大更大的对撞机来验证,如此循环,我们人类就这样一代一代地按照这种思路建造下去,说不定我们能够建造出环地球赤道一样大的宇宙级强子对撞机。
说实在的,如此思路的根源就在于我们人类的好奇心和求知欲,我们千方百计的想亲眼看到那个想当然的“奇点”大爆炸创生我们宇宙的全过程,诸不知我们已经步入宇宙认知的歧途,幻觉一切粒子如果没有一个粒子让它具有质量,它们就会比光速还要跑得快而穿过我们的宇宙,这就好比我们人类这个生命体一样,如果我们体内不存在那么一个称之为希格斯波色子的“海洋”的话,那么构成我们体内的那些粒子就会没有质量的以光速穿越我们自己本身,我们人类自身似乎什么都不是。
哈哈,真是荒唐可笑的希格斯波色子啊,上帝说你存在你就是不存在也得存在了,这一切是我“上帝”说了算,难道你们还要问“上帝”你为什么要这样说吗?!
哎,我一个土包子说这些干什么,这个希格斯波色子存在不存在与我一点关系都没有,我就当看热闹罢了,反正又不花我的钱。但是,但是!不行呀,我虽然是个土包子,但我基于1998年发现宇宙正在加速膨胀的超新星哈勃图,通过进一步深入研究于2008年6月29日发现了一个称之为周坚定律的自然规律(周坚.来自超新星哈勃图的观察证明一个周坚红移定律.中国科技财富,2011,143:274-275.
http://d.wanfangdata.com.cn/Periodical_zgkjcf201124238.aspx),我基于周坚定律的直接应用于2009年3月8日创立了解析宇宙学(著作权登记号是2009-A-020687),同时还将周坚定律与牛顿万有引力定律结合起来进行应用发现了周坚万有引力定律,这一切已经告诉我们,我们将观测到天体的红移认为全部是由多普勒效应所产生的多普勒红移的猜想是错误的,宇宙大爆炸的猜想完全脱离了宇宙的真实面,而希格斯波色子是否存在的猜想无论建造多么大型的强子对撞机已经失去探索的现实意义,因为物质是无限可分的。
注1:1995年3月2日,美国费米实验室向全世界宣布他们发现了顶夸克时,被标准模型预言的61个基本粒子中的60个都已经得到了实验数据的支持与验证!但是还剩一个幽灵没找到,那就是让所有物质获得质量的,在标准模型中占有基础性地位的,被一些人称为“上帝粒子”的那个——希格斯粒子。
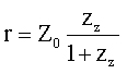
注2:周坚定律(Zhou Jian’s Law) 是由中国民间天文学家周坚,基于1998年发现宇宙正在加速膨胀的超新星哈勃图,通过进一步深入研究发现的一个自然规律,它描述的是光(电磁辐射)的传播距离与周坚红移成正比,与周坚红移加1的和成反比的自然规律,其数学表达式就是

,其中,r是以ly(光年)为单位的光(电磁辐射)传播距离,zz是周坚红移(Zhou Jian Redshift),其物理意义是光(电磁辐射)在传播过程中的传输波长随传播距离增大而有规律地向红端位移的相对变化量,Z0是周坚常数(Zhou Jian Constant),即Z0=13,771,980,862.5685光年,其物理意义是光(电磁辐射)传播的极限传播距离,说明任何光(电磁辐射)的传播都不可能无休止地传播到无限远。
注3:解析宇宙学(Analytical Cosmology)是基于周坚定律(Zhou Jian Law)的直接应用于2009年3月8日创立的新理论,著作权登记号是2009-A-020687。简单说来,解析宇宙学就是用代数来解决宇宙问题的方法论,它是用图形表达形式来解决宇宙问题的有效方法,这有点类似于我们在解析几何学中用坐标图来表达几何体特征,这就是我们为什么将这种解决宇宙问题的方法命名为解析宇宙学的道理,可以说这是用代数来解决几何图形问题的方法论在宇宙学研究领域中的应用,它的理论基础就是周坚定律,就是我们所发现的光(电磁辐射)在传播过程中的传输波长随传播距离的增大而有规律地向红端位移的称之为周坚效应的自然现象。若具体来说,解析宇宙学是以解析法(坐标法)为切入点来描述宇宙的相对观测特征,它借助于坐标系,用坐标表示点,而宇宙观测现象就视作这个坐标点,这是实现宇宙的解析的关键所在,从而实现了用方程来表示相对观测者对宇宙进行观测所能观测到的宇宙观测现象这个“点”所示的宇宙观测特征,通过研究方程来研究被观测宇宙对象的诸多性质。引进坐标,建立宇宙观测现象视作这个现象观测到的点与数组的一一对应关系,而后将点的变化曲线看作是宇宙观测现象动点的轨迹,应用变量所适合的方程来研究宇宙的方法就是它的核心,由此解决了宇宙观测现象中的两大基本问题,其一是在满足给定的宇宙观测基本条件,通过坐标系建立它的方程,通过解方程获悉宇宙观测现象的诸多观测性质,其二是通过方程的讨论,研究方程所表达的宇宙观测现象的诸多观测性质。宇宙整体的解析宇宙学特征就是这种方法论所反映出来的宇宙真实观测特征。
注4:周坚万有引力定律描述的是任意两个质点通过连心线方向上的相互吸引力,该引力的大小与它们的质量乘积成正比,与两个质点连线之间光(电磁辐射)相互传播的宇宙学红移平方成反比,与两个质点连线之间光(电磁辐射)相互传播的宇宙学红移加1的和平方成正比,与两物体的化学本质或物理状态以及中介物质无关,其数学表达式是

式中,F是单位为N(牛顿)的两个物体之间的引力,G是万有引力常数,即G=6.67259×10-11N?m2/kg2,M1是物体1的质量,M2是物体2的质量,质量的单位是kg, 是两个物体质心之间光(电磁辐射)相互传播的周坚红移,Z0是周坚常数,即Z0=13,771,980,862.5685光年,为统一单位,将它换算成每米的单位就是Z0=13,771,980,862.5685×9.4605536×1015=1.302905631285×1026m(米)。周坚万有引力定律是将周坚定律直接应用到万有引力之中的意外发现,它在非宇宙学尺度上与牛顿万有引力定律高度一致,在宇宙学尺度上吻合宇宙运行观测状态,是宇宙力学或称之为宇宙动力学的理论基石。